优先出版
针对山区公路落石检测中样本稀缺、目标尺度多变及背景复杂导致模型泛化能力弱、漏检率高等问题,提出一种融合迁移学习与多策略改进的YOLOv8落石目标检测模型。首先,构建涵盖不同岩性、多尺度目标和复杂背景的落石图像数据集,为模型训练提供多样性支撑;其次,针对小样本困境,引入基于ImageNet预训练的迁移学习方法,避免从头训练导致的过拟合,在此基础上,构建渐进式微调框架:在浅层网络嵌入坐标注意力机制以抑制复杂背景干扰,采用双向特征金字塔网络替代原结构,提高多尺度特征融合效率,提升对小尺寸落石的敏感度,最终引入EIoU损失函数优化边界框回归,解决不规则落石定位不准问题。实验结果表明,本文模型相较于基准YOLOv8,精确率、召回率和mAP50分别提升17.1%、24.7%和17.4%,在保持较低计算成本的同时,显著改善了复杂背景下小目标的漏检与误报问题;同时,本文模型能够有效提升小样本条件下落石目标的检测精度与鲁棒性,为山区公路落石智能监测预警系统的开发提供了可行的技术方案。
鄂尔多斯盆地靖边地区长7油层组内部普遍存在异常高压现象,但其压力来源及分布规律尚不明确,且缺乏实测地层压力数据,严重制约了该区油气勘探的深入。针对上述问题,本研究以测井与钻井资料为基础,采用平衡深度法系统计算了该区地层异常压力,并通过泥浆密度法验证了计算结果的可靠性,然后通过综合测井曲线法、bowers法和声波速度-密度交会图法,确定异常压力成因。结果表明,靖边地区长7油层组普遍发育弱超压,剩余压力平均为5.85 MPa,压力系数介于1.01至1.43之间;平面上剩余压力呈西高东低趋势,纵向上在长7底部达到峰值。成因机制分析揭示,异常压力以不均衡压实作用为主导,其对全区超压的贡献高达79%,而生烃膨胀作用仅占10%,另有11%为二者复合作用。这一以不均衡压实为主导的压力成因,显著区别于盆地中心以生烃增压为主导的成因,意味着靖边地区具有完全不同的油气运移过程和成藏机制。该认识对于重新认识盆地北部斜坡带的成藏规律、建立适用于靖边地区的勘探地质模型具有重要理论价值,并为该区下一步的油气勘探部署提供了直接的科学依据。
传统的地面核磁共振(SNMR)方法在正演计算时往往不考虑地形条件,这会影响二维成像的精确性。本研究基于谐变电偶极子(HED)积分方法对地形起伏情况下的SNMR响应信号特征进行分析,发现地形是影响反演结果的关键因素。通过数值模拟建立单斜模型、堤坝模型2类地质模型,对2类地形条件下的SNMR二维信号特征及反演结果进行对比分析。结果表明,考虑地形起伏的SNMR二维反演结果,在含水体位置、形态和含水量方面与预设模型一致性更好,利用HED积分方法能够克服地形因素影响,有效提升地形起伏条件下含水体边界的识别能力和含水层整体的连续性。结合高密度电阻率法(ERT)在贵阳红枫湖进行场地验证,发现考虑地形起伏的HED积分SNMR二维反演可直观表征地下含水分布,并准确划定含水层位置和形态,更能反映含水层横向分布复杂性,提高了反演的精确性。试验结果验证了基于HED积分的方法能够更好地适应复杂的地形环境,为高精度地下水探测提供一定的技术支撑与方法参考。
本研究旨在定量分析潮汐作用下的海浪冲击强度及其与潮汐特征和地形之间的关系,为海岸侵蚀机制研究和沿海防护工程设计提供科学依据。利用分布式声波传感(DAS)技术对浙江省舟山市摘箬山岛北部海岸的海浪冲击过程进行了为期21 d的有效监测,结合潮汐数据和功率谱密度(PSD)分析了潮汐作用下的海浪冲击动态规律。结果表明,潮位高度、潮汐强度和地形特征共同影响海浪冲击的强度与分布。在观测期内,海浪冲击强度与潮汐强度变化呈现出一致性:大潮期间海浪的冲击作用最为显著,尤其在满潮点的潮位高度超过特定阈值时,冲击作用明显增强;中潮期间海浪的冲击过程表现出多阶段、多峰值特征;而小潮期间冲击作用相对较弱,主要集中在退潮阶段。此外,地形特征显著调控了冲击分布:东侧海岸因潮汐作用时间较长,冲击持续时间更久,而凹陷区域因潮流引发的波浪相互抵消,冲击较弱。本研究验证了DAS技术在监测潮汐作用下海浪冲击规律中的有效性,揭示了潮汐特征与地形因素对海浪冲击的协同调控机制,为深入理解海浪冲击动力学过程和沿海防护策略优化提供了重要的数据支持。
为佐证 “大塘坡式” 锰矿 “含锰气液底辟喷溢−沉积与准同生多次充注复合成矿” 新成矿模式,以贵州省高地−道坨超大型菱锰矿床为研究对象,开展喷溢−沉积旋回精细建模与三维可视化分析,揭示矿床成矿规律,为该类矿床深部及外围成矿预测提供支撑。对研究区含矿段钻孔岩(矿)心进行沉积旋回划分与对比,编制系列喷溢−沉积旋回剖面图;采用沉积学知识驱动的系列剖面拓扑推理与层面建模结合的方法,构建沉积旋回三维结构模型,同时基于角点网格的多点地质统计学随机属性建模方法,结合 TIN-CPG 混合数据模型构建锰含量三维属性模型,形成结构−属性一体化三维地质模型。本研究成功构建了研究区 5 期喷溢−沉积旋回的一体化三维模型,通过三维可视化分析,直观揭示矿床喷溢−沉积期次、强度变化规律,其中第一旋回喷溢作用较弱,第三、四旋回作用最强,富锰矿体(
探索我国板内火山型高温地热资源特征,聚焦大同阳高−天镇盆地,精细刻画火山型高温地热资源地质特征,明确有利勘探目标,为我国板内火山型高温地热资源勘探提供参考。基于阳高−天镇地区钻井及物探资料,开展热传递类型识别、电阻率三维结构分析、深大断裂增强刻画及高温热源分布解析。阳高−天镇盆地自上而下由第四系、新近系 + 古近系、太古界3套地层层序组成,以第四系地层为区域盖层,整体以热传导形式进行热传递,局部断裂及地层界面发育热对流现象;近EW向断裂是盆地最主要的控热和导水断裂。热源埋藏深度与类型控制着火山型高温地热资源的形成与分布,埋藏深度
【目的】针对城市地下空间开发中多源异构钻孔数据描述混乱、编码不一,严重制约三维地质建模精度,且传统人工标准化效率低、现有模型难以处理数据缺失与长程依赖等瓶颈问题,旨在建立一种高效的数据驱动型地层自动标准化方法。【方法】以厦门地区2980个工程钻孔为研究对象,提出基于SparseTransformer的深度学习标准化模型。首先,依据相关规范与皮尔逊相关性分析,筛选出含水量、压缩模量等12项关键判别特征;其次,设计稀疏化掩码机制在注意力计算中动态屏蔽缺失值,并引入类别感知重采样与结构化特征掩蔽的组合增强策略及Focal Loss函数,解决样本不平衡难题;最后采用贝叶斯优化等策略实现超参数寻优。【结果】 实验结果表明,该模型在测试集上的精确率、召回率与 F1 分数分别达到 0.85、0.84 和 0.85,综合性能全面优于支持向量机(SVM)、卷积神经网络(CNN)及 长短期记忆网络(LSTM)等5种主流对比模型。特别是在引入组合数据增强策略后,模型成功解决了砾砂、粉砂等稀有类别的识别难题,实现了全类别地层的均衡分类,且在粘性土、淤泥等主导类别上保持了高水平识别精度。【结论】该方法不仅突破了传统模型在长序列地质数据建模中的“遗忘”缺陷,更通过数据增强技术解决了工程数据长尾分布的难题。研究成果验证了深度学习在地质数据标准化中的有效性,为构建城市级高精度三维地质模型提供了智能化的数据处理范式。
为揭示库岸边坡蓄水变形宏细观失稳机制,以白鹤滩水电站库区沈家沟变形体为研究对象,分析了该变形体的工程地质及变形特征。在此基础上,采用流体动力学与离散元(CFD-DEM)耦合的数值模拟方法,建立了能够反映蓄水过程水-力耦合作用的数值模型。通过将模拟获得的边坡累积位移与现场监测数据进行对比,验证了该耦合模型模拟库岸边坡变形响应的可靠性。系统分析了从初始蓄水至水位上升、再到水位小幅下降全过程中边坡内部渗流场、颗粒位移及微裂纹演化规律。结果表明:蓄水初期水位的快速上升,导致坡体内孔隙水压力显著增高与基质吸力急剧消散,是诱发边坡变形并控制变形发展的关键因素;水位后续的小幅下降并未导致变形明显加剧,对边坡稳定性的影响相对有限。研究揭示了水位上升主导渗流场变化、细观颗粒结构渐进调整至宏观破坏面贯通的失稳机理,为库岸边坡在蓄水阶段的稳定性评价与预警提供了理论依据。
【目的】为了探究深度学习框架在岩性识别中的适用性,针对传统岩性鉴定方法效率低、主观性强等问题,构建基于ResNet卷积神经网络迁移学习的岩石岩性自动识别与分类方法,对采集的花岗岩、大理岩、石英岩、石灰岩、煤岩和砂岩6种岩石图像进行试验研究。【方法】通过数据增强构建包含7416张图像的岩石数据集,并划分训练集、验证集与测试集。在模型构建方面,引入ImageNet预训练权重,设计不同迁移学习策略,对ResNet-18、ResNet-34和ResNet-50三种模型进行对比分析,同时结合批量归一化、学习率衰减及Adam优化算法对网络参数进行优化。【结果】研究结果表明,在小样本条件下,经全参数微调的ResNet-18模型表现最优,其准确率96.10%、精确度96.01%、召回率96.12%,三项指标均优于对比模型。【结论】相较于其它两类模型,该模型具有更高的识别精度、更快的识别速度以且对复杂岩性特征的辨识鲁棒性更高,大大提高了网络的训练效率,成功实现了岩石岩性的自动分类与识别,为地质勘探与工程应用提供了有效的技术支撑。
准噶尔盆地中央坳陷西部下二叠统风城组天然气勘探潜力已逐步明确,且已实现超深层天然气勘探突破,但目前针对研究区风城组超深层页岩气吸附特征及其控制因素的研究较少。以盆1井西凹陷风城组超深层页岩为研究对象,通过开展基础地质化学分析、场发射扫描电镜、全孔径孔隙结构联合表征、自发渗吸以及甲烷等温吸附等实验,系统分析研究区风城组页岩孔隙结构、页岩气吸附特征及其控制因素。结果表明:研究区风城组页岩主要发育混合质、黏土质和长英质三类岩相,各类岩相页岩样品的孔隙结构均以无机孔隙为主,其中次生黏土矿物孔是无机孔隙的主要类型,其面孔率占比超过70%。场发射扫描电镜观察显示,研究区风城组页岩的宏孔较为发育,其中以黏土矿物宏孔最为显著,而全孔径孔隙结构分析则表明,孔隙类型以中孔为主。二者对比分析揭示,黏土矿物孔多为不连通孔隙,而有机质孔隙尽管占总面孔率比例偏低,但具有较好的孔隙连通性。甲烷等温吸附实验结果显示,混合质和黏土质页岩的吸附能力整体高于长英质页岩。进一步分析孔隙结构参数对吸附能力的影响发现,孔隙体积、比表面积及分形维数对页岩吸附能力的影响较弱,而孔隙连通性是控制页岩气吸附能力的关键孔隙结构参数。页岩组分对吸附特征的控制作用分析表明,有机质丰度是影响研究区风城组页岩吸附能力的主要因素,无机矿物对其影响较弱。研究成果可为准噶尔盆地盆1井西凹陷风城组超深层页岩气勘探开发提供理论依据与科学支撑。
江苏省丰沛平原地面沉降问题相对突出,而针对区域地面沉降驱动机制的研究尚且匮乏。本文综合松散层厚度、地下水开采强度、各含水层组水位与变幅、采矿作用以及城市建设等多源数据,运用多尺度地理加权回归模型(multi-scale geographically weighted regression, MGWR)定量分析了2017—2024年地面沉降的时空特征及其驱动机制。研究表明:丰沛平原沉降主要集中于丰县、沛县城区周边及沛县北部,累计沉降量大于50mm的区域310km²,最大沉降量超过400mm,空间自相关性显著,沉降中心区呈现“高—高聚集”模式。MGWR模型结果显示,地下水开采与采矿作用(x2-x9)是导致地面沉降的最主要因素,新近系下更新统水位、中上更新统与新近系下更新统水位变幅(x5-x7-x8)影响程度次之,而松散层厚度、全新统和中上更新统水位、全新统水位变幅、建筑密度(x1-x3-x4-x6-x10)对沉降的作用不显著。在整个沉降区内,上述5个因素(x2-x5-x7-x8-x9)对沉降的解释能力合计为77.0%。地理探测器(Geographical Detector, GD)模型分析结果进一步证实了地下水与煤炭资源开采及中深层水位变化对研究区地面沉降的协同驱动作用。与经典GWR和OLS模型相比,MGWR在拟合优度、模型简洁性与误差控制方面均表现更优,能更准确地刻画不同影响因素的空间异质性与多尺度作用特征。基于对主要影响因素空间异质性与作用强度以及因素间交互作用的分析,提出建立“监测预警—源头控制—综合治理”一体化防治体系,为提升区域地质灾害防治水平和保障城市地质环境安全提供科学依据与实践指导。
热液系统是海洋中典型极端环境,其连接了地球深部与表层的物质与能量交换,并在全球海洋环境中具有广泛的分布,是海洋重要的组成部分。由于深部物质的供应,热液系统向海洋中提供丰富的营养物质,支撑了大量的生物生长,使热液系统成为了海底生命绿洲,同时也成为了有机碳的生产与埋藏的热点区域。热液系统同时是海洋中汞重要的源,在全球海洋汞输入通量中具有较大的占比。汞与有机碳之间具有较强的结合能力,结合的汞随有机碳沉降至热液系统沉积物中,记录了热液与火山环境的变化,同时也给有机碳在火山与热液活动中的变化提供了解释。由于热液系统在海洋有机碳生产的重要作用,对热液沉积物的研究有助于解开热液复杂的有机碳循环,了解热液系统在海洋有机碳循环中的重要性。同时,对汞与有机碳在火山与热液活动中的耦合研究,是解开历史时期火山活动驱动的有机碳埋藏变化的重要手段。初步梳理了热液系统有机碳的生产、埋藏与转化过程,以及碳同位素(δ13C与Δ14C)在热液有机碳循环研究中的运用,并分析总结了热液系统中有机碳与汞的耦合研究。分析认为,在重大火山与热液活动事件期间,其影响范围内沉积物汞含量出现明显偏移,火山与热液活动被汞这一指标良好记录。同时,在热液与火山活动期间,沉积物中有机碳的含量与信号特征发生较大变化,表明了火山与热液活动在长时间尺度下对有机碳生产产生显著影响,表现为更多深部源有机碳的生产。基于沉积物中汞对热液与火山活动良好的记录,热液与火山活动对有机碳循环的影响得到更加精确的研究。通过总结热液系统有机碳循环以及地质时间尺度上汞与有机碳耦合相关研究,进一步对海底热液事件与活动中汞与有机碳耦合研究进行展望,以期进一步完善热液这一复杂区域的有机碳循环过程,为全球有机碳循环进一步研究提供理论基础。
已有的生成对抗网络条件化建模研究主要集中于理论方法的发展和应用探索,缺乏对不同井网密度下各类条件化方法模拟效果的系统性定量评估,难以给实际沉积相建模的方法选择提供精准参考。针对生成对抗网络地质建模的条件化方法开展研究,系统评估不同井网密度下3种条件化方法的模拟效果,具体为:①在训练中显式引入井点条件损失优化生成器的条件损失函数法;②基于梯度下降的输入向量搜索方法;③基于前置神经网络的输入向量搜索方法。以井点匹配率、砂体连通性为评价指标,在 2%~10% 井密度下开展对比实验,同时探究了条件损失权重与井网密度的交互作用对建模效果的影响。实验表明,条件损失函数策略在操作便捷性与建模效率上整体更优,且可通过调整损失权重灵活平衡约束精度与模式多样性,适配兼顾全局结构与局部精度的场景;梯度下降法在匹配率上有优势,但计算成本高;前置神经网络映射法生成速度快,适合快速推断场景,且该方法存在100~
2024年4月20日,广东省韶关市发生了特大暴雨事件,韶关市江湾镇地区24 h降雨量达到历史极值206 mm,诱发大规模滑坡,导致多地居民房屋遭到损毁、道路中断,引起了社会的广泛关注。及时获取降雨诱发滑坡编目、发育分布规律及主要调控因子对灾后的应急救援决策和恢复重建至关重要。本研究基于Planet高分辨率遥感影像,采用归一化植被指数(normalized difference vegetation index,简称NDVI)差分法自动提取滑坡区域,并绘制滑坡清单。同时,结合地形、降雨和地质环境因素,分析了滑坡分布规律及其成因。此次极端降雨共诱发滑坡
矿体三维建模是数字矿山和智慧矿山建设的核心基础。针对矿体隐式建模中剖面轮廓线间隔稀疏导致地质约束难以有效提取的关键问题,提出一种基于Hermite径向基函数(HRBF)隐式建模框架的三维重建方法,通过融合轮廓线层间插值与法向优化技术构建矿体模型。首先基于三次样条闭合曲线拟合方法对原始轮廓数据进行均匀化处理,通过矩形包围盒分区建立轮廓映射起始点,依据局部轮廓长度与总长度比例动态调整控制点映射关系,有效解决复杂轮廓线控制点之间的合理对应问题。针对矿体轮廓法向梯度约束难以提取的问题,设计了一种基准法向驱动的局部选点策略与法向二义性消除机制,从而提高边界法向梯度的准确性和拓扑一致性。最后基于移动立方体方法实现隐式曲面可视化,通过实例矿体轮廓数据构建了复杂三维矿体模型,验证了本方法的有效性。研究成果可为复杂矿体精准三维重建、资源储量估算及智慧矿山建设提供可靠技术支撑。
玉山−中坪地区是黔中近年新发现的大型隐伏磷矿集区,针对贵州省优质磷矿找矿靶区紧缺的窘境,为全省新一轮找矿突破战略行动提供靶区支撑,结合该区近年磷矿勘查成果展开研究。分析区内含矿岩系洋水组 b 矿层厚度、品位变化规律及矿体埋深、成矿潜力,并与开阳−息烽、瓮安−福泉两大典型磷矿集区开展对比研究,综合评价该区找矿前景。研究表明:该地区在地理位置、成矿及岩相古地理环境上处于 “开阳式” 与 “瓮福式” 磷矿的过渡地带,兼具二者核心特征;洋水组 b 矿层厚度、品位整体自北向南逐步增大;该地区至南部瓮安−福泉矿集区,矿体埋藏标高并非持续加深,反而有可能增大或无大变化,并预测了该地区可能的由于原生古地理沉积和后期构造作用形成的 4 种磷矿体埋藏模式;同时发现该地区富磷矿体主要赋存于 b 矿层中间位置,且多发育在深色致密块状磷块岩中。该区南部的 “过渡带空白区”具有较大的超大型磷矿富集区找矿潜力,可作为贵州省未来稀缺的优质磷矿找矿靶区进行战略储备,研究成果对贵州省 “富矿精开” 战略实施具有重要现实指导价值。
