Oil-source correlations and geochemical characteristics of source rock from the Permian Lucaogou Formation in the Jinan Sag, Junggar Basin
-
摘要:
近年,准噶尔盆地吉南凹陷井井子沟组常规砂岩油藏勘探取得了重要进展,三级储量过亿吨,勘探潜力巨大,中二叠统芦草沟组作为凹陷内主力源岩层,目前研究相对薄弱。利用多项地球化学测试手段,对芦草沟组不同层段烃源岩地球化学特征进行了对比,并据此厘定了二叠系油气来源。结果表明:①依据测井曲线特征可将芦草沟组分为3段,其中芦一段、芦二段发育优质烃源岩,母质类型为Ⅰ~Ⅱ1型,处于低熟−成熟阶段,且芦二段生烃能力更强;芦三段主体为“非−一般”烃源岩,母质类型亦为Ⅰ~Ⅱ1型,受上覆火成岩影响,局部成熟度较高。②基于分子地球化学特征,芦草沟组沉积期整体处于偏还原环境中,有机质保存条件较好,但不同层段水体咸化程度有异,芦一段>芦三段>芦二段。在生物组成方面,证明了芦草沟组存在绿藻和蓝细菌(蓝藻)2种特征生烃母质,前者证据是与年代相关的生物标志物(C28甾烷),后者证据为β-胡萝卜烷和中链单甲基烷烃的检出,芦一段、芦三段成烃生物中显示出蓝藻的主要贡献,芦二段则具有较高的绿藻和陆源高等植物输入,湖盆水体盐度的差异是影响蓝、绿藻繁盛的关键因素。③芦一段和芦二段烃源岩具有特征的高丰度C30αα-藿烷(受控于热演化程度),C30αα/αβ有望成为判识成熟度的新指标。④吉南凹陷二叠系存在3种类别不同的原油,A、B类原油分别对应芦一段和芦二段烃源岩,C类原油显示非芦草沟组油源特征,主要来自井井子沟组上部泥岩。研究成果对吉南凹陷未来油气勘探与开发具有参考意义。
Abstract:Objective In recent years, significant progress has been made in the exploration of conventional sandstone reservoirs in the Jingjingzigou Formation of the Jinan Depression, Junggar Basin, with tertiary reserves exceeding 100 million tons and promising exploration prospects. Although the primary source