成煤环境是影响煤层气富集的重要因素之一,以往对成煤环境影响煤层含气性的研究仅局限在单一矿区或单个煤层气区块内,以华北克拉通为研究区,整体探讨成煤环境对煤层含气性影响的研究相对缺乏。在系统收集华北地区山西组煤层的煤相和含气量数据的基础上,结合实测数据,系统总结了华北地区山西组煤层的成煤环境和含气性特点,详细探讨了华北地台晚古生代山西组成煤环境对煤层含气性的影响。结果表明,华北地区山西组成煤演化顺序可以分为5个沉积组合:冲积扇−辫状河沉积→曲流河−湖泊沉积→三角洲沉积→碎屑岸线沉积→滨浅海碳酸盐及碎屑沉积;不同沉积组合下山西组的含气性呈现出不同的特点,三角洲沉积组合、碎屑岸线沉积组合背景下形成的煤层含气量较高。成煤环境主要通过控制煤层厚度、煤质特征、煤层顶底板岩性及厚度来影响煤层的含气性。煤相参数反映了成煤环境的水动力条件、水体含氧条件等环境地质因素差异,在垂向上体现了煤层煤质变化的特点,进而造成了煤层含气性差异,高凝胶化指数(
土质边坡在降雨−蒸发循环作用下易形成裂隙,导致降雨入渗土壤,诱发边坡失稳。基于生态优先,本研究提出了具有生态功能的细 / 粗粒非饱和毛细阻隔层(CBL)抑制降雨入渗的边坡防护方法,旨在从源头上阻隔降雨入渗,为边坡生态修复与稳定性防治提供技术参考。采用物理模型试验,开展2种降雨强度(1.93×10−4,4.73×10−4 cm/s)和4种 CBL 岩性结构组成(亚砂土 / 粗砂、亚砂土 / 砾砂、亚砂土 / 角砾、亚砂土 / 圆砾)条件下,CBL 对降雨入渗规律及其对边坡防护效果的影响研究,分析粗粒层粒径、颗粒形态及降雨强度对 CBL 水分运移和排水效率的作用规律。研究结果表明:①降雨在细粒层以均匀流为主,运移速度随粗粒层粒径增大而增加并受粗粒层颗粒形态的影响明显;降雨入渗至细 / 粗粒层界面时,水分沿界面向坡脚迁移;降雨突破细 / 粗粒层界面后,在粗砂和砾砂中仍以均匀流运动为主,而在角砾和圆砾中则以优先流方式运动,且优先流程度随粗粒层粒径增大而增强。②CBL 稳定排水效率(稳定排水强度与降雨强度之比)随降雨强度增加而减小,且在高降雨强度时,其随粗粒层粒径增加而小幅增加;CBL 综合排水效率(侧向排水总量与降雨总量之比)随粗粒层粒径和降雨强度增加而增加,且降雨强度越大其增加幅度越显著下降。③粗粒层颗粒形态对 CBL 阻隔降雨效果影响明显,亚砂土 / 角砾 CBL 在试验设定的降雨强度范围内可完全阻隔降雨入渗至边坡黏土层,其阻隔降雨入渗的效果最佳。研究成果揭示了二元结构 CBL 抑制降雨入渗的内在规律,可为土质边坡稳定性防治提供重要参考。
重庆市万州区地处我国三峡库区核心地带,区域内地质灾害广泛发育,对城镇发展产生了较大影响,开展单体滑坡风险研究具有重要的意义。以万州区瀼渡场北滑坡为研究对象,开展了单体滑坡灾害风险评价研究。基于野外实地调查,通过 GEO-Studio和DAN3D分别开展滑坡失稳概率分析及运动过程分析,得到滑坡危险性评价结果;结合承灾体抗灾能力分析,开展易损性定量评价;叠加滑坡灾害危险性、承灾体易损性及承灾体价值开展了瀼渡场北滑坡风险评价。结果显示:在天然自重及荷载情况下,瀼渡场北滑坡为稳定状态,在降雨工况下稳定状态均为欠稳定,在100 a一遇10 d降雨条件下稳定性为1.011,破坏概率为23.53%。瀼渡场北滑坡百年一遇的降雨强度下失稳破坏造成的总人口伤亡风险为2人,总经济损失风险为114.1万元。研究成果精准量化了极端降雨条件下瀼渡场北滑坡的失稳概率、承灾体易损性及综合风险值,明确了滑坡失稳后的人口伤亡与经济损失分布特征,不仅为瀼渡镇地质灾害防灾减灾管理提供了具体的数据基础和技术指导,也为三峡库区同类单体滑坡的风险评价工作提供了参考范式,对库区滑坡灾害防灾减灾工作具有重要的实践意义。
软土区地下开挖过程中常形成天然软土边坡,在超载下极易发生结构失稳等灾害。为探究天然软土边坡的破坏,开展未扰动原状软土边坡模型试验,基于电阻率方法分析超载下边坡的破坏模式和微观机制。结果表明:整个边坡电阻率分布在1.5~4 Ω·m之间,电阻率与含水率呈现负对数关系,在60 kPa超载下坡体含水率等值线出现沿坡顶斜向坡面分布特征。软土内部土颗粒-土颗粒的电流流通路径和流通距离变化程度不同,引起土体自上而下电阻率变化程度逐渐下降,反映软土微观结构变化具有差异性。微观结构的变化是引起边坡破坏的主要原因,根据电阻率累计变化量的特征,微观结构变化沿坡体高度
中国东部断陷盆地是重要的原油生产基地。经过多年高强度勘探开发,常规油气资源规模效益增储难度日益增加,深层、非常规、复杂岩性地质体等逐步成为勘探的重点。基于渤海湾盆地黄骅坳陷埕海断阶区的地质、钻井、地球物理等资料,对断陷湖盆灰质砾岩体的沉积储层特征及油气成藏主控因素进行了系统分析,总结其地质规律。结果表明:受埕宁隆起奥陶系物源区控制,埕海断阶区古近系沉积早期发育扇三角洲相灰质砾岩体,发育灰砾岩相、砂岩相、泥岩相3种岩相类型,存在灰砾岩、含砂质灰砾岩、含灰砾砂岩、砂岩4种储层类型,储层主要发育粒间溶蚀孔和裂缝2类储集空间。古沟槽控制扇三角洲灰质砾岩体分布,沟槽区灰质砾岩体储层厚度大;夹持于沙一下、沙二段、沙三段3套良好烃源岩之间,阶状断裂、不整合面及储集层联合疏导,灰质砾岩体整体含油;优势沉积微相和岩相控制优势储层分布,扇三角洲前缘水下分流河道细砂岩相储层富集高产。研究成果可为灰质砾岩体的勘探工作提供参考。
【目的】声波测井曲线,尤其是纵波时差(DTC)与横波时差(DTS),是岩石物理分析、地震合成记录制作及储层精细表征的重要基础资料,但在实际钻井过程中,受井眼条件及复杂测量环境噪声等因素影响,声波测井曲线易发生畸变或缺失,从而制约其工程应用效果。传统经验公式与统计回归方法难以刻画测井曲线之间复杂的非线性关系,近年来引入的机器学习与深度学习方法虽在一定程度上提升了重构精度,但在复杂井况条件下,对测井信号非平稳特征、局部变化特征及长程地质相关性的综合表征仍存在一定局限。【方法】针对上述问题,本文提出一种基于变分模态分解(VMD)与时域卷积网络(TCN)-Transformer融合架构的声波测井曲线重构方法。该方法通过VMD对原始测井信号进行多尺度分解,实现地层有效响应与井径异常引起的低频畸变及环境噪声的分离,在改善信噪比的基础上,引入TCN刻画测井曲线的局部变化特征,并结合Transformer多头自注意力机制提取测井序列的长程依赖信息,从而实现对复杂沉积旋回特征的整体建模。基于山西某区块实测测井资料,开展模型对比分析、消融实验、井径异常条件下的曲线重构实验及盲井预测验证。【结果】结果表明,所提出方法在声波测井曲线重构精度与稳定性方面表现优异,测试井段中DTC与DTS预测的决定系数(R²)分别达到0.9142和0.9165;VMD信号分解与TCN-Transformer混合架构对模型性能提升均有显著贡献;在井径异常发育井段,模型能够有效抑制环境噪声干扰,重构的曲线形态连续合理;盲井预测结果生成的合成地震记录与实测地震剖面在波组特征与相位特征上具有较好一致性。【结论】该方法在复杂井况条件下具有较好的适应性与实用性,可为低质量测井资料校正、补全及后续地震反演与储层精细表征提供可靠基础数据支持。
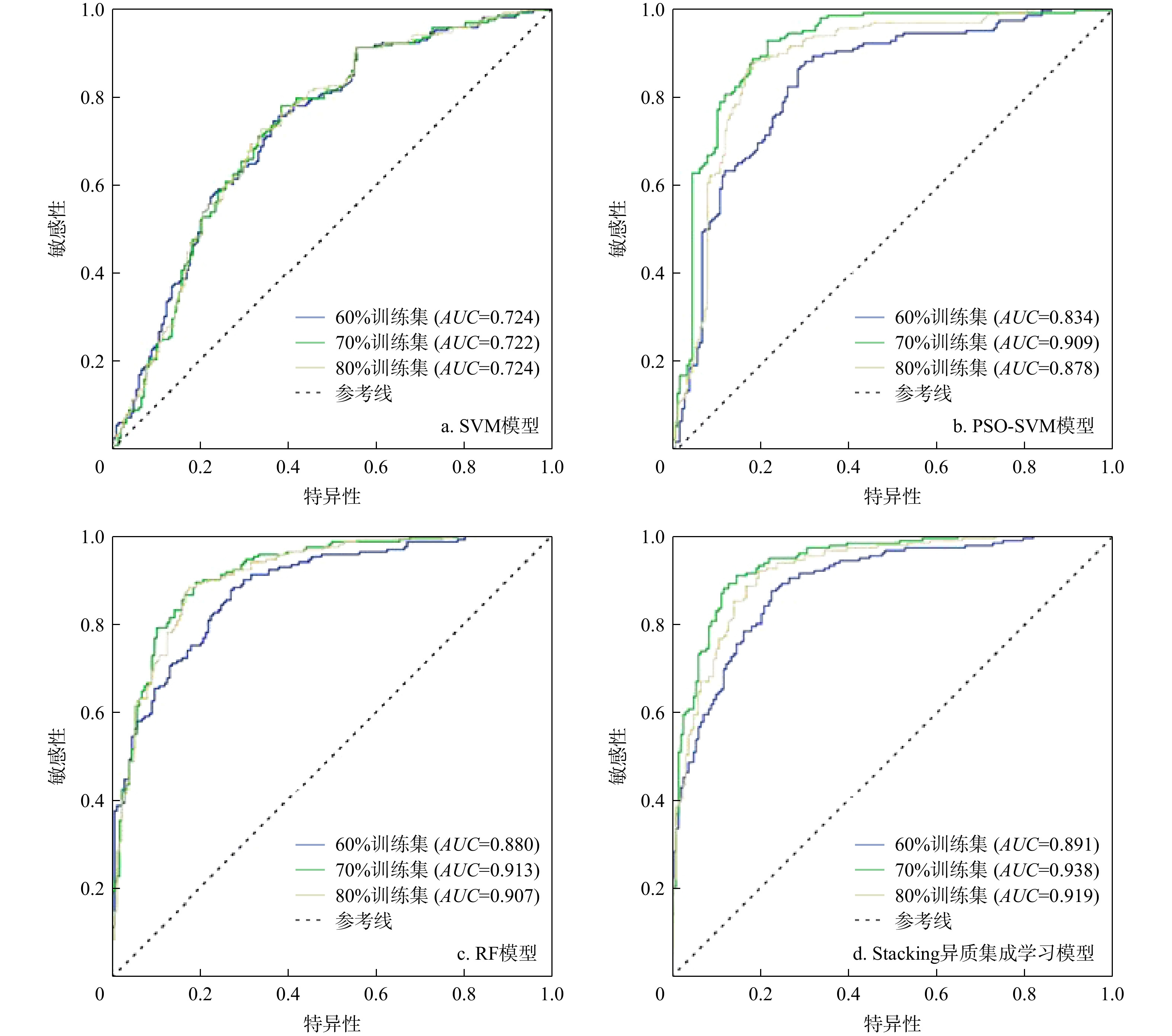
针对滑坡介质——花岗岩残积土抗剪强度试验成本高昂及单一机器学习模型预测精度有限的问题,提出一种基于Stacking集成策略的抗剪强度预测方法。该方法融合随机森林(RF)、支持向量机(SVM)和BP神经网络(BPNN)三种异构基学习器,采用五折交叉验证构建二层Stacking框架,元学习器选用逻辑回归。基于土工试验数据,选取细粒含量、孔隙比、含水率、液限、塑限和比重作为输入参数,粘聚力与内摩擦角作为输出参数,系统评估了模型性能,并通过SHAP方法揭示了模型的决策机制。研究表明:Stacking集成学习模型在验证集上粘聚力和内摩擦角的R²分别达到0.88和0.90,RMSE分别为3.60 kPa和2.46°,较最优单一模型(BPNN、SVM)的R²分别提升1%和4%;测试集预测偏差范围:粘聚力为0~1.91 kPa,内摩擦角为0°~0.67°,均优于对比模型。SHAP分析表明粘聚力的关键影响因素依次为含水率、液限、细粒含量;内摩擦角的关键影响因素依次为细粒含量、孔隙比、含水率,与土力学理论高度一致。利用Stacking集成学习策略可有效融合多模型优势,显著提升花岗岩残积土抗剪强度的预测精度与泛化能力,为花岗岩残积土分布区的滑坡灾害防治提供快速、低成本的技术手段。
天津市近年来通过跨流域调水、严格管控地下水开采等措施,极大地压缩了深层地下水的开采,平原区地下水位呈现整体回升态势,地面沉降速率减缓。在地下水位修复背景下,探讨人为调控开采或人工回灌对天津市平原区地下水位变化及地面沉降响应的影响,一方面有助于控制地下水位下降速率,优化水资源利用,另一方面也有助于未来城市地面沉降的管控,降低地面沉降风险。借助GMS软件中的MODFLOW-SUB模块,搭建研究区域的地下水流−地面沉降耦合模型,在验证合理后设定不同的开采和人工回灌方案,模拟预测2023—2025年深层地下水位的变化以及地面沉降变化。结果表明,扩大现状开采量的2~4倍,会加剧静海区、滨海新区东北部地下水漏斗区水位降落,降幅约为0.02~0.17 m,从而加速地面沉降。当开采量压缩50%时,地下水位相对回升0~0.02 m,对地面沉降缓解不显著。回灌方案对水位回升的影响范围最大可达250.04 km2,抬升地下水位0.14~0.50 m,引起水位漏斗区地面回弹0.25~0.75 mm,回灌方案对地面沉降的缓解效果较好。目前,在研究区的深层漏斗区附近不应增加开采量,可通过适当减少开采量,并逐步结合人工回灌的方式,促进地下水位回升,从而达到恢复地下水资源和缓解平原区深层含水组地层压缩的目的。研究成果可为天津市地面沉降控制提供一定科学依据。
稀散金属是战略性关键矿产,对高、精、尖科技的发展具有重要的意义。它们的伴生富集具有载体矿物专属性,中低温热液型铅锌矿床中往往富集Cd、Ga、In和Ge。湖南桃林铅锌矿床属于大型中低温热液型矿床,然而目前对桃林铅锌矿床伴生Cd、Ga、In和Ge稀散金属的成分特征和富集机制还缺乏系统的研究。本文在详细的岩相学研究基础上,利用LA-ICP-MS(激光等离体质谱)对桃林铅锌矿床闪锌矿进行了微区原位微量元素组成和Mapping(面扫描)分析。岩相学观察显示闪锌矿可以划分为两个世代,第一世代闪锌矿呈棕黄色,第二世代闪锌矿呈浅黄色。分析结果表明,桃林闪锌矿以富集Cd(最高11734.8 ppm,均值2978 ppm)和Ga(最高3331.7 ppm,均值310.7 ppm)、含In(最高322.4 ppm,均值27.1 ppm)和贫Ge为特征;第一世代闪锌矿Ga含量显著高于第二世代闪锌矿Ga含量。Ga和In在闪锌矿中均匀分布,Ga与Cu含量显示高度的正相关性(R2=0.93),Ga+In与Cu含量也具有高度的正相关性(R2=0.92),表明闪锌矿中Ga和In很可能以类质同像形式存在,替代机制为Cu++(Ga+In)3+↔2Zn2+;Cd在闪锌矿中均匀分布,可能也以类质同像形式存在,替代机制为Cd2+↔Zn2+。相对于第一世代闪锌矿,第二世代闪锌矿Ga含量显著降低,我们认为可能是晚期大气降水加入导致成矿流体氧化,使Cu+氧化为Cu2+,因缺少低价阳离子的电价补偿,Ga3+离子难以以类质同像形式进入闪锌矿Zn2+位置。桃林闪锌矿中稀散元素可能来源于幕阜山花岗岩岩浆晚期热液和冷家溪群/震旦系硅质—碳质板岩变质流体。
【目的】针对PINN用于地下水溶质运移模拟时存在的定解条件变更需重新训练、小样本下易过拟合且训练不稳定等问题,本文提出迁移学习增强框架(transfer learning-enhanced PINN,TL-PINN),以提升跨域泛化能力并降低训练成本。【方法】首先构建融合观测约束的源域PINN,在损失函数中引入物理约束与正则化约束,并采用双层权重调控机制防止过拟合,增强模型泛化能力;随后在目标域采用“浅层冻结、深层微调”的结构迁移策略。设置污染源位置迁移(目标域1)与流场方向反转(目标域2)两类跨域场景,对比不同迁移策略在精度(RMSE)、物理一致性(ADE残差均值)与训练效率方面的表现,并借助ADE残差与误差分布图评估污染羽形态偏差。【结果】TL-PINN在目标域的整体表现显著优于从头训练的PINN模型,全量微调策略在两类跨域场景中分别使RMSE下降约41.3%与41.2%,最佳迁移方案在保持精度的同时可将训练时间缩短约60%。在污染羽形态刻画方面,从头训练的PINN模型预测精度相对较低;而TL-PINN借助源域物理先验有效修正了形态偏差,显著提升了空间结构的一致性。在数据稀缺场景下,当时间样本减半时, 迁移学习使RMSE由0.424 mg/L降至0.287 mg/L,展现出良好的鲁棒性。【结论】源域模型经方程残差约束与流场表征所习得的物理先验,能够在目标域时空观测稀缺条件下有效补偿信息缺失并增强模型稳定性。“冻结第1层+深层微调”策略在预测精度与物理一致性之间达到最佳平衡,可实现污染羽形态与位置的高精度重构,并显著提升训练效率。该框架为应对因边界条件或水动力特征变化引起的地下水溶质运移模拟难题提供了高效、稳健的技术途径。
为解决黄土地区滑坡编录数据稀缺、样本完整性不足导致的易发性评价精度受限问题,提出一种融合遥感解译与信息量法的正负样本协同优化方法。首先,基于SBAS-InSAR技术与光学影像解译识别滑坡灾害正样本靶区,补充优化滑坡正样本;其次,基于信息量法筛选以滑坡极低、低易发区为目标区的滑坡负样本源区;最终构建4种正负样本集对比方案,采用随机森林(RF)与BP神经网络模型分析对比不同样本优化方案下研究区滑坡易发性评价效果。研究结果表明,正负样本协同优化方案样本集能显著提升滑坡易发性评价模型性能,其AUC值最高(RF=0.91812,BP=0.81937),较传统“历史编录-全域随机”方案样本集(RF=0.57285,BP=0.55577)有明显改善(RF、BP模型AUC值分别提高了60.27%、47.43%)。该方法有效提高了黄土滑坡易发性评价的精度与可靠性,可为样本稀缺地区的滑坡风险评估与防灾减灾提供技术支持。
为揭示干湿循环作用下无机盐对黄土孔隙结构及渗透性的影响,以陕西省泾阳县南源的黄土为研究对象,通过室内试验,对不同干湿循环条件和不同物质的量浓度NaCl溶液入渗下原状黄土渗透性和孔隙结构的变化规律及其水土作用机制进行了系统分析。干湿循环削弱了原状黄土的渗透性,且随着干湿循环次数的增加,原状黄土的饱和渗透系数越小。NaCl溶液增强了原状黄土的渗透性,且随着NaCl入渗液浓度的增大,对渗透性的促进作用越明显。干湿循环促进了原状黄土表面裂隙发育,增加了土体中微孔的数量和面积比,使土体有效孔隙度减小,土体结构变得更加紧密。NaCl溶液的入渗促进了石膏等矿物的溶解作用,导致土体孔隙更加发育,渗透性增强。本研究加深了对干湿循环和无机盐溶液渗透的共同作用下黄土结构及渗透性变化规律的认识,为黄土地区的水土保持及工程建设提供科学支撑。
黄河流域是我国重要的生态保护屏障和经济高质量发展区域,地面沉降问题在典型丘陵−山地−城市复合区如甘肃天水市秦州区表现尤为突出。以黄河上游节点城市秦州区为研究区,分析地面沉降的空间异质性特征与多因子协同驱动机制。基于2021年6月至2024年6月共50景Sentinel-1A影像,利用小基线集合成孔径雷达干涉测量(SBAS-InSAR)技术监测地面沉降动态,并结合多尺度地理加权回归(MGWR)和地理探测器方法开展深入分析。结果表明:(1)秦州区地面沉降呈现明显空间异质性,沉降区主要集中在城区东南部及南部地区,最大年均形变速率达−14.9 mm/a,最大累计形变量为−76.91 mm;主城区整体则呈抬升趋势,最大年均形变速率达12.3 mm/a,最大累计形变量36.81 mm。(2)MGWR模型揭示出人类足迹强度、夜间灯光等人类活动因子在城区沉降区作用显著;高程、降水等因子总体表现为负向效应,而NDVI和水源涵养量则呈现出较明显的空间异质性特征;地下水储量变化速率在南部和东南部地区与地面沉降关系更为密切。(3)地理探测器交互作用分析进一步发现,温度与地下水储量变化速率、人类足迹与蒸发量、高程与植被覆盖等关键因子组合表现出强烈的非线性交互增强效应。秦州区地面沉降是自然与人文因子多重协同作用的结果。本研究深化了对黄河流域典型丘陵−山地−城市复合区地面沉降机制的认识,为区域生态保护与高质量发展提供科学依据与实践指导。
边坡可靠度分析的高昂计算成本限制了其在工程实践中的广泛应用,亟需开发更加高效、准确的分析方法。本研究提出了一种有限差分强度折减法高效采样(strength reduction sampling,简称SRS)结合主动学习支持向量机(support vector machine,简称SVM)代理模型的新型土质边坡可靠度分析方法(SRS-SVM)。通过强度折减采样策略,高效生成邻近极限状态面高信息量的训练样本点,提升了SVM代理模型的训练效率。通过4个经典边坡案例对所提方法的高效性和准确性进行了验证。研究结果表明,本方法相比于传统的可靠度方法,如经典响应面(classical response surface method,简称CRSM)、径向基函数(radial basis function,简称RBF)和高斯过程回归结合强度折减采样(strength reduction sampling combined with Gaussian process regression,简称SRS-GPR)等,在计算效率(数值模型计算小于40次)和计算准确性(系统失稳概率相对误差绝对值小于1.5%)均表现出明显的优势,并且在处理功能函数非线性及复杂边坡时展现出较强的适应性。本研究提出的SRS-SVM方法将强度折减采样与主动学习SVM分类模型结合,在计算效率、计算精度以及处理复杂问题等方面表现优异,具有良好的工程应用前景,可为工程边坡风险评价与防治提供高效的技术支撑。
鄂尔多斯盆地北部盆−缘过渡带杭锦旗新召东区带二叠系盒一段准连续型致密砂岩气藏为现阶段勘探主要对象,勘探证实新召东区盒一段砂岩储层多已高度致密化,但仍可形成大规模天然气的充注成藏,本研究旨在查明主成藏期成藏动阻力耦合机制及其控藏效应,揭示鄂尔多斯盆地北部盆缘过渡带致密砂岩气成藏动力机制。以成藏动力学理论为指导,综合利用储层岩石学、成藏年代学及盆地模拟技术,分析新召东区带盒一段储层致密化与天然气成藏时序关系类型,定量重建致密砂岩储层的充注动力−阻力演化过程,总结主成藏期致密砂岩气成藏动阻力耦合机制及其控藏效应。研究表明,新召东区带盒一段主体为致密储层,发育压实主导致密型与石英胶结主导致密型2种成因的致密砂岩储层及1类溶蚀主导未致密型储层;天然气主成藏期为距今110~100 Ma的早白垩世末,天然气以CO2和CH4混合充注为特征;2种成因的致密砂岩储层都表现为“先致密后成藏”,且主成藏期天然气成藏动力大于阻力。净成藏动力(动力与阻力差值)大于7 MPa是杭锦旗地区新召东区带盒一段储层天然气富集的必要条件,高净成藏动力和良好封堵条件是杭锦旗新召东区天然气富集关键因素。
【目的】程潮铁矿作为鄂东南地区规模较大、最具代表性的矽卡岩型铁矿床之一,积累了丰富的重磁测量资料。然而,如何进一步深入利用重磁异常信息评估矿区深部及外围找矿潜力,仍需系统深入研究。【方法】本研究采用小波多尺度分析方法对矿区重磁资料进行二次处理,获取不同对应似深度的重磁细节异常,并从平面与剖面尺度精细剖析其强度、规模、正负磁异常组合特征及其与已知工程控制地质体的对应关系。【结果】结果表明:随深度增加(由第一阶至第四阶),重磁细节异常强度呈逐渐增强趋势,至第四阶异常强度达到最高,而实际工程控制的磁铁矿体主要分布于第一至第三阶细节异常对应的似深度区域,指示程潮铁矿深部及外围仍具较大找矿潜力。【结论】后续工程验证及测井成果进一步证实,小波多尺度分解与多维度精细剖析方法可为深部未知区域的地质结构解译及找矿预测提供有效参考。
阿尔恰勒铅锌铜矿床位于新疆西天山伊什基里克成矿带西南缘,矿体呈层状、似层状赋存于下石炭统阿克沙克组灰岩中。该矿床地表和岩芯尚未揭露有深成侵入岩,导致该矿床与岩浆作用的关系不明,矿床成因类型尚存争议,制约了找矿勘查方向。本文对矿石中新发现的磁铁矿和普遍发育的黑柱石开展了系统岩矿相学鉴定和电子探针成分分析,拟查明矿物形成成因、成矿物理化学条件、矿床成因及找矿方向。矿石中磁铁矿呈粒状或放射状产出,Ti和V含量较低,Al和Mn含量偏高,估算其形成温度为200~300 ℃。矿石中黑柱石Fe2+含量低,Mn2+含量高,为锰质黑柱石,形成于相对氧化的成矿环境。磁铁矿和黑柱石的元素组成均与典型矽卡岩矿床较为相似,结合石榴子石-钙铁辉石-阳起石-黑柱石矽卡岩矿物组合的大量发育,本文认为阿尔恰勒属于与隐伏侵入岩有关的远端型矽卡岩型铅锌铜矿床,与深部隐伏岩浆作用关系密切,推测深部可能有矽卡岩接触带和铁铜矿化。
库岸滑坡的诱发因素众多,其灾变演化过程和动态响应特征呈现出显著的非线性与时空分异性。为实现库岸滑坡的有效防治,须阐明极端条件下降雨入渗−库水位骤降联合作用对滑坡灾变演化机制和动态响应规律的影响。本研究基于物质点法(MPM),构建了三峡库区藕塘滑坡二维数值模型,模拟其在降雨与库水位波动联合作用下的启动与加速过程。通过分析滑坡不同部位在不同水力条件下的变形和稳定性,揭示了滑坡的演化特征及失稳机制。研究结果表明:(1)藕塘滑坡的稳定性受降雨和库水位波动的双重控制,水位下降主要影响坡脚一级滑体,而降雨对坡顶三级滑体稳定性的影响最为显著,该发现与监测数据高度吻合。(2)在降雨−水位波动联合作用下,藕塘滑坡出现坡脚局部崩塌与坡顶整体滑移的特征,中部未见明显失稳迹象。(3)在水位快速下降和强降雨的极端条件下,仅坡脚和坡顶处出现显著滑移,滑坡体沿基岩面整体滑移的概率较低。(4)在滑坡体失稳启动阶段,初始应变和初始位移沿主滑方向的分布存在显著差异,因此在布置测点时应予以考虑。本研究通过大变形数值模拟,分析了库岸巨型古滑坡长期稳定性的主控因素,为该类滑坡的预警与防治提供了理论支撑。
全球气候变化背景下,地质灾害链问题日益严峻,然而目前尚缺乏对该领域发展的全面、系统性量化梳理。因此,有必要对已有文献进行梳理,以厘清这一新形势下的研究现状。基于Web of Science核心合集1989—2024年的784篇文献,运用文献计量学方法,构建了“发文趋势−国家/机构合作−期刊影响力−研究主题”四维分析框架。研究发现:(1)研究历程呈现“萌芽−发展−快速增长”三阶段跃迁,遵循“技术赋能−案例验证”复合驱动模式,即重大灾害提供实证场景,而技术进步(如LiDAR、InSAR、AI)决定研究深度与时机。(2)中国在该领域占据主导地位(发文449篇),中国科学院为核心机构,国际合作形成以中、美、英为核心的多中心网络。(3)《Natural Hazards》、《Landslides》和《Engineering Geology》构成最具影响力的核心期刊群。(4)研究范式实现了从单一灾种分析到多灾种耦合、从静态评估到动态过程模拟、从经验描述到“数据驱动+物理约束”智能预测的深刻转变。未来研究应重点聚焦两大方向:一是发展数据与物理融合的混合智能、全链条观测体系与数字孪生平台等方法技术创新;二是深化震后长时效链、高寒冻土区链、火−灾链、喀斯特链及工程扰动链等典型区域链的机理与风险评估研究。本研究系统揭示了地质灾害链领域的发展脉络与范式转型,为深入理解地质灾害链学科发展提供了有力支撑。
海底流滑是发生在河口三角洲、陆架坡折带和深海陆坡的典型海底物质运动形式,其强流动性与长距离运移能力易对海底通信光缆、油气生产设施造成严重破坏,已成为海洋工程安全的主要威胁之一。深入解析海底流滑的形成机制,是实现该灾害精准预测与有效防控的关键,对保障海洋工程安全运营具有重要现实意义。当前海底流滑研究多聚焦于触发因素、形成机制与沉积特征分析,鲜有从研究方法论角度开展系统性综述。本研究在系统梳理国内外相关研究进展的基础上,详细剖析液化流滑和破裂流滑2种典型形成机制,重点综述物理模型试验、数值模拟及现场观测3类核心研究手段的发展历程与适用特性,并探讨当前研究面临的挑战。研究明确了2种典型流滑机制的地质力学特征与适用场景,厘清了物理模型试验、数值模拟、现场观测3类研究手段的技术特点、应用边界及发展现状,发现不同研究手段在技术优势、适用范围上存在显著互补性,需多方法协同方能实现对海底流滑的全方位研究。未来海底流滑研究应聚焦四大方向:开展跨学科合作揭示流滑复合作用机制;研发大尺度精细化物理模型试验技术;融合高性能计算与人工智能发展新型数值模拟方法;完善多尺度、全方位、长周期的现场观测技术与原位监测体系,以期为海底流滑灾害的预测预警与防控提供技术支撑。
NW向构造是东海盆地裂陷结构“南北分块”的主导因素,但关于其具体如何控制盆地构造演化的研究较少。本文以东海盆地丽东洼陷为例,对这一问题展开研究。基于丽东洼陷新采集的
隧道是城市地下交通体系中的重要基础设施,其结构安全与服役稳定性直接关系到工程运行安全,因此开展长期、连续的结构健康监测具有重要的工程应用价值。布里渊光时域传感技术作为一种典型的分布式光纤监测技术,具有监测距离长、布设灵活、抗电磁干扰能力强及长期稳定性好等优点,近年来已逐步应用于隧道结构监测领域,展现出良好的工程应用潜力。结合隧道工程监测实践,系统阐述了布里渊光频域反射(BOTDR)和布里渊光时域分析(BOTDA)技术的基本原理、测试方式及技术特征,总结了其在隧道结构应力与变形监测中的研究现状与工程应用进展。在此基础上,从“传感光缆−结构−围岩”协同作用角度出发,归纳分析了不同隧道结构形式、不同光纤布设方式及不同耦合条件下的监测适用性与误差特征;进一步对 BOTDR 与 BOTDA 在监测精度、空间分辨率、测试距离及复杂环境适应性等方面的差异进行了对比,明确了2种技术在不同隧道工程条件下的适用场景与技术优势。综合现有研究可知,监测效果不仅取决于传感技术本身,还与光缆−结构耦合性能、结构形式、施工条件及环境扰动等因素密切相关。研究表明,布里渊光时域传感技术能够实现隧道结构应力与变形信息的全分布式、长期连续监测,在隧道运行状态评估、病害识别及安全预警中具有良好的应用前景。未来,应重点围绕复杂环境下传感光缆与隧道结构协同变形机理、温度与应变解耦方法、高耐久传感封装技术以及监测数据智能分析方法等方面开展深入研究,以进一步提升该技术在隧道结构健康监测中的可靠性、精细化水平与工程适用性。
岩石质量指标(RQD)是岩土工程中公认的并广泛运用的反映岩石完整性的重要指标,常用于岩石质量分类,同时也是评级系统的重要输入参数。传统的RQD确定方法依赖于人工岩芯测井,但通常费时费力,且易受钻进工艺、取芯质量的影响,往往不能客观获得RQD值。本研究基于深度学习算法YOLOv5提出了一种新方法,无需采集岩心,能够直接从钻孔井下电视获得的原位钻孔图像中自动识别和定位结构面,从而避免岩心取样过程中的破坏性影响,并实现RQD的智能计算。该方法首先对钻孔原始图像进行预处理构建一个具有代表性的数据集,然后采用深度学习算法训练模型,最后结合图像分析方法自动计算RQD。为了验证该方法的准确性,本研究选取了位于中国湖南省永州市某隧道工程,通过对比zk4钻孔得到的RQD智能计算值和RQD人工测量值,发现根据钻孔图像智能计算的RQD值相较现场人工对于岩芯盒的实测值平均偏高20%,平均绝对误差为9.82%。本研究提出的方法能够避免钻进和取芯过程对实际RQD造成的影响,提高了RQD数据的准确性,体现了其卓越的可靠性和有效性。
通过数值仿真方法及正交试验设计,对新型聚光太阳能−地热长时储能系统(GEO-CSP)开展前期先验研究,旨在综合评估系统参数性能及其经济可行性。该系统通过聚光太阳能加热工质至高温,通过注入井将热能储存于地下储层,从而提升地层储热能力。采用多软件协同耦合仿真方法:SG-塔式软件通过光线追踪计算定日镜场集热性能;COMSOL多物理场模型模拟地下储层热−流耦合传热,分析储热注入温度和流量以及储层特征对储热效率的影响;MATLAB/Simulink构建两级闪蒸发电模型并仿真发电过程。基于27组正交试验设计分析,结果表明最优工况下(如:350 ℃注入温度、100 m3 h−1注入流量)地热储热效率可达93.6%、发电效率达33.5%。参数敏感性分析显示,注入温度与注入流量是影响系统性能的主控因素(贡献率分别为78.3%和14.0%);典型工况下,100 m左右的储层厚度能够平衡热交换效率与热损失,实现系统综合性能最优化。经济性分析表明,枯竭油气藏改造场景下,其投资回收期缩短至5 a以内,30 a生命周期内1对井的累计净收益达
页岩储层异常结构面分为强硬面与软弱面,前者以灰岩夹层为代表,后者包含层理缝、天然裂缝2类,其发育特征与页岩储层成藏、压裂改造及油气产出效率密切相关。精准识别异常结构面的类型与发育段,对页岩油气勘探开发具有重要指导意义。以红星地区页岩储层为研究对象,首先利用阵列声波测井快慢横波能量差实现灰岩夹层强硬面的精准识别;其次引入电成像测井基尼系数,通过计算基尼系数的震荡程度量化表征层理缝的发育特征;最后结合阵列声波相关系数等测井参数,及声波波形图中的深色条带信息,实现天然裂缝的定性识别与定量刻画。研究表明,能量差信息对灰岩夹层强硬面具有良好的响应特征;基尼系数法有效改进了层理缝以往单条识别工作量大、效果不佳的问题;阵列声波相关系数的异常低值特征与波形图深色条带相结合,能更直观地表征天然裂缝发育特征,可视化判定天然裂缝的发育位置与规模大小。现场应用验证表明,该方法对直井可实现灰岩夹层、层理缝及天然裂缝发育段的准确、快速识别;对水平井,可通过阵列声波测井参数与波形图完成灰岩夹层的判断及天然裂缝的定量识别,结合井漏资料验证,其结果与裂缝识别结论相互佐证,证实了该方法在水平井应用中的可行性与可靠性。
针对地质体相邻轮廓线重建中因轮廓特征差异显著导致的匹配准确率低下、拓扑关系失真及几何形态畸变问题,提出了一种基于模糊匹配与多特征约束插值的复杂轮廓重建算法。该方法首先融合顶点的空间位置、局部邻接关系和整体轮廓特征,建立模糊域匹配策略,评估相邻轮廓的顶点相似度并在相似顶点间建立单映射匹配。基于匹配结果生成源轮廓与目标轮廓的最大接近轮廓后,采用线性插值和离散多边形演化分别处理最大接近轮廓之间以及原始轮廓与最大接近轮廓之间的过渡形态。最后,结合包围盒约束的几何变换校正,基于匹配结果对插值后的轮廓序列进行三维重建。采用3组典型地质特征的勘探线剖面数据进行重建测试。在方法对比方面,选取GOCAD标准重建算法作为基准,同时引入局部优化约束和全局优化约束的改进算法进行系统比较。结果表明,所提方法有效解决了传统重建方法中存在的轮廓自交和拓扑结构紊乱问题。基于三角形相似度、跨距长度和空间夹角构建的几何评价体系验证表明,该方法重建的TIN模型在几何精度和拓扑一致性方面均表现出显著优势。本研究提出的方法降低了轮廓插值对匹配结果的依赖,为轮廓线重建中的对应问题和插值问题提供了算法创新与理论参考。
探讨均质砂箱含水层多级水流系统排泄点及内部溶质运移的非费克现象与关键影响因素,明晰该模式下非费克现象的表现规律,为复杂嵌套式盆地地下水污染防控与治理提供实验和理论依据。基于室内砂箱实验与 COMSOL Multiphysics 数值模拟,通过改变降雨入渗强度,构建单一区域、局部 + 区域二级、局部+中间+区域3级3种水流系统模式,开展溶质运移动态监测与穿透曲线分析。溶质运移穿透曲线分析显示:同一水流模式中,非费克现象显著程度为区域水流系统>中间水流系统>局部水流系统;不同水流模式中,非费克现象显著程度为单一区域水流系统>局部+区域二级水流系统>局部+中间+区域三级水流系统;砂箱河谷排泄点与含水层内部监测点均呈现明显的早到、拖尾非费克运移特征。该非费克现象受地下水流速、溶质运移路径和降雨入渗强度共同影响,浅部受流速影响更大,深部受运移路径影响更显著;降雨入渗强度与深部非费克现象呈明显负相关,对浅部则无明显相关性。研究成果丰富了均质含水层多级水流系统溶质运移理论,为实际盆地地下水污染评价与修复提供了科学参考。
在全球气候变暖与强降雨事件频发的背景下,高海拔山区因其地质环境的高度敏感性与工程扰动叠加效应,滑坡灾害风险加大,但对于滑坡触发机制与演化过程仍缺乏系统认知。为探究高海拔山区滑坡在降雨作用下的变形响应特征,本文以西藏山南隆子县一处海拔4700 m、受道路施工扰动的典型滑坡体为研究对象,构建了一套融合分布式光纤传感与多参数原位监测的一体化监测系统,通过原位监测,获取了2024年6月14日至9月30日期间的气象参数,浅层土体温度、含水率与应变数据,以及深层土体应变数据。结果表明:(1)由降雨入渗引发含水率突变与温度变化,进而导致土体应变压缩并逐步回弹恢复的水-热-力耦合响应模式,且在干湿交替条件下因裂隙导水效应导致变形进一步加剧;(2)深层潜在滑面(滑面Ⅱ)对降雨响应具有显著滞后性,表现出水力扰动下的应变累积效应,其演化遵循由暴雨入渗诱发滑动面Ⅱ变形响应滞后,经应力聚集最终导致变形突增的典型路径;(3)夏季经历暴雨、持续降雨、干旱至再降雨的交替循环过程构成滑坡变形高敏感窗口期,应强化该阶段的动态监测与预警响应。本研究建立的高海拔滑坡光纤智能监测系统,可为青藏高原及类似艰险山区滑坡灾害的风险识别、机理分析与工程防控提供关键数据支撑与方法借鉴。
(目的)为提升尾矿坝在降雨作用下的分级预警及时性,考虑有效黏聚力、有效内摩擦角与饱和渗透系数的变异性,(方法)基于《地质灾害防治边坡工程结构可靠性设计规范》确定尾矿坝稳定分级预警可靠度指标值,进而对每一级预警可靠度指标值,基于均匀降雨模型构建相应的临界降雨模式曲线,形成基于临界降雨模式曲线簇的尾矿坝稳定分级预警区划图,最终将实测降雨强度及降雨时间映射至分级预警区划图实现尾矿坝稳定实时分级预警。根据省气象局降雨监测数据对一概化尾矿坝稳定进行分级预警。(结果与结论)研究显示:忽略饱和渗透系数变异性将低估尾矿坝在持续降雨下的滑坡风险,对比仅考虑有效黏聚力和有效内摩擦角的分级预警区域面积,考虑饱和渗透系数变异性导致稳定、基本稳定及欠稳定区域面积分别减小7.8%、53.0%和64.2%,而不稳定区域面积则增加了14.5%。本文所提方法有助于降雨作用下尾矿坝分级实时预警,易与实时在线监测系统结合,具有良好的工程应用前景。
塔里木盆地巴什托地区泥盆系上统东河塘组主要发育无障壁滨岸沉积体系,砂体横向连片,纵向厚度大,勘探实践证实具有良好油气潜力,目前仍存在砂体沉积成因认识不具体导致有利储集体预测精度不高的挑战。基于岩心、实验数据、测录井及三维地震资料,采用岩心岩相、沉积构造及旋回序列精细描述,粒度分析、测井相组合特征分类、叠后重构声波阻抗反演及技术方法,厘定了研究区沉积亚相区带归属及微相类型,刻画了沉积微相的空间演化特征,总结了沉积主控因素。结果表明:①东河塘组下砂岩段的4-6砂组砂体为临滨沉积,可划分4种微相类型,以块状、韵律层理粗砂岩和含砾粗砂岩为主的临滨砂坝微相、以平行层理、韵律层理中砂岩、中砂岩夹薄层粗砂岩为主的的砂坝侧缘微相,以块状、交错纹层细砂岩为主的席状砂滩微相,以水平层理、交错纹层、块状粉细砂岩、泥岩为主的砂坝间湾微相;②从4砂组到6砂组,空间上砂坝从近陆向海方向不断迁移,纵向上以反旋回沉积序列为主,6砂组顶部砂体粗粒的临滨砂坝成因砂体占绝大部分;③各微相的时空演化规律受控于两大因素,首先是研究层段沉积期的大规模海退事件,导致临滨砂坝不断向海迁移进积,研究区粗碎屑组分占比不断升高,其次是滨岸带多级坡折控制了破浪带的形成,约束临滨砂坝的空间分布。在海平面升降及滨岸多级坡折的联合约束下,造就了巴什托地区厚层临滨砂体广布,为油气赋存奠定了物质基础。厘定沉积亚相带及微相类型,落实时空演变规律及主控因素可为本区乃至塔里木盆地的“东河砂岩”沉积分析提供理论参考。
固化土在防渗工程中应用广泛,但施工过程中因搅拌均匀性、土质变异及养护条件差异导致的显著空间非均匀性常被忽视,致使防渗设计存在较大不确定性。本文以煤渣堆场固化土防渗墙工程为背景,开展现场浇筑与养护试验,采用高密度电法获取固化土不同空间位置的电阻率数据,结合现场钻孔取样测定的渗透系数,构建了以电阻率为输入参数的Archie与Kozeny-Carman(KC)耦合模型用于评估固化土渗透系数。在此基础上,量化分析了电阻率数据与耦合模型预测的不确定性,采用随机数值模拟方法计算防渗墙瞬态渗流场,并基于击穿时间统计特征提出煤渣堆场防渗墙的最优设计参数与运行建议。结果表明:电阻率测试数据服从对数正态分布,Archie-KC耦合模型误差服从正态分布,固化土防渗墙击穿时间服从对数正态分布,击穿时间的均值与标准差均随墙厚增加而增大,最优防渗墙厚度为3.0 m,防渗墙在10天、15天、20天的击穿失效概率分别为0.07%、3.92%和77.15%。
【目的】西华山地区地处北祁连造山带东段,是宁夏金多金属矿床成矿条件最好、矿化显示最为密集的区域之一。目前该区已发现多处小型金多金属矿床、矿(化)点及物化探异常区,但整体勘查程度较低,尚未实现重大找矿突破。【方法】本文在系统梳理该区以往勘查成果的基础上,明确了金多金属矿的控矿因素,建立了综合地‐物‐化‐遥多源信息的找矿模型,并据此圈定了找矿靶区。【结果】研究表明,西华山地区金多金属矿主要受构造与地层控制:构造上表现为三级构造控矿,即一级北西向断裂为导矿构造,二级北北西向断裂起配矿作用,三级北西—北西西向断裂为容矿构造;地层方面,金成矿有利地层为天都山组,而铜则为簸箕掌组。柳沟地区1: 5000激电测量结果显示,中、高电阻率—高极化率异常通常由矿化引起。在1: 5万水系沉积物测量中,Au-Cu-Ag-As-Mo与Pb-Au-As-Ag两类元素组合异常表现出强度大、分布范围广的特点;同时,基于主成分分析的WorldView-3高光谱遥感数据有效提取出铝羟基异常、碳酸盐化异常和铁染异常,在空间分布上与部分已知金多金属矿床吻合较好。【结论】综合地质、地球物理、地球化学及高光谱遥感等多源信息,本次共圈定出5处找矿靶区,包括3处Ⅰ级靶区和2处Ⅱ级靶区,反映了不同区域在找矿潜力上的差异性。其中,马场、簸箕掌-老爷寺和柳沟地区被划分为Ⅰ级靶区,这些区域成矿地质条件优越、找矿潜力大。通过开展岩石地球化学剖面测量对靶区进行验证,结果支持了本次靶区圈定的可靠性,为后续勘查工程部署提供了技术支撑。
地热资源具备可再生、能源利用效率高和节能减排等显著优势,是推动能源转型、实现 “双碳” 目标的重要可再生能源类型。银川盆地地热储量丰富,但因缺乏系统的水文地球化学与同位素研究,其地热水成因机制尚未明确,开发利用也缺乏科学规划与统一管理,不仅导致地热资源开发利用进程缓慢,还严重阻碍了当地经济的绿色快速发展。本研究以银川盆地典型地热井水样为研究对象,将其按区域划分为西部、中部和东部3组,同步采集研究区深层地下冷水样品作为对照,结合区域地质构造背景,通过系统分析测试地热水与地下冷水的水化学、同位素特征,深入探讨了研究区地热水的地球化学起源、径流循环过程、热源类型,并全面剖析了地热系统的成因机制。研究发现,该区域地热水化学类型主要为 Cl-Na 型和Cl·SO4-Na 型;氢氧同位素特征显示,地热水补给来源以大气降水为主,补给高程在
【目的】强变形构造区多层含水系统的结构在空间上变化强烈,导致地下水的赋存和运移规律复杂,给预测深埋引水隧洞的突涌水风险和工程建设带来巨大挑战。在建南水北调中线引江补汉工程输水隧洞穿越金斗-鞍子寨复式背斜寒武-奥陶系多层岩溶含水系统时,多个勘察钻孔揭露高压力、大流量的承压水,隧洞施工遭遇高压突涌水风险极高。【方法】本研究综合采用水文地质钻探、孔内电视录像、水化学、同位素、水文动态监测等多方法手段,揭示了多层含水系统承压水的补给、赋存和运移规律,识别了控制地下水富集的构造特征。【结果】研究表明:金斗-鞍子寨岩溶含水系统垂向上为多个岩溶含水层与隔水层相间的多层结构,在隔水层的阻隔之下埋藏型岩溶发育较弱,含水介质以裂隙为主;承压水以HCO3-Ca·Mg型水为主,TDS略高于表层岩溶泉,且同位素出现明显分馏现象,指示承压水的径流途径较长、循环更替较慢、不能直接接受现代降雨补给的特点;含水层仅在山区出露地表接受补给,在地形、构造和隔水层的共同控制下,总体自西、南向东、北方向径流,通过土门断裂排泄入清溪河;【结论】地下水的补给来源高、径流途径长、排泄通道窄是高水头承压水形成的根本原因,断层破碎带、褶皱核部、含水层与隔水层交界处是承压水富集的集中径流带,隧洞穿越这些部位时存在高压突涌水风险,涌水来源主要为承压水的弹性储存量,具有初见涌水量大、涌水量和水压力随时间逐渐衰减的特点,研究成果可为类似强烈变形构造区深埋隧洞水文地质条件识别提供参考。
福建政和地区是东南沿海重要的金多金属矿集区,主要发育岩浆−热液型矿床,矿化−蚀变样式复杂多样。然而,由于该地区地质情况复杂、研究程度较低,其矿化−蚀变特征尚不明确。以东坑火山盆地西北侧的岩皮头多金属勘查区为研究对象,对区内广泛发育的热液蚀变开展详细的野外地质观察、钻孔矿化−蚀变分带和地球化学定量分析,为深部找矿勘查提供有效的围岩蚀变和地球化学信息。结果表明,岩皮头地区发育铅锌多金属矿化和铜钼矿化,以矿化为中心,蚀变具有明显的分带性,可分为钾质蚀变岩带、矽卡岩带、金属矿化带、云母片岩带和角岩带。从钾质蚀变岩带到矽卡岩带,Si、Al、TFe、Ca、K等元素呈迁出状态;从矽卡岩带、角岩带到矿化带,大部分元素向矿化带迁移,表明矿化时成矿流体活泼。与金属矿化关系密切的蚀变类型是钾质蚀变和矽卡岩化,与矿化有关系的是云母片岩带。结合前人研究成果,建立了岩皮头地区矿化−蚀变分带模式,认为该地区具有较好的深部找矿潜力,并指出下一步找矿工作为向北西侧矽卡岩化更强烈的黄畲岗地区。
隐伏陷落柱作为煤田典型的隐蔽地质异常体,其边界识别精度直接影响煤矿安全生产与地质灾害防治效果。针对传统单一属性方法在弱边界响应与噪声抑制方面的不足,本文提出一种融合构造导向滤波与分频相干属性的多尺度表征与增强识别方法。以山西某矿区三维地震资料为基础,首先通过构造导向滤波技术,结合梯度结构张量与各向异性扩散方程,在有效压制随机噪声的同时,显著保留了陷落柱边界的陡倾角构造特征。进而,采用短时傅里叶变换对滤波后数据进行频谱分解,提取40–100 Hz范围内多个单频的振幅与相位属性,系统揭示了陷落柱边界地震响应的频率依赖特性:低频段(60–70 Hz)振幅属性对大规模陷落柱轮廓具有良好指示性,而高频段(80–90 Hz)相位属性对小规模陷落柱边界表现出更优的锐化与分辨能力。在此基础上,引入特征值相干算法量化地层不连续性,并通过多频段属性融合策略,实现了陷落柱边界在空间展布上的集成增强与精细刻画。实际资料应用表明,该方法显著提升了地震资料的信噪比与边界识别精度,为隐伏陷落柱的探测与解释提供了可靠的多尺度地球物理技术手段。
【目的】冀东青龙卧龙岗岩体为燕山造山带中生代岩浆成矿集中区。针对不同温度窗口下岩浆—热液过程时间耦合不清、早白垩世构造转折对成矿贡献尚不明确的问题,本文旨在通过多体系年代学研究,明确中生代构造—岩浆—热液演化及成矿的阶段性联系。【方法】采集卧龙岗岩体及相关铜矿化样品,开展锆石U–Pb、绢云母40Ar/39Ar及磷灰石U–Pb定年,分别约束高温岩浆侵位、中温热液活动及低温热事件演化。【结果】锆石U–Pb定年显示岩体形成于中—晚侏罗世(171–159Ma),对应古太平洋板块俯冲引起的地壳挤压增厚阶段,为成矿前物质储备期。绢云母40Ar/39Ar年龄(159Ma)记录了与岩浆侵位相关的中温热液活动。磷灰石U–Pb定年识别出两期早白垩世热事件(136Ma、112Ma):前者对应区域构造由挤压向伸展转折的初期,揭示深部系统在构造减压下“流体先行”特征;后者与区域成矿高峰及克拉通破坏峰值期一致,反映热重置及成矿系统再活化。【结论】卧龙岗矿床经历三阶段演化:中—晚侏罗世岩浆侵位储备期、早白垩世初期构造转折驱动的热—流体启动期、早白垩世晚期热叠加成矿期。不同定年体系反映不同温度窗口下的地质过程,为重建区域成矿框架及识别隐伏成矿系统提供重要年代学依据。
摘要:海北藏族自治州地处祁连山中部地带,多年冻土分布广泛,随着全球气候变暖,区域内热融地质灾害发生较为频繁,对居民的生命财产构成严重威胁,【目的】开展易发性评价工作可为持续性建设发展与灾害预警提供技术支撑。【方法】以海北州为研究区域,对初步选取的16个评价指标进行相关性和重要性分析,采用降维技术优化评价指标,选用3种不同机器学习方法进行建模分析,【结论】取得如下成果:(1)Kruskal-Wallis检验算法表明,距道路距离、多年平均温度、融化指数、高程、积雪天数为海北州热融地质灾害发生的主要影响因素。(2)与常规地质灾害不同,降雨通常不是热融地质灾害的决定性孕灾条件,评价中应重点考虑能够表征冻土热状态及工程扰动强度的相关指标。(3)采用降维技术对冗余因子进行处理,不仅消除了因子间的高相关性,还保留了原始数据的主要信息,生成的降维融合因子的重要性得到显著提升,优化了评价指标。(4)经降维技术评价指标优化后的3种机器学习模型预测性能均有所提高,且评价指标优化后的LR模型表现效果最好。
【目的】针对深基坑工程中岩土参数不确定性大、传统勘察数据难以准确反映开挖后土体真实状态的问题,提出了一种融合监测数据的岩土参数贝叶斯反演与可靠度动态更新方法。【方法】本文通过引入贝叶斯更新框架,结合马尔可夫链蒙特卡洛(MCMC)采样,利用基坑位移监测数据动态反演更新土层粘聚力与内摩擦角的概率分布,有效降低参数变异性。在此基础上,采用二次响应面代理模型替代高耗时的数值模拟,结合蒙特卡洛方法实现基坑可靠度的高效计算,形成“监测–参数反演–可靠度评价”的一体化分析流程,并以湖南省怀化市某基坑工程为例进行方法验证。【结果】结果表明:经监测数据反演后,土体参数的后验分布标准差显著减小,岩土参数不确定性降低;基于更新后参数计算的基坑失效概率不到10−6,远小于先验的1.9×10−5,可靠度指标明显提升。【结论】说明传统方法评估结果偏保守,该方法能更真实反映基坑实际安全状态,可为深基坑施工过程中的风险管控与安全评价提供有效手段。
【目的】鄂尔多斯盆地东南缘晚石炭世—早二叠世海陆过渡相页岩气具有巨大的勘探开发潜力,但有机质富集机理不清严重制约了海陆过渡相页岩气的甜点评价。本次研究构建了古气候替代指标—,对盆地东南缘大吉区块完整取心井DJ70井开展天文旋回分析。【结果】结果显示:(1)本溪组—山西组保存着稳定的长偏心率周期信号,结合天文调谐结果和高精度年龄锚点,建立了本溪组—山西组绝对天文年代标尺,并识别出15.5个长偏心率旋回,对应划分出15.5个四级层序。以长偏心率滤波曲线的波谷作为四级层序界面,建立了高分辨率四级层序地层格架。(2)鄂尔多斯盆地东南缘海陆过渡相页岩有机质的富集明显受控与天文旋回。长偏心率低值期对应干旱气候,来自内蒙古隆起的火山灰可以长距离搬运并空落沉降在鄂尔多斯盆地,显著提升水体古生产力。同时,该时期的海平面相对稳定,水体深度适宜,沉积物可以在温跃层溶解氧饱和度极小值段内沉积,为有机质保存提供了有利环境,页岩中总有机碳(TOC)含量高。而长偏心率高值期对应湿润温暖气候和四级层序的海侵阶段,不利于火山灰的长距离空运和有机质的保存,页岩中TOC含量低。【结论】鄂尔多斯盆地东南缘海陆过渡相页岩有机质差异富集本质是天文旋回周期控制古气候,协同重大地质事件,共同促成了高生产力、优保存的页岩有机质富集过程。这一模式为鄂尔多斯盆地—华北盆地富有机质页岩的预测提供了理论依据。
地下水年龄蕴含着地下水循环与演化过程的信息,是重要的水文地质参数。本文通过对1975—2024年发表的1804篇基于示踪剂的地下水年龄研究领域论文进行系统的文献计量分析,梳理了研究现状,解析了发展趋势。结果显示,该领域发文量总体呈指数上升趋势,美国、中国和德国在该领域居领先地位。关键词共现网络分析表明地下水年龄主要在地下水水量、古气候和地下水质量三个研究领域发挥重要作用。从时间趋势看,早期探索阶段三个主题的发展相对均衡;2002—2013年在社会需求驱动下更侧重于地下水水量的研究,以指导地下水资源管理;2014—2024年在技术突破的驱动下开始重点关注古气候研究,以帮助应对气候变化。近几十年来,原子阱痕量分析(ATTA)技术的突破和发展,使得长寿命放射性惰性气体同位素的应用成为可能,为构建一百三十万年连续地下水年代学序列带来了新契机。除此之外,地下水年代学的重要发展方向包括但不限于单一示踪剂年龄校正模型发展、深化多示踪剂联用和耦合新技术方法等。上述研究有助于提高地下水年龄的精度和准度,可为地下水资源管理和气候变化应对提供理论支撑和技术指导。
南海蕴含丰富的油气资源,然而深水低温条件会延缓水泥强度发展,导致固井成本增加。基于此,本研究将绿色建材稻壳灰(rice husk ash, RHA)加入油井水泥中,系统评估了不同掺量(5%、10%、15%)和不同粒度(11.4-56.9 μm)的RHA对油井水泥的早期水化特性的影响。通过抗压强度测试、等温量热测试对水泥的力学性能、放热特性进行了表征分析,结合热重分析(TG-DTG)、扫描电镜-电子能谱分析(SEM-EDS)明确了RHA的粒度-掺量对油井水泥早期性能的调控机制,并揭示了RHA对油井水泥的增强机制。结果表明,RHA 的掺量与粒径会协同调控水泥水化反应、微观结构演化及水化产物生成,显著影响水泥石的力学性能。在1天水化龄期时,掺5%RHA的水泥浆强度最高;3天和7天龄期时,掺10%RHA的水泥浆的强度最高。随RHA粒径的细化,1天和3天强度呈逐渐增大趋势,而7天强度则呈先升后降的趋势(T1RHA强度最高)。低掺量RHA可通过火山灰反应、成核位点效应及空间填充效应提升水泥石强度,高掺量RHA则因稀释效应与团聚现象导致性能下降。RHA粒度越细,火山灰活性越高,反应放热越显著。RHA粒径细化虽能增强火山灰活性,但过细颗粒会抑制后期水化。本研究为RHA在油井水泥中的优化应用提供了理论依据与技术参考。
【目的】准噶尔盆地南缘西山窑组中低阶煤层气资源丰富,但米东区块煤层气井产能差异显著,产能主控因素与富集高产模式认识不足制约了勘探部署。本文旨在查清米东区块西山窑组煤层气井产能差异的控制机理,建立煤层气富集高产模式。【方法】以米东区块中侏罗统西山窑组42-45号煤层为研究对象,综合煤层地质参数与生产动态资料,分析不同产能类型煤层气井的排采特征及产气阶段演化规律;选取煤层有效厚度、含气量、临储比及压裂规模等关键参数,采用Spearman秩相关分析方法,定量识别平均日产气量与最大日产气量的主控因素;结合构造分区与典型井剖面对比,构建煤层气富集高产模式。【结果】构造上,研究区西山窑组煤层气井产能由八道湾向斜向北单斜整体呈现逐渐升高的空间分异特征。其中,北单斜煤层气井产能明显受地质因素控制,平均日产气量与煤层有效厚度相关性最强,最大日产气量受临储比与含气量共同控制;此外,八道湾向斜煤层气井平均日产气量与压裂规模显著正相关,工程改造对稳产能力具有关键影响,最大日产气量明显受临储比与含气量制约。研究区西山窑组煤层气可动气富集带主要发育于北单斜与八道湾向斜北翼之间垂深约600~900 m的中等埋深区间,临储比与煤层有效厚度的空间耦合决定了煤层气高产井的产生与分布。【结论】临储比与煤层有效厚度是控制米东区块西山窑组煤层气井产能差异的关键参数,构造背景通过调控气体再分配与可动气比例,对富集高产区的形成具有基础性作用;中等埋深区间为水动力与构造作用的优势叠加带,是煤层气富集高产的有利区带。研究成果为米东及其类似区块煤层气有利区预测与开发部署提供了理论依据。
我国南方丘陵山地降雨群发滑坡危害严重,滑坡易发性评价是防灾减灾核心支撑,而评价模型与负样本选取的科学性直接制约评价精度。以2023年10月广东信宜降雨群发滑坡为研究背景,旨在探究不同负样本采样方法与机器学习模型对评价精度的影响。通过遥感影像解译获取滑坡正样本,构建因子约束、缓冲区随机、无监督聚类三种负样本集,结合集成机器学习建模开展评价。集成机器学习模型本身具备较高基础精度,且负样本方法对精度影响显著,无监督聚类采样对应的模型精度最优,缓冲区随机采样次之,低坡度约束采样精度最低。无监督聚类负样本采样方法能够挖掘区域背景特点,与集成机器学习结合可进一步提升评价精度,可为我国南方丘陵山地降雨群发滑坡易发性评价提供样本选取及模型构建参考。
压缩空气储能技术一种利用压缩空气在地下储存能量并在需要时释放的储能方式,近年来,随着对可再生能源波动性需求的增加,CAES技术的研究和应用逐渐成为能源领域的关注重点。压缩空气储能地下人工洞室稳定性是一直以来研究的重点,它的影响因素较为复杂,亟需一套合理的风险评价体系。为探究压气储能地下人工洞室的稳定性,建立合理的风险综合评价体系,引入了层次分析法(AHP)与熵值法确定综合权重,并结合模糊数学综合评级法的数学模型。首先确定地下人工洞室的稳定性指标体系,基于层次分析法和熵值法,对各项评价指标权重进行赋值,得到综合权重;在大量文献调研和数值模拟的基础上,对各个评价指标的风险等级进行划分,然后结合模糊数学评价法,确定各评价指标的模糊矩阵,将各评价指标的模糊矩阵和综合权重相结合,从而得到地下人工洞室储气库的综合评价结果。运用该模型针对代表性试验库进行验证,评价结果符合实际情况,表明该方法具有一定的准确性,可以为工程实践提供有益借鉴。
【目的】隧道工程岩体节理检测是确保隧道结构稳定的关键一环。目前主要的隧道检测方法受人为主观影响存在漏检、误检率高等问题,同时在机器学习领域中对细微节理的全局定位、捕捉能力低下。【方法】针对以上问题本文提出了一种地质轻量化注意力YOLO目标检测算法GeoLA-YOLO。在YOLOv8n的骨干网络部位加入CBAM注意力机制,增强模型对于细微特征信息的抓取能力。改进头部结构,增强对细微节理的精准定位与判别能力。【结果】在自建数据集中实验结果表明,改进后的算法在参数量方面与基线算法保持相近的同时在mAP@0.5、mAP@0.5-0.95、Recall、F1指标上提高了4.3、9.6、5.0、5.5个百分点,验证了模型的有效性。在公开数据集CUBIT-Det中实验结果表明,改进后的模型与基线算法相比在mAP@0.5、mAP@0.5-0.95指标均提高了5以上个百分点,验证了GeoLA-YOLO的鲁棒性。
【目的】河岸带是陆地生态系统与地表水体的过渡区域,地下水流过程显著影响河流水质以及河岸带生态环境,但目前单次降雨对地下水流系统模式的影响尚不明晰。【方法】本文通过河岸带物理砂箱实验和数值模式模拟,研究侧向径流补给和降雨入渗补给协同条件下河岸带中地下水流系统发育模式的演化过程。砂箱实验模拟河岸带地下水位对侧向径流补给和降雨入渗补给的响应过程,而数值模拟直观再现了地下水流向和系统演变的动态过程。【结果】结果表明,雨前河岸带仅有侧向径流补给时,发育由砂箱左侧流向右侧河流的单一区域水流系统。降雨初期,河岸带地下水流系统发育模式快速发生改变,浅部出现多个局部水流系统,后期又转化为由左侧径流补给和顶部入渗补给流向右侧河流的区域水流系统。降雨入渗补给和侧向径流补给强度的相对比值会强烈影响局部水流系统的数量、规模和方向。【结论】次降雨事件是引发河岸带水流系统模式改变的关键外部扰动,水流系统发生变化会造成河岸带内部环境的骤然变化,必然对污染物的迁移转化与削减产生重要影响,精细刻画单次降雨所引发的短时间尺度内河岸带地下水流系统发育模式的演变过程可为利用河岸带去除污染物和采取河岸带生态保护措施提供重要的科学依据。
【意义】城市地下空间开发面临严峻的地质安全挑战,其灾害根源多源于特定地质体在工程扰动下的灾变演化。【进展】传统工程领域的“地下病害体”概念聚焦于空洞、脱空、疏松体及富水体等灾害表象,难以支撑风险的源头防控;而既有地质学概念虽能刻画客观地质单元,却未能充分表征其在工程活动作用下的动态响应与致灾可能性。【结论与展望】为弥补“地质条件”与“工程灾变”之间的理论缺口,本文提出“地质病害体”这一核心概念,将其界定为“在自然或工程扰动下可能演化为工程灾害的特定地质单元”。在此基础上,构建了以地质成因和致灾机制为双重准则的分类体系,系统涵盖岩体类、土体类、地下水体类及地质构造类等主要类型,并揭示了其向工程尺度灾害的演化路径。本研究构建的概念体系,为推动风险认知从“现象应对”向“根源管控”的范式转变提供了统一的概念框架,并为后续开展地质病害体的动态模拟与定量评估奠定了分类学基础。
【目的】南海南部陆缘作为汇聚型边缘记录了从裂陷-漂移-前陆构造阶段的闭合过程,克拉克海底扇(Crocker Fan)就是沙捞越碰撞运动之后渐新世-早中新世所形成的大型深水海底扇。【方法】本文利用马来西亚沙巴露头区10条剖面观察,系统总结了克拉克海底扇沉积特征。【结果】研究表明西克拉克组主要由未变质的海底扇和深海泥质沉积物组成,大致相当于婆罗洲北部碰撞带Miri区,面积超过25,000平方公里,分布于沙捞越和沙巴北部滨岸带。克拉克海底扇为非受限的深水海底扇,由于露头零散及地震资料缺乏,推断是沿碰撞带形成大型海底扇群。克拉克海底扇主要由细-中砂岩组成的砂质高密度浊积岩、由粉砂岩组成的泥质低密度浊积岩组成,偶见粗砂岩或含砾块体流沉积。包括以数十米厚层浊积水道、中厚层浊积水道/天然堤沉积、朵叶沉积、薄层席状砂与泥岩互层。朵叶沉积和席状砂沉积可见不完整的鲍马序列,而且底模和遗迹化石十分常见。此外,在薄层席状砂与泥岩互层层面还可见丰富的植物碎屑,局部可见镜质条带,指示了窄陆架区背景下滨岸泥炭沼泽被带入深水沉积。【结论】这些良好剖面可为窄陆架区海底扇沉积提供了极好的范例。研究成果对南海大陆边缘动力学及深海储层研究具有重要意义。
深层-超深层致密砂岩储层具有巨大油气勘探潜力,微裂缝的发育与空间分布是深层-超深层致密砂岩储集性能改善的关键因素。【目的】为明确致密砂岩微裂缝成因与控储意义,本文以塔里木盆地库车凹陷白垩系亚格列木组为研究对象,【方法】综合钻井岩心、铸体薄片、激光共聚焦、扫描电镜、碎屑锆石测年、重矿物组成及碳氧稳定同位素等分析,查明亚格列木组深层致密砂岩微裂缝的成因类型与主控因素,建立微裂缝控储演化模式。【结果】结果表明:A井区岩石类型主要为岩屑长石砂岩和长石岩屑砂岩,其次为岩屑砂岩,岩屑类型以变质岩为主,B井区岩石类型主要为岩屑砂岩和长石岩屑砂岩,岩屑类型以岩浆岩为主,B井区岩屑含量更高。【结论】研究区主要发育构造微裂缝,共发育三期微裂缝:(1)第一期裂缝开度较宽(2mm-4mm),为高角度、近垂直缝(70°~90°),裂缝平直光滑,以剪切缝为主,缝内方解石充填,充填时间在90~65Ma,对应为燕山晚期-喜山早期缓慢浅埋藏阶段;(2)第二期裂缝开度较窄(1mm-2mm),为中、高角度缝(40°~60°),裂缝略微弯曲,以张-剪复合缝为主,缝内高岭石胶结物充填,裂缝充填时间在 40~20Ma,对应为喜山中期快速深埋阶段;(3)第三期裂缝开度最窄(0.2mm-1mm),为低角度缝、近水平缝(10~30°),裂缝弯曲,主要以张性缝为主,缝内铁白云石胶结物充填,充填时间在10~6Ma,对应为喜山晚期推覆调整阶段。在统一构造挤压背景下,由于不同物源体系和岩石组分,导致A区和B区微裂缝控储模型存在差异性:A井区脆性矿物含量高,在强烈构造挤压过程中微裂缝的发育程度高,有利于储层后期酸性溶蚀,增孔提渗效应明显。因此,整体上A井区储层质量要好于B井区。
致密砂岩地层是重要的非常规油气和地热资源开发储层,但是,由于其强烈的非均质性特征,在水力压裂条件下的致密砂岩裂缝发育特征难以识别。文章针对四川盆地沙溪庙组致密砂岩地层,基于真三轴大型物理模拟,结合工程尺度压裂监测数据,利用多尺度裂缝微地震事件的时空展布,识别致密砂岩裂缝发育特征并揭示其破裂机制。研究表明:(1)裂缝发育受双重因素控制:一是天然裂缝与人工缝网的共同作用,二是沉积相(河道砂体展布)、地层倾角及天然裂缝发育程度的外在影响,最终使裂缝呈现非均质、多尺度的网状破裂特征;(2)储层物性特征决定破裂效果。低孔低渗地层导致破裂压力高,脆性指数高、孔隙度高的层段微地震事件密集,裂缝复杂程度高,改造体积(SRV)显著增大;反之则破裂受限;(3)破裂机制为多因素耦合机制。地质因素(脆性矿物含量、层理各向异性)与力学因素(应力差异)共同作用下形成张-剪复合破裂模式。
【目的】横波速度是表征介质的物理与力学性质的关键参数之一,在油气田开发过程中横波速度往往较少地直接测量,而是依赖岩石物理模型和经验公式进行预测,但碳酸盐岩缝洞型储层结构复杂、非均质性强,导致常规方法预测精度普遍较低。深度学习拥有者较强的数据挖掘能力和非线性映射能力,为横波速度预测提供了新的方法。【方法】本文提出了基于降维技术与储集体类型划分的长短期记忆神经网络(Long Short-Term Memory, LSTM)横波速度方法。该方法首先选取未失真的测井曲线对失真测井曲校正,通过主成分分析(Principal Components Analysis, PCA)将声波时差,密度测井以及中子测井等11个参数降维为5个主成分,结合成像测井和电性特征划分溶孔、裂缝、基岩、未充填溶洞、充填砂泥质溶洞、充填角砾溶洞六类,并采用支持向量机(Support Vector Machine, SVM)实现分类。在此基础上,构建LSTM深度学习模型进行横波速度预测。【结果】实验结果证明,本方法对缝洞储层的横波预测精度达到91%,相对于传统经验公式具备显著提升。【结论】基于PCA降维、SVM储层类型划分与LSTM深度学习模型的横波速度预测方法能够有效刻画塔河油田超深层缝洞型储层的强非均质性特征,预测结果与实测横波速度具有较高一致性,为碳酸盐岩缝洞储层的横波速度预测提供了有效途径。
【目的】塔里木盆地新元古代地层记录了Rodinia超大陆裂解过程及盆地演化历史,精确厘定其地层时代是解析Rodinia超大陆旋回时期盆地构造-沉积过程的关键。尽管前人已经针对塔里木盆地晚新元古代地层的时代开展了研究,但是塔西南盆地关键层位的沉积时代仍存在争议、物源也缺乏限定。【方法】本文通过对塔西南铁克里克地区新元古代雨塘剖面(包括青白口系苏库罗克组,南华系牙拉古孜组、波龙组、克里西组和雨塘组,以及震旦系库尔卡克组)开展了沉积分析,并对青白口系至震旦系3个关键地层单元采集5件碎屑岩样品开展碎屑物组成、锆石形貌分析和碎屑锆石U-Pb定年。【结果】结合前人地层年代成果,重新厘定了该地区晚新元古代的地层时代,结果显示:(1)青白口系苏库罗克组最大沉积年龄为739.2±8.9 Ma,沉积时代为740-720 Ma;(2)南华系牙拉古孜组最大沉积年龄725±10 Ma,波龙组、克里西组和雨塘组的沉积时代分别限定为720-700 Ma、700-660 Ma、660-645 Ma、645-635 Ma,对应于Sturtian冰期、间冰期和Marinoan冰期;(3)震旦系库尔卡克组最大沉积年龄为677.1±9.3 Ma,结合冰川消融后深水陆棚相细碎屑岩沉积,限定其沉积时代为635-585 Ma。【结论】碎屑物组成、锆石形貌和碎屑锆石U-Pb年龄结果表明,青白口纪碎屑锆石年龄呈~780 Ma和~1880 Ma的双峰值,具有塔里木与甜水海地体的混合物源供给;南华纪-震旦纪的碎屑锆石年龄呈~780 Ma的单峰值,具有塔里木陆块主导的稳定物源供给。这一物源变化揭示甜水海地体远离塔里木。根据上述结果重建了塔西南盆地构造-沉积演化过程:青白口纪受Rodinia超大陆裂解控制,塔西南发育孤立北东向裂陷;南华纪受Rodinia超大陆持续裂解和塔北缘俯冲远程效应共同作用,以及全球冰期影响,孤立的北东向裂陷逐渐连通;震旦纪塔西南继承和发展了南华纪的构造-沉积格局,经历了裂陷到坳陷的转换。
大理州弥渡县地热资源丰富,县内温泉发育,但开发利用程度较低。【目的】为了揭示县内地热水成因,为温泉开发利用提供依据。【方法】本文以弥渡县5个温泉、2个冷泉、2个地表水样及1个井水样为研究对象,采用水文地球化学方法、同位素特征分析、热储特征分析进行温泉成因推断,利用COMSOL Multiphysics软件进行典型剖面温泉水热耦合数值模拟。【结论】结果表明:研究区地热水水化学类型主要为HCO3-Na型水;补给来源为大气降水,平均补给高程2827 m,补给区位于县东部水目山与西北部笔架山附近,水样中出现了较为明显的“18O漂移”现象,表明地热水发生了一定程度的氧同位素交换;研究区地下水年龄在1067a-28313a之间,不同温泉循环滞留时间差异较大;热储温度在81-114℃之间,地热水循环深度在2387-3487 m之间。典型剖面水热耦合模拟结果显示渗流场呈现出较为明显的级次性,温度场显示降雨入渗进入地层后与岩体发生了热交换,将底部高温地层中的热量携带至浅部并在断层处出露成泉。热水成因可总结为大气降水沿含水层露头下渗,由浅部向深部渗透运移过程中通过与围岩进行热交换被逐渐加热,到达一定深度后遇到断裂并沿着断裂带向上运移,向上运移中由于表层冷水的稀释作用,水温下降,最后沿张性断裂带或断裂破碎带上升至地表,出露成泉。研究揭示了弥渡县地热水的形成原因,可为研究区温泉开发利用以及地热水资源保护提供重要依据。
深层—超深层油气具有漫长的流体演化过程和复杂的成藏机理,塔里木盆地是目前中国最典型的深层-超深层油气勘探开发领域,塔里木盆地目前仅有少数井揭示了下古生界震旦—寒武系烃源岩层和储集层,但缺乏震旦—寒武系油气从源到储过程中的流体演化同位素年代学研究,限制了塔里木盆地万米深层油气成藏机理的认识。本文分别以烃源岩和储层岩心(寒武系玉尔吐斯组和震旦系奇格布拉克组)孔缝洞充填脉体为研究对象,明确多期脉体的流体来源和成因,基于流体包裹体分析结合U-Pb同位素定年和沥青Re-Os同位素定年,阐明深层油气动态成藏过程。结果表明塔北地区寒武系玉尔吐斯组烃源岩两期方解石脉体均为热液成因且表现为深部富锶流体来源。对应的震旦系奇格布拉克组储层中发育两期白云石孔洞充填型脉体,稀土元素配分模式显示储层中两期流体都表现出成岩流体来源,其中第二期白云石脉体锶同位素表现为寒武纪同期海水来源。玉尔吐斯组源岩第一期方解石脉(466±5 Ma)与奇格布拉克组储层第一期白云石脉(460±10 Ma)均形成于中奥陶世。随埋藏加深,烃源岩于石炭纪进入生油门限,第一期原油充注发生于二叠纪(海西期),脉体内捕获的油包裹体证实了较好的源储匹配关系。烃源岩第二期方解石脉(263±69 Ma)与储层第二期白云石脉(55±15 Ma)均捕获了大量油包裹体,埋藏史分析指示该期大规模充注发生于中新世,实现了生烃与成藏在时空上的高度耦合。储层中晚于第二期白云石脉体发育大量固体残余沥青(30±14 Ma),表明震旦系油气藏在渐新世早期发生油气破坏和调整改造过程,对应于喜山期的构造抬升导致。通过对塔里木盆地深层源储的系统性同位素年代学研究和流体演化分析,为下古生界震旦—寒武系烃源岩从生烃、排烃,到储层内油气成藏以及保存过程提供了直接证据。
【目的】为解决传统人工岩体裂隙识别方法效率低、主观性强且受地势影响大的问题,实现高陡边坡等场景下裂隙的快速精确识别与特征参数提取。【方法】本文在原U-net模型的基础上结合GeoCrack公开数据构建裂隙数据集;将CBAM注意力机制和多尺度特征融合模块引入U-net模型,以适应裂隙线性不规则的特点;采用AdamW优化器与余弦退火学习率调度器,既能加快模型收敛的速度,同时也可保证训练的稳定性;通过高斯模糊、形态学开闭运算、骨架化等方法对识别图像进行预处理;利用点云数据与相机参数实现二维图像与三维点云数据的结合;利用相关计算方法,得出裂隙的相关特征参数。最后,将现场利用无人机拍摄的鸡公岩岩体图像作为实例,对上述方法进行验证。【结果】试验结果表明:改进U-net模型的PA、MPA、MIoU指标均显著高于传统FCN和原始U-net模型;在鸡公岩危岩体实例中,模型识别出的裂隙倾向(以320°和140°为主)和倾角(75°–85°)与现场测绘结果(T1:330°∠82°、T3:170°∠82°)基本吻合;三维裂隙长度、宽度计算的误差较小。【结论】本研究提供了一种可用于自动识别岩体裂隙和特征参数计算的方法。该方法不仅降低了裂隙调查的成本,又能提高裂隙识别的精度,解决了传统岩体裂隙调查存在的难题,为制定相关工程防治措施提供参考,具有较高的工程价值。
【目的】新疆地区矿产资源以石油、天然气、煤、铁等大宗矿产为主,但铝土矿资源相对匮乏,仅在天山南麓及塔里木盆地西北边缘发现少量矿点。2025年,新疆地质局区域地质调查中心在喀喇昆仑造山带叶尔羌河上游发现铝土矿,证实昆仑造山带存在工业铝土矿体,填补了区域成矿空白,拓展了新疆铝土矿找矿区域。该铝土矿与华南地区大部分铝土矿有相似之处,均发育于碳酸盐台地之上,属喀斯特型铝土矿。新疆地区碳酸盐台地沉积分布广泛,具有较好的铝土矿找矿前景,亟需对已发现的铝土矿开展研究,揭示成矿作用过程,建立成矿机理,为后续勘查工作提供科学理论依据。【方法】本次研究对叶尔羌上游铝土矿开展了沉积学、地层学、古生物、矿物学等多学科综合研究。【结果】结果表明,该套铝土矿形成于温暖湿润的热带气候条件,受区域构造演化及全球冰期-间冰期引起的多期次海平面变化共同影响。【结论】铝土矿层记录了至少一次海退-海侵过程:在海退期间形成的暴露环境促进了铝土矿的富集;随后的海侵阶段则形成了富有机质的碳质泥岩。频繁的气候和海平面变化,为铝土矿的淋滤作用提供了先决条件,促进了该地区铝土矿的淋滤成矿作用。
(目的)微塑料作为新型污染物,已广泛存在于土壤和地下水中,但其在非均质多孔介质中的迁移机制尚不清楚,制约了其环境行为预测与风险评估。(方法)本研究采用室内砂柱试验,系统研究聚苯乙烯微塑料在三种典型介质中的迁移特征:均质粗砂(粒径1.25 mm)、均质细砂(粒径0.25 mm)和同心圆非均质结构(中心粗砂、外围细砂),并设置不同pH(5、7、9)、流速(0.5、1.0 ml/min)和微塑料粒径(200、800 nm)等条件,观测其穿透行为。(结果)非均质介质显著改变了微塑料的迁移路径和滞留分布,穿透曲线呈典型双峰特征,反映出优先流(粗砂区)与滞留区(细砂区)的共存机制。迁移能力随pH和流速增加而增强,200 nm粒径的微塑料明显优于800 nm。(结论)研究揭示了非均质结构与环境因子共同影响下微塑料迁移过程的关键机制,为地下环境中微塑料污染的行为模拟与风险控制提供实验依据。
早中侏罗世时期川东地区为三角洲-湖相沉积,中下侏罗统发育了多套富有机质页岩,为了明确该区侏罗系陆相页岩油气的勘探潜力,基于钻井岩心、野外露头剖面、测录井资料、分析测试资料等的系统分析,对该区侏罗系陆相泥页岩发育特征、原生品质、可改造性等进行了综合研究。结果表明:1)川东地区中下侏罗统主要发育自流井组东岳庙段和大安寨段、凉高山组凉二段三套半深湖相暗色泥页岩;2)三套页岩的有机碳含量主要在0.5%~2%之间,有机质类型以Ⅱ型干酪根为主,有机质热演化程度主要在0.9%~1.5%;3)三套页岩储层无机孔、有机孔均见发育,具备一定的储集性能和含气性,其中东岳庙段页岩储集物性和含气性最好,其次为凉二段,大安寨段最差;4)三套页岩发育不同岩性、不同规模的隔夹层,其中凉二段页岩隔夹层主要为数毫米~数米厚的粉砂岩,东岳庙段隔夹层主要为数毫米~数十厘米的介壳灰岩,大安寨段介壳灰岩隔夹层厚度大、层数多。综合评价认为凉二段页岩厚度最大,可压性最好,且具备较好的原生品质和含气性,是最现实的勘探开发层系;东岳庙段页岩原生品质和含气性最好,但粘土矿物含量高,发育介壳灰岩隔夹层,需加强工程工艺攻关;大安寨段页岩分布局限,原生品质和可压性较差,暂不具备大规模勘探开发的条件。
泥化夹层作为岩土工程中的薄弱结构,其抗剪强度特性对边坡稳定性具有控制性作用。现有研究多独立分析界面粗糙程度或含水状态对于泥化夹层抗剪强度的影响,对二者共同作用的探索相对较少。本文以贵州省贵阳地区典型边坡的泥化夹层为研究对象,通过3D打印与混凝土浇筑技术制备了三种不同分形截距(A=0.3918、0.4059和0.4263)的基岩界面,利用KTL-IST型环剪试验系统,在天然与饱和两种含水状态以及100-400 kPa法向应力条件下进行界面剪切试验。试验结果表明:天然状态下,界面峰值强度随分形截距增大显著提升,峰值内摩擦角由35.0°增至47.7°,峰值粘聚力由72.0 kPa增至103.4 kPa;残余强度参数亦受分形截距影响,其中残余粘聚力呈非线性变化。饱和状态下界面峰值强度显著劣化,400 kPa法向应力下,对应三种分形截距的峰值强度衰减率分别为11.2%、24.3%、21.6%;且饱和后残余粘聚力与分形截距呈正相关关系,残余内摩擦角则呈现非线性变化。此外,饱和状态下剪应力-位移曲线出现规律的周期性变化,主要源于土体粗颗粒分布、颗粒级配及剪切带非均匀发展等自身性质。本研究揭示了不同分形截距与含水状态下泥化夹层-基岩界面剪切强度的变化规律,可为该类界面剪切破坏过程的深入研究提供依据。
【目的】涠西南凹陷基底潜山是南海北部湾盆地油气勘探重要靶区,但其地层年代界定模糊、岩性复杂多样、边界刻画难及分布规律不明,严重制约了潜山油气勘探。【方法】本研究整合基底已钻井岩屑、壁心、测井数据与三维地震资料,综合运用岩石学、锆石U-Pb定年、构造地质学、地球物理学等方法,系统厘定不同岩性地层的年代与地球物理特征,进而刻画岩性空间分布,构建潜山构造演化模式,揭示地层展布规律。【结果】结果表明,基底发育三类岩性:一是含?类与珊瑚化石的石炭系碳酸盐岩,形成于海西期钦防海槽扩张阶段;二是锆石U-Pb年龄460~430 Ma的早古生代花岗岩,为加里东期造山运动的岩浆响应产物;三是锆石年龄峰值为1180Ma的前寒武系副变质岩。井震结合分析显示,三类岩石速度和阻抗差异显著,碳酸盐岩地层速度最高(6000~6500m/s),花岗岩次之(5000~6000m/s),变质岩最低(4500~5200m/s)。【结论】通过地震构型及多属性综合分析刻画岩性变化边界,明确基底以断裂带为界,一号断裂带为碳酸盐岩,二号断裂带花岗岩-碳酸盐岩混杂、三号断裂带花岗岩-变质岩混杂、斜坡区花岗岩为主,形成了南北稳定、中间混杂的三类基岩平面展布特征。多期构造差异隆升剥蚀是控制潜山岩性分布的主因:加里东期隆升导致花岗岩暴露,海西期沉降控制碳酸盐岩超覆沉积,印支-燕山运动影响地层差异残留,喜山运动奠定现今基底构造格局。该成果有效指导了涠西南凹陷二号、三号断裂带花岗岩和变质岩潜山的勘探评价与突破,对同类多岩性潜山油气勘探具有重要实践意义。
为了弄清博孜3井区主力产气层系巴西改组有利储层类型与展布特征及其对产能差异的控制作用,以及两套产气层系的差异,对多口钻井开展岩心精细描述,储层微观铸体薄片、X-衍射等实验分析,划分储层类型并明确了储层厚度与气井无阻流量关系。认为巴西改组与巴什基奇克组在沉积相类型、储层类型及厚度,以及断裂(裂缝)与基质储层配置关系等方面存在差异:① 博孜3井区主力产气层系巴西改组二段发育扇三角洲前缘辫状水道砂砾岩体沉积,巴一段主要为扇三角洲前缘坝体、水下分流河道的粉细砂岩与湖泊相交互沉积。巴什基奇克组三段主要为辫状河三角洲前缘水下分流河道大面积沉积。褐色泥岩隔夹层主要在巴西改组一段发育,二段较发育,巴什基奇克组三段内褐色泥岩隔夹层不发育;② 巴西改组二段储层以孔隙型、裂缝-孔隙型储层为主;巴什基奇克组三段储层以孔隙-裂缝型为主。依据砂岩孔隙度值将储层划分为4类,其中Ⅰ类、Ⅱ类、Ⅲ类为有效储层,Ⅳ类为非储层。巴西改组二段Ⅱ类和Ⅲ类储层总厚度一般<15m;巴什基奇克组三段Ⅰ类、Ⅱ类和Ⅲ类储层总厚度为10m-26m,其有效储层厚度较大;③巴西改组二段岩性以砂岩、砂砾岩及砂泥岩互层为主,储层厚度相对薄,裂缝发育程度小于巴什基奇克组,基质储层发育程度较好;巴什基奇克组三段岩性以巨厚砂砾岩为主,储层厚度大、裂缝发育;④ 巴西改组二段各井无阻流量大小与Ⅱ类和Ⅲ类储层厚度及分布关系紧密,各气井产能既受控于裂缝发育程度,也与基质储层厚度相关;巴什基奇克组三段各气井产能主要受控于裂缝发育程度,与有效储层厚度相关性弱。由此表明,博孜3井区裂缝发育是气井高产的关键因素,有利的沉积相和有效储层厚度对高产气井也有控制作用。以上认识为该区天然气增储上产提供了重要地质依据。
摘要:【目的】致密砂岩断缝体油藏内部结构复杂,但受井资料数量和地震资料精度的影响,断缝体三维地质建模约束条件不足,难以建立高精度的三维地质模型,制约了甜点区的预测和开发部署。【方法】本文采用断缝体轮廓、内部结构带和内部结构属性3层次建模的思路,断缝体轮廓利用露头统计断缝体规模和三维地质属性联合约束,内部结构带建模引入裂缝密度波动递减函数,结合不同内部结构带的裂缝密度阀值,建立内部结构带三维地质模型。内部裂缝模型以露头和成像测井裂缝参数统计规律为依据,采用离散裂缝网络方法建模。在基质储层物性建模方面,考虑裂缝发育对基质储层物性的增加效应。【结果】结果表明:(1)鄂南地区延长组断缝体宽度一般在80~160 m之间,断缝体宽度与断距呈对数关系。(2)断缝体内部划分为破碎带、裂缝带和基质带,破碎带的规模一般在5~20 m,裂缝带规模总体在15~50 m,断缝体内部裂缝密度随与断层的距离的变化可以用波动递减函数表征。(3)不同内部结构单元裂缝参数与露头和成像测井统计一致,裂缝发育带基质孔隙度增加系数与裂缝密度呈正比。【结论】本研究提出了露头地质知识库约束下的多源资料融合建模方法,解决了少井和地震分辨率不足条件下的致密砂岩断缝体三维高精度地质建模问题,为致密砂岩断缝体油藏勘探开发提供了技术支撑。
摘要:【目的】碎屑重矿物的U-Pb年龄分布特征是判别沉积盆地构造环境的常用且有效的手段。近年来,利用碎屑锆石U-Pb年龄累计曲线特征判别沉积盆地构造环境得到了广泛应用。作为碎屑锆石的补充,碎屑金红石可以更清楚地判别汇聚环境和碰撞环境。然而,该方法使用的前提是需要准确获得地层对应的沉积时代,这正是沉积学和盆地研究的难点。【方法】通过碎屑锆石U-Pb年龄特征进行卡方分析,在不依赖盆地的沉积年龄的情况下,虽然能有效判别某些沉积盆地构造环境,但该方法在复杂碰撞环境方面的应用并不理想。本文通过研究发现无论利用碎屑锆石还是碎屑金红石U-Pb年龄特征进行卡方分析均无法有效判别盆地构造背景中的碰撞环境。【结果】因此,单一使用某一种矿物或方法无法完全准确判断沉积盆地构造环境。通过详细讨论碎屑锆石和碎屑金红石在沉积盆构造判别的应用方法的优势和局限性,本文提出综合两种碎屑矿物的U-Pb年龄特征以及卡方分析综合分析的方法。【结论】该方法能准确判别沉积盆地构造环境,特别是对碰撞过程相关沉积盆地构造背景判断的准确性可以显著提升。
【目的】针对成矿信息复杂、多源地学数据融合难题,本文以黑龙江省多宝山铜矿及其外围地区为例,利用机器学习算法开展斑岩型铜矿的预测与评价研究。【方法】综合多源地学数据,构建了包含断裂、岩体、地层缓冲区,Cu、Mo、Au地球化学异常,稳健主成分分析(RPCA)第一主成分得分(RPC1)及剩余重力异常在内的8种预测因子体系。针对已知矿点稀少的问题,采用空间邻域扩增策略进行样本扩增。在此基础上,构建随机森林(RF)预测模型,引入逻辑回归(LR)与支持向量机(SVM)作为基准模型进行性能对比,并利用SHAP算法中的TreeExplainer解释器及交互效应图,对成矿关键要素进行定量解释。【结果】实验结果表明,经过网格搜索优化的随机森林模型在测试集上的AUC值达到0.962,优于SVM(0.938)和LR(0.874),表现出最佳的泛化能力与鲁棒性。成功率曲线显示,模型预测的前10%高概率区域覆盖了88%的已知矿点,找矿效率显著。SHAP分析揭示地层缓冲区、RPC1与Cu异常是主控因子,且地层与断裂、Cu异常之间存在显著的非线性交互增强效应,定量刻画了“地层-构造-流体”协同控矿机制。【结论】本文构建了基于样本扩增与多模型对比的随机森林预测框架,有效克服了小样本建模难题。依据成功率曲线确定的概率阈值,圈定出A级(1处)、B级(4处)及C级(2处)共7个成矿远景区,预测结果与地质规律高度吻合,为多宝山外围及类似覆盖区的斑岩型铜矿勘查提供了科学依据与技术支撑。
【目的】柴达木盆地作为青藏高原东北部新生代规模最大的陆相山间盆地,其中新世所记录的连续完整的湖相沉积序列,为精准重建古环境与湖盆生态演化提供了优质载体。本研究旨在揭示中新世柴达木盆地气候-构造耦合过程对湖盆生态系统演化的控制机制,阐明气候变化与湖盆及流域生态环境演化的协同演变关系。【方法】本研究以柴达木盆地一里坪凹陷JS-2井作为研究对象,综合运用元素录井、岩石热解、饱和烃色谱分析等技术手段,从有机质类型、古气候和沉积环境角度,剖析中新世沉积期间湖盆生态环境的演化特征。【结果】研究结果表明,下油砂山组下段至上油砂山组沉积期,盆地气候呈现明显干湿波动变化,湖泊沉积环境逐渐贫氧,盐度与水体深度同步发生多次波动,有机质类型以水生植物和陆生高等植物为主。而狮子沟组沉积期,盆地气候持续干旱,湖盆萎缩,湖泊水体盐度分层,沉积环境为强还原状态,陆生有机质输入显著增强,草本植物进一步占据优势。【结论】中新世期间,构造演化、气候波动是柴达木盆地湖盆生态环境及植被群落演化的关键所在。下油砂山组下段沉积期干旱化源于全球气候变冷与东昆仑山的初次隆升阻挡了水汽的输入;下油砂山组上部沉积期由于全球变暖与冰盖阶段性的消融强化了季风携带的水汽向盆地输送,促使这一时期气候温暖湿润;上油砂山组沉积期至狮子沟组沉积期,盆地气候转为冷干,且整体呈现急剧干旱化;这一变化主要受全球变冷(南极永久冰盖形成)驱动,加之青藏高原及周缘山脉加速隆升,有效阻断了向柴达木盆地输送的水汽。气候波动通过驱动湖泊水体环境演变,调节流域生产力水平与生态空间格局,最终主导了植被群落的演替过程。
【目的】中、小型无人机即将在地质智能化应用发挥重要作用。然而机载设备运算性能低下、电量受限等瓶颈问题制约了智能模型在无人机准备上的部署和应用。针对这一问题,本研究首次将多核轻量化卷积模型ultralight_ unet应用于复杂地质环境解译任务,并探讨了前端智能中轻量化模型的地质要素解译的效果。区别于传统被动压缩式轻量化方法和现有模型的单核与弱注意力设计,ultralight_unet通过原生多内核轻量结构(MKIR/MKIRA)在极低计算代价下实现更强的多尺度地质特征提取能力。【方法】本文基于东昆仑地区Landsat-8影像,对ultralight_unet与U-Net、DeepLabv3plus等大规模模型及MobileNetV3、Fast-SCNN主流轻量化模型进行了系统对比,从参数量、浮点运算次数与解译精度三个维度分析其在无人机前端智能部署情境下的综合性能。【结果】结果表明,ultralight_unet参数量仅0.32M、浮点运算次数(FLOPs)仅0.77G,相比U-Net、DeepLabv3plus分别减少约92–466倍与10–230倍。模型解译平均像素准确率(oPA)为62.75%,平均交并比(mIoU)为40.82%,F1分数为55.68%。与SegNet相比,oPA、mIoU和F1分数分别提升4.14%、6.98%和6.92%以上。【结论】此外,ultralight_unet微小模型复杂度与计算代价低于MobileNetV3、Fast-SCNN等典型轻量化网络,并针对地质纹理弱、地物边界模糊的遥感场景优化了解译特征表达能力,为无人机地质解译提供了一种可在前端设备直接部署的轻量化解决方案。尽管与部分大规模SOTA多模态网络相比,其精度仍有提升空间,但本研究为无人机地质装备的智能化部署提供了实验依据与方法参考,也为后续针对特定任务研发更优小模型提供了展望基础。
【目的】二连盆地洪浩尔舒特凹陷白垩系火山岩勘探取得了重大进展,但目前储层成因机制,特别是针对原生气孔充填与后期溶蚀改造研究较为薄弱。【方法】本文选取研究区巴尔、海流特和努格达三个含油气构造典型钻井岩心样品,通过岩心观察、薄片鉴定、扫描电镜、电子背散射与能谱点-面扫描等测试分析手段,解剖不同构造白垩系阿尔善组三段火山岩气孔充填系列与充填机制。【结果】结果显示研究区火山岩气孔充填物主要包括方解石、白云石、绿泥石、石英及高岭石等,与裂缝充填物基本一致,主要受火山岩基质组分控制。海流特构造安山岩铁镁含量高,富钙斜长石斑晶丰富,气孔充填物以含铁白云石为主,气孔充填程度高;巴尔构造安山岩中铁镁含量高,斜长石斑晶中钙质含量低,仅在气孔边缘充填方解石,内部以绿泥石充填为主;努格达构造安山岩呈现低镁、低铁及高钾特征,气孔充填以石英和高岭石为主,充填程度低。气孔充填样式依赖于气孔与基质联通方式,可识别建立裂缝联通型、外环破坏型和不均匀充填型三种充填模式。【结论】研究区气孔安山岩储层物性受气孔充填强度、充填矿物类型与后期溶蚀改造联合控制。其中联通裂缝为溶蚀作用提供了流体通道,提升了溶蚀改造效果,在气孔火山岩储层形成中发挥了重要作用。
【目的】青藏高原中新世以来南北向裂谷的形成机制与扩展规律是当前青藏高原综合研究的核心科学问题之一,对揭示高原深部动力学过程具有重要意义。本文聚焦拉萨地体西部的隆格尔裂谷与当惹雍错–许如错裂谷,探讨裂谷南北段活动时间与深部动力学机制。【方法】采用磷灰石与锆石裂变径迹分析方法,对上述两条裂谷南端采集的花岗岩与碎屑岩样品开展低温热年代学研究,并利用HeFTy软件进行热历史模拟,重建其冷却剥露过程。【结果】样品裂变径迹年龄主要集中在12–10 Ma,热历史模拟揭示此阶段存在显著的快速冷却事件,冷却速率约为50 °C/Ma,对应的垂向抬升速率约为2 km/Ma。与北段已有热年代学数据对比分析表明,南段样品与北段裂谷活动时间基本一致,碎屑样品揭示13.7 Ma与8.0 Ma两个剥露峰,指示多期活动,未表现出裂谷自南向北或自北向南的单一扩展趋势。【结论】研究表明,南北向裂谷的启动主要受控于印度板块撕裂引发的软流圈上涌和中-下地壳流动产生的垂向浮力应力,与撕裂窗口的空间不存在明确对应关系,其形成过程反映了上地壳与下伏印度岩石圈之间耦合-解耦的构造转变,因此,建议重新审视传统的单向裂谷扩展模式。
为明确混积程度对储层孔喉的影响及其在混积砂岩储层分类中的应用,以伊拉克M油田中新统Asmari组为例,综合运用岩心、薄片、实测孔渗数据、测井曲线、地球化学数据等资料,分析了混积度对储层孔喉结构的控制作用,并建立了混积砂岩储层分类方案。研究结果表明:①混积岩类型多样,包括含砂颗粒白云岩、砂质颗粒白云岩、含白云砂岩、白云质砂 岩等,基于陆源碎屑与碳酸盐组分体积比定义了混积度,其中次要组分占比10%~25%为弱混积、25%~50%为高度混积。②混积度对孔喉结构有显著控制作用,混积对砂岩储层影响大,而对碳酸盐岩影响不明显:在砂岩储层中,云质混积度Hjy<25%时,孔隙类型以原生粒间孔配合缩颈型喉道为主,孔隙度>15%、渗透率>100mD;Hjy>25%时,孔隙结构演化为粒间孔与晶间(溶)孔混合,喉道变为缩颈型+晶间隙组合,导致孔渗大幅下降;在碳酸盐岩储层中,砂质混积度Hjs>25%时孔喉连通性降低,渗透率<10mD。 ③依据孔喉结构响应及混积度界限,将混积砂岩储层划分为I、II、III、IV四类,各类别特征差异明显。综合研究认为,混积度是控制储层非均质性的关键因素;基于混积度-孔喉结构融合的分类方案可有效预测有利储层分布,为混积砂岩储层的高效油气勘探开发提供地质依据。
【目的】微纳米分辨率尺度孔裂隙的精准识别是揭示岩石中多相介质作用机制的基础。然而,传统分割方法在复杂孔裂隙结构分割方面的精度存在明显不足,且不同方法分割结果对实际应用效果的影响仍缺乏系统性评估。【方法】本研究采用微焦点X射线计算机断层扫描(μCT)技术构建了致密砂岩纳米分辨率尺度孔裂隙数据集,并对比了灰度阈值分割、分水岭算法两种传统方法与四种基于卷积神经网络架构的深度学习方法(UNet、SegNet、DeepLabv3-ResNet50、DeepLabv3-ResNet101)在纳米分辨率尺度上岩石孔裂隙特征提取效果。【结果】结果表明,深度学习方法整体优于传统图像分割方法,特别是UNet模型在多项评价指标中表现最优,对比传统方法其交并比(IoU)和F1值分别提高18.70%和16.47%,准确率(Accuracy)达到99.03%,且三者的标准差分别为0.012、0.010和0.004,展现出较高的稳定性与鲁棒性。进一步地,在复杂的纳米尺度孔裂隙结构识别中,UNet能够有效保持细节连续性与边界完整性,展现出更强的细节提取能力。UNet分割三维重建结果孔隙率2.408%(原始孔隙率2.785%),构建的孔隙网络模型(PNM)整体连通性更强,验证了其在多尺度孔裂隙识别与结构保持方面的优势。【结论】较传统分割方法深度学习模型对微小孔裂隙分割效果与其孔隙网络拓扑高度一致,显著提升了孔隙率、孔喉及渗透特性分析精度,为微小孔裂隙精准识别与建模提供了重要依据。
【目的】地应力是隧道工程施工与设计的核心基础数据,为准确获取隧址区初始地应力场分布特征,针对鲁甸至巧家高速公路巧家特长极深隧道工程,根据隧址区原位地应力水压致裂法测试结果,分析了隧址区三维地应力场分布规律。【方法】结合数值模拟反演方法对位移边界、应力边界、混合边界及基于初始应变能理论的边界条件进行对比分析,反演效果表明基于初始应变能理论的反演方法能更好地模拟初始应力场情况。依据现有地质条件建立三维地质力学模型,运用有限元方法将得到的最优边界条件应用于隧址区整体模型的地应力反演分析,将得到的反演值与实测值进行比较,进一步验证反演方法的合理性。【结果】结果表明:现场地应力测试结果显示主应力值随埋深增加呈近似线性增长的关系,总体规律表现为最大主应力(SH)>垂直应力(SV)>最小主应力(Sh),最大主应力优势方向为NW32°,该隧址区初始应力场以水平构造应力为主;数值反演结果表明反演值与实测值较吻合,相对误差在允许范围内,反演规律跟实际应力场规律基本一致,用该方法反演获得的地应力场是合理可靠的。【结论】研究成果可为深埋隧道地应力场反演提供基础理论依据和工程参考。
【目的】针对松辽盆地青山口组页岩储层非均质性强、岩性复杂及传统评价方法精度不足的问题。【方法】本研究提出一种基于测井数据的多参数协同预测框架。通过整合改进ΔlogR法、全连接神经网络(FCNN)及经验公式优化方法,构建了总有机碳(TOC)、矿物含量与孔隙度的高效预测模型。改进的ΔlogR法通过地层分段基线校正与优化系数动态调整,解决了高成熟度页岩TOC预测的非线性映射问题;FCNN模型利用声波时差、伽马射线等6种测井参数,建立了硅质、黏土与碳酸盐矿物含量的非线性反演模型;孔隙度预测通过岩心数据标定优化了声波-密度-中子测井协同计算式。【结果】应用实例表明,改进ΔlogR法使TOC预测精度显著提升,相比传统方法相关系数 R2由0.61提升到了0.76矿物含量预测模型R2达0.77,孔隙度计算结果预测误差由12.5%降至7.3%。【结论】该研究创新性地融合地质先验知识与机器学习算法,形成了适用于小样本复杂页岩储层的一体化参数预测体系,为松辽盆地页岩油储层综合评价与开发提供了理论方法支撑。
【目的】2024年7月17日8点40分,位于秭归县归州镇贾家店村的湾水田滑坡失稳破坏,总方量约80万m3,导致1200m村级公路和60亩农林柑橘园损毁,具有极高的隐蔽性和强烈的突发性。【方法】本文通过详细的野外地质调查,无人机航拍及监测数据分析等手段,在分析湾水田滑坡运动特征的基础上,结合Geo-Studio有限元模拟软件,计算强降雨条件下滑坡内部渗流特征及坡体稳定性演变过程,进而揭示其成因机制与破坏模式。【结果】结果表明,湾水田滑坡属于高速岩质滑坡,按运动特征可分为启滑区、二次解体区、主堆积区、右侧撒落区和左侧撒落区共5个亚区。砂泥岩互层的地层岩性,槽脊相间的微地貌以及节理发育的岩体结构是湾水田滑坡发生的内在因素,滑前17d累计降雨量达253.8mm的两轮持续强降雨是主要外因。持续强降雨引起坡体内部孔隙水压力持续上升,显著降低坡体稳定性。历经两轮强降雨,滑体与滑带岩土体孔隙水压力大幅增加,最高孔压达75.4kPa,孔压最大增量达303.9kPa。孔隙水压力的突增最终引发滑坡失稳破坏。湾水田滑坡由于岩层倾向方向滑动受阻,坡体沿临空面滑动,主滑方向10°与岩层倾向282°形成88°的夹角,为近岩层走向滑动的特殊破坏模式,显著区别于顺层滑坡的失稳机制,具有高度的隐蔽性、强烈的突发性。【结论】研究成果对我国山区存在类似条件的灾害隐患点的防灾减灾工作具有重要意义。
【目的】第四系地层具有多沉积旋回和多重夹层的复杂特征,这对三维地质建模技术提出了特殊要求。当前,第四系三维地质建模在处理复杂地层结构时面临诸多挑战,突出表现在地层连续性和连接顺序的准确性方面存在显著局限。本文针对第四系地层结构的无序性与多夹层特性提出了一种改进的第四系三维地质建模方法。【方法】该方法首先以钻孔数据为驱动识别并自动识别处理地层中的透镜体,进而消除建模过程中的局部地层不连续性干扰。基于地质学家的先验知识,建立"大层-亚层"分级体系,优先处理贯穿度大的地层,进行地层层序的统一。最后采用薄板样条插值算法完成三维地质模型网格的构建。【结果】以北京中关村地区102个工程钻孔为研究对象开展实证分析,结果表明:从本方法构建模型切割的剖面与人工连接的剖面图地层连接保持高度一致性,能够精准识别出地层中包含的所有透镜体,有效减少了由于松散地层导致不合理的地层连接顺序。【结论】该方法准确识别出透镜体,显著提升了第四系三维地质建模精度,为城市地下空间数字化、地质灾害智能预警等工程实践提供了可靠的地质模型支撑,具有重要的工程应用价值与推广前景。
【目的】随着氢能利用的需求加剧,地质储氢(UHS)是近年来备受关注的课题。UHS高温高压条件下H2在水中的扩散系数对于定量刻画H2在储层孔隙空间中的运移行为和估算H2透过盖层的损失量至关重要。然而,以往的研究多集中于室温常压下H2在水中的扩散。【方法】本研究基于显微激光拉曼光谱技术,在透明高压石英毛细管中原位定量观测H2在水溶液中的溶解扩散过程,实测了10~30MPa、298.15~393.15K条件下H2在水中的扩散系数。【结果】结果显示,随着温度的上升,H2在水中的扩散系数呈现增大趋势,当压力为20MPa,温度从298.15K升高到363.15K时,扩散系数增幅约达211%;H2在水中的扩散系数与温度的关系可以通过Speedy-Angell幂律方程进行拟合,拟合公式为:D=23.572?10-9?[(T/213.54)-1]2.021。H2在水中的扩散系数受压力的影响较小,随着压力的增大总体呈现略微下降趋势,当温度为363.15K,压力从10MPa增加到30MPa时,扩散系数降幅约为4.8%。通过实测的扩散系数结合有效扩散系数的经验公式估算了H2透过盖层的泄漏量,发现随着盖层厚度的增加,H2泄漏量逐渐减小,扩散速度明显下降,H2扩散到储层外所需时间延长。【结论】因此,在实际UHS项目中应优选低温较厚盖层的深层地质构造。该研究为UHS中定量刻画H2的运移规律及扩散通量提供了重要的参数,同时为UHS方案的设计与优化提供了参考依据。
【目的】利用二氧化碳促进油气开采,有望产生很好的经济效益,但目前对高温高压条件下二氧化碳-水-油-岩石相互作用机制的认识还非常有限,需要开展高温高压状态下的气水油多相流共存下的接触角随温度、压力变化趋势的深入研究。【方法】利用可视化接触角测量实验装置,测量气液平衡条件下石英毛细管中CO2-水-十六烷在不同温压下的接触角。【结果】结果表明:在石英毛细管中,CO2-水接触角随温度上升略微增加,而水-十六烷接触角随温度上升显著降低。接触角对压力变化的敏感性较低,CO2-水接触角随压力增加而增大,水-十六烷接触角随压力增加而减小,但变化幅度均较小。此外,引入气体能够改变水和十六烷的界面张力,增大接触角,有效调节系统的润湿性。【结论】在CO2-EOR背景下,高温条件下的石英壁面比低温条件更倾向于水湿。将温度升高至120~150℃或更高时,石英壁面可从油润湿完全转变为水润湿,这有助于油相在孔隙中间流动而显著促进油气开采。
塔里木盆地作为典型的“冷盆”,其低地温场特征对油气成藏与深层—超深层油气资源勘探具有关键控制作用。本文系统梳理了盆地低地温场的时空分布规律,平面上呈现“隆起区高、坳陷区低”,现今平均地温梯度18~21 ℃/km,大地热流35~45 mW/m2;垂向上,深部碳酸盐岩段地温梯度(~14 ℃/km)远低于浅部碎屑岩段地温梯度(~22 ℃/km);地史时期,盆地受晚古生代岩浆活动影响,地温梯度短暂回升,中生代以来持续下降至现今20 ℃/km左右。盆地低地温场受岩石圈热结构—深部动力学—沉积盖层多因素耦合控制,“冷幔冷壳”的岩石圈热结构是根本原因;盆地自二叠纪岩浆活动衰退后岩石圈长期冷却及新生代构造挤压导致的热流扩散受阻,加剧了盆地低温背景;新生代以来盆地巨厚沉积盖层形成热屏蔽,进一步抑制浅部地温升高。盆地不同构造单元的地温差异受控于基底埋深、构造活动强度与沉积充填的分异。盆地深层—超深层的低地温场和高压体系延长了烃源岩生烃窗,盆地9000 m仍有液态烃存在。本文通过系统梳理前人对盆地低地温场的研究,阐明了低地温场的形成与分异机制,为塔里木盆地深层—超深层的油气勘探提供了地热学依据。
【意义】岩石突破压力和破裂压力对油气运移、聚集和成藏具有重要的控制作用,决定了油气藏的形成和分布。【分析】本文探讨了岩石突破压力和破裂压力的测试方法、不同岩石突破压力和破裂压力的差异、岩石突破压力和破裂压力对油气运移聚集方式的影响。【结论】研究结果表明:(1)不同岩石的突破压力和破裂压力差异显著,砂岩(常规储层)的突破压力远低于破裂压力,粉砂岩(致密储层)的突破压力和破裂压力关系复杂,泥页岩的突破压力通常高于破裂压力。(2)源储剩余压力、岩石突破压力和破裂压力的相对大小影响油气运移和聚集,剩余压力小于突破压力和破裂压力时油气难以运移,剩余压力大于突破压力、小于破裂压力时通过孔隙稳定渗流,剩余压力大于破裂压力、小于突破压力时沿裂缝快速运移。(3)盆地中油气运移聚集可分为稳态连续与非稳态幕式两类,前者为通过孔隙和裂缝稳定渗流聚集,后者则在超压条件下通过诱发水力裂缝实现快速运移成藏。研究结果对认识常规和非常规油气运移方式、成藏过程和富集模式具有重要的意义。
【目的】页岩气开采过程中可能产生多环芳烃(PAHs),并释放到环境中,对环境和人体健康造成威胁。我国最大的页岩气开采区位于重庆涪陵岩溶区,其产生的PAHs可能会对岩溶地下水系统造成影响。【方法】为探明页岩气开采区PAHs在岩溶地下水系统中的迁移特征,本研究以涪陵页岩气开采典型场地为研究对象,分析了区域内土壤、泉水、地表水及对应沉积物中PAHs的含量、空间分布和组成特征,并对其潜在的来源进行了解析。【结果】结果表明:水体中16种优控PAHs(Σ16PAHs)的含量范围为17.3-57.4 ng/L,土壤中Σ16PAHs的含量范围在16.1-162 ng/g,沉积物中Σ16PAHs的含量范围在35.3-962 ng/g;白水河的南部支流泉水和西部支流泉水中Σ16PAHs的含量范围分别为20.3-57.4 ng/L和18.4-34.4 ng/L,页岩气场地在运行过程中会对南部支流泉水造成影响,但影响范围有限,不会对更远的下游白水河水体造成明显影响。组成分析表明,水体中低分子量PAHs(LMW-PAHs)的占比为59-82%;沉积物与土壤中LMW-PAHs的占比为15%-42%。源解析结果显示,对研究区内PAHs贡献最大的是石油类污染源(37.3%),其次为煤炭与生物质燃烧源(31.9%)和交通排放源(30.8%)。多元线性回归(MLR)分析的结果显示,南部支流泉水(p < 0.01)和西部支流泉水(p < 0.01)分别贡献了白水河水体中41.9%和29.0%的PAHs,土壤(p < 0.01)贡献了沉积物中38.9%的PAHs:表明PAHs会在地下水系统的影响下迁移至下游水体,也可能通过地表或地下迁移途径从土壤迁移至泉沉积物。【结论】本研究刻画了受页岩气开采的影响区岩溶地下水中PAHs的迁移过程,对页岩气开采区的岩溶地下水资源和环境保护具有重要意义。
【目的】通过优化矿浆质量浓度、絮凝剂单耗和搅拌速率等参数,提高絮凝沉降性能,解决超细尾矿在土工管袋充灌过程中存在的沉降速度慢、脱水效率低等问题,从而提高尾矿脱水后的力学强度和堆存稳定性。【方法】通过量筒沉降试验,引入“絮凝效率”作为核心评价指标,采用单因素分析法研究矿浆质量浓度、絮凝剂单耗和搅拌速率对絮凝效果的影响;基于Box-Behnken设计(BBD)进行三因素三水平响应曲面试验,利用Design-Expert软件建立絮凝效率与各因素之间的定量模型,分析多因素交互作用及其机理。【结果】单因素试验表明,矿浆质量浓度为4%-8%、絮凝剂单耗为0.5-1.5mL、搅拌速率为300-500r/min时絮凝效率较高;响应曲面设计优化模型的方差分析结果显示,各因素对絮凝效率的影响显著性依次为:搅拌速率平方>矿浆质量浓度平方>絮凝剂单耗>矿浆质量浓度与絮凝剂单耗>矿浆质量浓度>絮凝剂单耗平方>搅拌速率>絮凝剂单耗与搅拌速率>矿浆质量浓度与搅拌速率。最优参数组合为矿浆质量浓度5.45%、絮凝剂单耗0.5mL、搅拌速率415r/min,此时絮凝效率预测值为8.086%/ppm,实测值与预测误差小于5%。【结论】建立的絮凝效率模型能有效预测超细尾矿絮凝沉降性能,响应曲面法可揭示多因素交互作用机制,优化参数组合显著提升絮凝效率,为土工管袋脱水工艺提供理论依据和技术支持。
【目的】磷的来源及含量是决定地表水体富营养化发生的关键因素,精准识别不同季节磷污染源的贡献占比,是实现磷污染差异化管控的重要基础。【方法】本研究以典型城市湖泊汤逊湖为研究区,综合采用野外观测、磷酸盐氧同位素组成分析及MixSIAR模型模拟方法,精准解析不同季节磷污染来源及其对湖水溶解性无机磷(DIP)的贡献比例。【结果】结果显示,丰水期城市雨洪污水对湖水DIP贡献最大,占比为35.8%,其次是生活污水(18.9%)和鱼塘水(15.9%);枯水期城市雨洪污水对湖水DIP贡献量为30.7%,生活污水为21.4%,鱼塘水为18.7%。整体来看,城市雨洪污水对湖水DIP的贡献占比最大,但存在显著季节性差异,该差异主要由夏季降水偏多耦合较强的微生物降解作用共同导致。若干未知磷源共同构成了稳定贡献体系,最终导致未知来源对湖水DIP的贡献未表现出明显的季节性差异。【结论】本研究明确了典型复合污染城市湖泊水体磷来源的季节性贡献特征,为同类型湖泊的磷污染精准溯源与针对性管控提供了科学依据和技术借鉴。
【目的】针对单一传感器成像受物理条件与系统设计限制,往往难以同时兼顾高空间分辨率与高光谱分辨率的问题,本文围绕高光谱图像与多光谱图像融合任务,提出一种局部–全局协同的多尺度特征增强融合方法。该方法旨在充分挖掘不同模态图像在空间结构与光谱信息上的互补优势,在有效保持光谱一致性的同时显著提升空间细节表达能力。【方法】整体框架由特征提取、特征融合、特征增强和图像重建四个模块协同构成。首先,特征提取模块分别对高光谱图像与多光谱图像进行多层次编码,获得初始的光谱与空间特征表示;随后,特征融合模块在统一特征空间内对多源特征进行交互与对齐,为后续增强提供基础。在此之上,构建局部–全局特征增强模块,其中局部特征增强子模块通过多种卷积块与多尺度感受野设计,重点强化纹理、边缘等细粒度空间细节;全局特征增强子模块则引入光谱–空间融合的Transformer结构,并结合多尺度卷积操作,以建模长程依赖关系并提升全局上下文与光谱一致性表达能力。最后,图像重建模块将增强后的融合特征映射回图像空间,生成高质量的融合结果。【结论】在多个公开数据集上的定量与定性实验结果表明,所提出的方法在空间细节保持、光谱保真度以及综合评价指标方面均优于现有主流融合方法,展现出良好的鲁棒性与应用潜力。
【目的】为探究高压电脉冲作用下岩体裂缝扩展机制,【方法】以断裂力学与损伤力学为理论基础,运用相场法,借助数值模拟软件,研究了高压电脉冲作用下岩体初始裂缝的演化规律,并定量分析了岩体裂缝长度的增量变化以及岩体内部的损伤演化态势。【结果】研究结果表明,岩体损伤情况和冲击波强度及其变化速率紧密相关。冲击波强度越大、变化速率越快,裂缝的扩展速度越快,岩石的受损范围和程度也随之加剧。电脉冲破岩系统的破岩效能与放电电压和储能电容呈正相关性,与等离子体通道长度呈负相关性,与回路电感相关性不强。高压电脉冲破岩作用点因受扰动而产生的位移与冲击波压力波形具有相似性,并由于岩体复杂的结构及塑性变形的特性,岩体内部位移的增长相较于冲击波的传播和压力的变化会表现出一定的滞后性。【结论】研究结果为高压电脉冲破岩中裂缝增长量与岩体损伤量的表征提供新视角,助力工程破岩设备参数的合理调整。
[目的]河南省登封市南部地区地处嵩山山脉与黄河中下游平原的过渡地带,滑坡灾害频发,对区域安全构成严重威胁。[方法]本研究综合运用光学遥感与小基线集合成孔径雷达干涉测量(SBAS-InSAR)技术,开展滑坡隐患的早期识别,并基于信息量模型与机器学习方法(人工神经网络、随机森林及Stacking集成策略)进行易发性评价。[结果]结果表明:(1)通过光学遥感解译与SBAS-InSAR形变监测,共识别滑坡隐患点36处,结合野外验证确认其中31处为滑坡灾害,主要分布于中部、西南及东南区域,其空间分布与地形坡度、岩性软弱层及人类工程活动显著相关;(2)易发性评价显示,研究区呈现“北低南高”的分布特征,Stacking集成模型预测精度最优,显著优于单一模型及传统信息量模型。[结论]本研究为登封南部地区滑坡风险防控提供了高精度数据支持,同时证明集成学习方法在复杂地形区易发性评价中的显著优势。
摘要:【目的】为了探究不同时间尺度水位(时刻及日、月、年平均)对区域浅层地下水年度储变量计算精度的影响,【方法】以2019年邯郸平原浅层地下水为研究对象,分别采用网格法和泰森多边形法,对比各尺度水位计算储变量的差异。【结果】结果表明:对于相同时间尺度水位,网格法和泰森多边形法计算的储变量结果均比较接近(最大相差0.114亿m3);对于不同时间尺度水位,两种方法均表现为月平均水位与时刻水位(理论上计算精度更高)计算结果偏离程度最大(网格法相差0.727亿m3,泰森多边形法相差0.611亿m3),而且偏离程度随机;年平均水位与时刻水位计算结果差距较小(相差0.015亿m3),但接近程度也存在随机性。对于网格法,采用年平均水位计算的储变量受网格尺度影响不大(最大相差0.011亿m3);当采用其它尺度水位时,网格法计算储变量的精度会随着剖分网格尺度的减小而提升。当网格尺度小于1km分辨率时,网格法计算精度高于泰森多边形法;但当采用泰森多边形分区网格或规则剖分网格尺度接近于泰森多边形分区平均面积情况下,泰森多边形法计算精度更高。【结论】研究结果可为合理使用不同时间尺度水位数据,以提高储变量计算精度,进而准确评价超采治理效果提供理论和方法支撑。
【目的】青海省祁漫塔格地区位于柴达木盆地南缘,是东昆仑成矿带的重要组成部分,该地区以广泛发育的晚古生代-中生代岩浆活动和丰富的铁、铜、钴、铅、锌等多金属矿床为特征。野马泉铁多金属矿床是祁漫塔格地区矽卡岩型成矿作用的典型代表,长期以来大量研究均围绕中生代花岗岩-矽卡岩成岩成矿作用开展并取得了丰硕成果,然而,对于野马泉矿床是否存在多期成岩成矿作用尚不明确。【方法】本文基于详细的野外地质调查,通过岩石岩相学观察、锆石、石榴子石LA-ICP-MS U-Pb定年、侵入岩全岩主微量元素分析以及锆石Hf同位素测试,揭示了野马泉铁多金属矿床存在两期岩浆侵入和成矿作用。【结果】矿区西南部地表多种侵入岩的锆石年龄集中在224 Ma左右,这与前人的热液云母Ar-Ar年龄基本一致,表明矿区存在晚三叠世岩浆与成矿活动;东南部M13异常区内钻孔深部花岗闪长岩的锆石年龄为395 Ma,与本次发现的矽卡岩中石榴子石U-Pb年龄(407Ma)在误差范围内近似相同,揭示了早泥盆世岩浆活动和铁多金属成矿作用。全岩地球化学和锆石Hf同位素分析表明,野马泉早泥盆世和晚三叠世岩体均具有壳幔混源的特征。岩石圈地幔发生部分熔融,并且在上升过程中受到地壳物质的同化混染作用,导致了早泥盆世和晚三叠世岩体的形成。但两期岩浆活动受控于不同的大地构造背景:早泥盆世岩体形成于古生代原特提斯洋俯冲闭合后的柴达木板块和东昆中陆块碰撞造山后的伸展阶段;而晚三叠世岩体则与中生代古特提斯洋俯冲闭合后的板块内伸展阶段密切相关。 【结论】综合现有数据和前人研究,本研究认为野马泉铁多金属矿床早-中泥盆世和晚三叠世的两期岩
摘要:致密储层的微观孔喉、渗流特征以及影响因素研究对于致密油气藏的高效开发具有重要的理论参考意义。本文以鄂尔多斯盆地富县地区长8油层组致密储层为研究对象,基于CT扫描建立三维数字岩心以及三维孔隙模型,将孔隙模型转换为网格模型接入渗流模拟平台,进一步进行单相及油水双相渗流驱替模拟,探讨了微观孔喉特征和驱替参数对驱替渗流能力的影响。研究结果表明:1)渗流流速与压力差在喉道处最大,形成高流速和应力集中区,在孔隙区域变化较小;具有孔大喉小和强非均质性孔喉特征的模型,其渗流驱替特征更复杂,并且达到相同剩余油饱和度需要更大的驱动压力;2)细小喉道以及复杂孔喉结构形成的应力集中区,会导致驱替止步和封堵,喉道参数和非均质性影响渗流驱替进程和波及范围,连通孔隙参数影响可驱动空间的大小,进而影响驱替效率;3)除主流外,半径小于8μm喉道占比较高时,提升驱动压力对提高驱替效率有显著影响,而较大喉道占比较高时影响较小;除主流外,半径大于18μm孔隙占比较高时,降低粘度比对驱替效率有提高作用,而较小孔隙占比较高时则会导致驱替效率降低。本文研究了微观孔喉特征和驱替参数对渗流驱替能力的联合影响,为致密油藏的微观渗流及高效驱替开发研究提供了新思路和理论参考。
摘要:【目的】滑坡作为全国分布广泛的地质灾害之一,其分布范围已经涉及到西部地区,青海地区地貌单元复杂,山脉成群,为滑坡的产生提供良好的地质条件。深入研究该区域典型滑坡的成因机制与影响因素可以为滑坡治理与灾害预测提供有效的理论支撑,减轻人员伤亡和经济损失。【方法】本文以青海省乐都区瞿昙镇韩家村堆积层滑坡群作为研究对象,基于野外勘察与监测数据,对该滑坡群的宏观变形特征与成因机制进行分析,采用小波分析方法研究了降雨、温度与滑坡变形时序之间的相关性。选择温度和降雨等作为自变量因子,针对基于线性回归集成模型中的各模型预测的位移数据采用加权求和法,获得了该滑坡GNSS2监测点的位移预测值。【结果】结果表明,韩家村滑坡群平均年变形量为8.5mm,属于蠕变滑坡,受温度和降雨影响呈现阶跃型变形特征,采用多元线性回归集成模型预测的韩家村滑坡群变形拟合优度为0.990,较精确地预测了该滑坡群的位移变形。【结论】此外,降雨与累积位移变形呈正相关趋势,即夏季集中降雨期间滑坡位移突增,雨季后则又趋于稳定,且位移具有滞后性;温度与累积位移呈负相关趋势,即冬季因温度下降产生冻胀作用,导致坡体内土颗粒之间的孔隙水结冰膨胀,滑坡变形量增加,春季因融沉作用导致堆积层出现回弹现象。 关键词:堆积层滑坡;影响因素;小波分析;滑坡预测模型;多元线性回归
为了明确川东北须家河组天然气的来源和运移特征,支撑致密砂岩气高效勘探。在对川东北构造、断层和沉积认识的基础上,综合利用天然气组分和稳定碳、氢同位素等数据,开展天然气地球化学特征、成因和来源分析;进而结合地层压力等数据,开展纵、横向运移特征研究。结果表明,元坝须三、须四段和阆中、巴中须四段天然气基本上为煤型气,来自须家河组煤系烃源岩。元坝须二段部分天然气为煤型气和油型气的混合气,来源于须家河组和雷口坡组两套烃源岩。通南巴背斜和通江凹陷须二、须四段天然气为吴家坪组烃源岩生成的油型气和自身煤型气的混合气,由于须家河组供烃量不同,不同层段碳同位素呈规律性变化。横向上天然气没有发生远距离运移,垂向上存在两类运移模式:①当须家河组断层欠发育、须三段泥岩厚度大时,天然气未发生长距离垂向运移。②当断层发育时,高渗的断缝体成为天然气长距离垂向运移的通道,促成了上、下层段中天然气的混合,表现为相似的天然气组分和地层压力特征。
【目的】盐渍土具有溶陷、盐胀、腐蚀等特殊工程性质,给工程建设带来严重危害。寻找一种经济有效的固化方法,提高盐渍土在工程中的适用性,具有重要的科学和实践意义。【方法】本文首先对离子固化剂(ISS)、石灰和粉煤灰联合固化的盐渍土试样开展了一系列室内直剪试验,探讨其宏观力学演化规律。同时,通过建立固化盐渍土的离散元分析模型,从细观角度探究了剪切过程中离子剂-二灰固化盐渍土颗粒移动和力链演化规律,对剪切过程中试样内部颗粒接触模型的变化进行定量监测。【结果】结果表明加入离子剂能显著提升石灰-粉煤灰固化盐渍土的力学性能,试样均表现出了明显的脆性破坏特征,固化土的强度在ISS浓度为6%时达到峰值,继续添加ISS则会导致固化土强度下降。【结论】ISS能有效提升经无机材料固化后盐渍土的强度,ISS对固化盐渍土强度的影响与土颗粒表面水膜厚度变化以及反应生成物的覆盖程度相关。模拟结果显示损伤曲线分为平稳发展-指数增长-趋于稳定三个阶段,提出了考虑胶结破坏的细观损伤因子表达式,并揭示了加载过程中损伤演化规律。
【目的】地下水流动过程中会与围岩产生热量交换,进而改变地温场分布,有必要对此进行深入的研究。【方法】本文以山西地堑运城断陷盆地为例,采用有限元数值模拟方法,重点对比单一热传导和热传导-热对流复合模式,研究地下水流动对深部温度场的控制作用。【结果】结果表明:当热传导和热对流模式共同存在,单一重力驱动作用下,地下水流动可通过高渗透性地层和断裂带显著影响纯热传导模式下的深部温度场。如果考虑到温度差异引起的浮力叠加作用,高渗透性深大断裂带及其附近的地下水流速和流向会发生变化,深部地温场也将明显改变。特别是峨眉地台南北缘断裂以及中条山断裂深部,由于地下水流动产生局部温度正异常。通过将收集的钻孔测温曲线与模拟结果对比,运城盆地的热量传递机制更倾向于热传导-热对流复合模式。【结论】本次研究揭示了地下水流动对运城断陷盆地地温场分布的影响和控制作用,可为该区域地热资源勘查和预测提供一定依据。
【目的】准噶尔盆地南缘吉木萨尔地区中低阶煤煤层气资源丰富,表现出明显的生物成因气特征。截止目前,吉木萨尔地区是否存在生物成因气的活跃补给并不明确,制约了该区煤层气资源潜力评价与下一步勘探部署。【方法】本文以吉木萨尔地区煤层气开发井产出水样与相邻煤层气参数井煤样为研究对象,以实际煤储层介质环境为约束条件,构建了近似原位条件下厌氧发酵产气模拟装置,基于不同阶段的产气特征、煤样孔容孔径变化、微生物群落结构演化及基因功能特征的对比分析,探讨了吉木萨尔地区本源菌群产气潜力与代谢机理。【结果】吉木萨尔地区本源菌群在现今条件下具有产生生物气的潜力,实验中CH4累计产气量为9.49×10-2 ml/g。由宏基因组测序可知,吉木萨尔地区本源菌群中水解菌的丰度高,典型的产酸菌和产氢产乙酸菌相对较少,产甲烷古菌主要为Methanosarcina。但是,系统中多数的水解菌可直接将煤中大分子降解为乙酸、氢气和二氧化碳等可供产甲烷菌利用的底物。【结论】厌氧发酵初期,Aliarcobacter快速繁殖并抑制Pseudomonas等水解菌,碳水化合物代谢等基因功能丰度降低,水解过程受限,无法为产甲烷菌提供足够的底物,产甲烷菌Methanosarcina的丰度降低,阶段产甲烷量减少;随后Aliarcobacter丰度降低,水解菌代谢活动重新活跃,碳水化合物代谢等基因功能丰度升高,系统内可供产甲烷菌利用的底物富集,产甲烷菌Methanosarcina的丰度升高,阶段产甲烷量也同步升高。研究成果可为中低阶煤层气资源评价、勘探方案制定、煤层气生物工程的顺利实施提供理论依据。
【目的】红黏土地区由于地下管道破裂引发的地面塌陷问题日益突出,对日常生活安全和经济财产造成了严重威胁。【方法】本文旨在通过半结构物理模型试验,揭示不同管道流量条件下红黏土地区地面塌陷的变形破坏模式。试验采用高速相机、土压力传感器、孔隙水压力传感器和激光位移计等设备,对土体的宏观变形破坏、湿润锋运移过程、内部土压力与孔隙水压力变化以及地表位移演变规律等进行监测。【结果】研究结果表明,在相同的管道破裂条件下,随着管道流量的减小,渗漏水流对土体的侵蚀能力逐渐减弱,致使湿润锋的运移机制发生改变,侵蚀速率显著降低。同时,流量减小还会引起土洞发育方向由水平转向竖直,土洞尺寸相应减小,发生塌陷所需的临界覆盖层厚度也随之降低。此外,管道渗漏最终诱发的地面塌陷模式保持一致,均为渗漏水流顶破覆盖层所致。【结论】本文通过揭示红黏土特殊地质条件下地下管道破裂渗漏致塌模式,为城市地下管道的全生命周期安全监控、地面塌陷风险预警体系构建及工程防治方案设计提供了理论支持。
摘要:[目的]甘肃省舟曲县牙豁口滑坡是白龙江流域发育的大型滑坡,2019年发生的大规模滑动造成了严重的经济损失。由于该滑坡失稳机制不清,相应地制约了灾害治理效果。[方法]采用无人机航测、现场精细调查、室内环剪试验和数值模拟等方法,开展了滑坡变形破坏特征、不同含水率滑带土的强度弱化特征及滑坡失稳机制研究。[结果] 1)牙豁口滑坡目前处于蠕滑状态,后缘变形破坏强烈,出露了泥化碳质板岩滑带土,黏粒含量约26.4%,亲水性黏土矿物占比约52%,具较强的水敏性;2)在长距离剪切作用下,滑带土呈现明显的应变软化特征,最大软化比为57.2%;含水率由9%增至18%时强度弱化45.49%,剪切面相对起伏度均方根Z2降幅达0.24,电镜扫描下可见黏土矿物呈面面重叠状的定向排列;3)数值模拟表明,天然状态下牙豁口滑坡处于基本稳定状态,饱水条件下滑坡变形显著增大;有裂缝与无裂缝坡体相比,前者在降雨入渗导致滑带土饱和的时间比后者时间明显降低。[结论]牙豁口滑坡整体呈“前拉-后推”的变形破坏模式,泥化碳质板岩滑带土的水敏性对其稳定性具有控制作用,持续性降雨是失稳的重要诱发因素,坡体发育的贯通性裂缝显著加速了降雨入渗与滑带强度弱化过程。据此提出了该类滑坡的防范建议,对国内外同类滑坡灾害防治具有一定的指导意义。
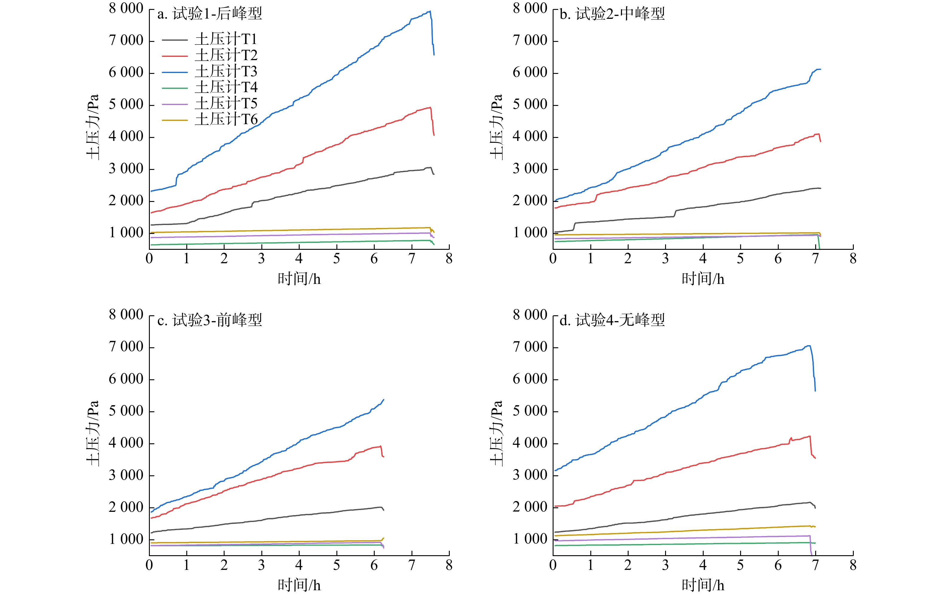
摘要:鄂西山区堆积层滑坡分布广、规模大,其变形规律与降雨时空分布特征密切相关。【目的】为了揭示堆积层边坡变形特征及其演化过程对降雨模式的响应规律,确定滑坡稳定性对各因素的敏感程度。【方法】本文选取十堰市典型堆积层滑坡——麻池村1号滑坡为例,采用物理模型试验探究前锋、中锋、平锋和后锋四种雨型作用下滑坡的演化过程。采用正交试验和方差分析,辨识影响滑坡稳定性的主控因素。【结果及结论】研究结果表明:(1)四种降雨雨型对滑体土孔隙水压力的影响主要体现在孔隙水压力峰值出现时间随雨峰位置的变化,雨峰越靠前,峰值出现的时间越早。其次,后峰型降雨所导致的滑坡破坏区域相对较大,致灾效应较强。(2)在各种类型降雨条件下,边坡模型主要从中部开始变形,先发生蠕变,再到阶跃式变形直至边坡完全破坏。(3)正交试验方差分析表明,影响麻池村1号滑坡整体稳定性的敏感因素由大到小依次为:内摩擦角φ >粘聚力c >累计降雨量T >渗透系数Ks >滑带土容重γ >降雨雨型Q。滑带土的粘聚力c与内摩擦角φ是评估滑坡稳定性的关键抗剪强度参数。(4)对于滑坡前缘局部来说,渗透系数Ks是影响稳定性的一个重要因素,而对滑坡整体而言,累计降雨量T更关键。
摘要:【目的】针对传统成矿预测模型在复杂地质条件下多源数据融合能力不足的局限,提出一种基于集成学习框架的成矿预测方法。【方法】方法采用两层堆叠(Stacking)集成策略,基学习器层集成了随机森林(Random Forest)、极端梯度提升(XGBoost)和类别提升(CatBoost)三种算法,元学习器层选用逻辑回归算法整合基学习器输出。同时,构建基于模型重要性评分的特征筛选机制,定量分析变量对非线性模型的影响,为地质要素优选提供依据。以鲁西苗山-新泰地区铁金多金属矽卡岩型矿床为例,整合地质、地球物理、地球化学多源数据,筛选17个评价因子开展预测。【结果】结果表明:集成模型在准确率、精确率、F1值及 AUC值等4个指标上显著优于单一模型,集成模型的成矿概率预测结果与已知矿床空间分布吻合度高。三类基学习器的特征识别具有互补性,集成学习机制实现了地质特征的多维度表征增强。【结论】结合模型预测与成矿地质背景分析,在鲁西苗山-新泰地区优选三个找矿靶区,为后续勘查工作指明方向。特征筛选评分器的设计,具有重要的方法学推广价值。多源数据融合与异质模型协同优化的方法显著提升了预测可靠性,可以为新一轮找矿突破战略行动提供新的技术支持。
【目的】针对台风暴雨诱发花岗岩地区群发性滑坡灾害防控难题,本文以广西北流市为研究区,通过台风暴雨事件中降雨时空分布特征及其诱发滑坡机制分析,量化降雨峰度-偏度-峰值位置系数,将台风暴雨分为后峰型、前峰型及集中型三类。【方法】通过构建基于TRIGRS-Scoops 3D耦合模型的暴雨条件下区域斜坡稳定性评价方法,以2023年"6.26"降雨事件为例,进行了应用验证。【结果】结果表明,研究区超50%范围在降雨条件下发生稳定性劣化,其中极不稳定区占比5.73%,高风险区域集中分布于北部、东部及西南部陡坡地貌单元。暴雨诱发的滑坡点均位于基于稳定性评价结果划分的预警区域范围内。【结论】表明基于"降雨模式识别-稳定性量化评估-风险区域动态圈定"的台风暴雨型浅层滑坡预警方法,具有较高可靠性与适用性,研究成果对完善台风区滑坡灾害应急管理体系具有重要参考价值。
【目的】危岩稳定性系数是崩塌灾害评估的核心指标。传统二维剖面模型因忽略三维形态特征与多裂隙协同作用,易导致稳定性系数计算较大误差。【方法】本研究基于极限平衡理论,构建了后缘含陡倾裂隙的滑移式危岩三维稳定性计算模型,提出多裂隙水压力矢量合成方法及滑面浮托力算法。并以重庆市涪陵区大闸口危岩为例开展了应用,对比分析三维与二维模型的计算差异。【结果】结果表明:三维模型可精确表征危岩不规则形态及多裂隙水力耦合效应,暴雨工况下双裂隙充水时稳定系数较二维模型降低5.5%;数值模拟验证显示三维极限平衡法与强度折减法结果偏差约为0.4%。【结论】研究表明,危岩形态对稳定性影响显著,除规则立方体外,多数情形需采用三维分析方法以确保评估精度。
堆积体是典型的宽级配土体,渗流作用下易发生细颗粒流失的内侵蚀现象,预测侵蚀量对工程安全至关重要。针对已有侵蚀量预测模型未考虑应力状态影响的问题,本文基于渗流-侵蚀-应力理论构建了堆积体的内侵蚀耦合控制方程与数值方法,采用三轴侵蚀剪切实验数据验证了方法的可靠性与准确性,基于渗流-侵蚀-应力耦合的内侵蚀数值模拟数据,以体积应变、含石率、平均流速和时间为输入参数,建立了考虑渗流-侵蚀-应力耦合效应的堆积体内侵蚀演化表征模型,初步实现了复杂应力状态下的堆积体内侵蚀演化的定量描述,探究了含石率和体积应变对堆积体内侵蚀特性的影响及其内在原因。结果表明:在不发生侵蚀破坏土骨架的条件下,所构建的模型能有效预测不同应力状态、不同含石率堆积体细颗粒侵蚀演化过程,含石率的增大通过增加孔隙水的渗流距离、降低平均渗流速度抑制堆积体侵蚀程度,偏应力状态下堆积体剪胀引起的体积应变增大是堆积体侵蚀程度加强的内在原因。


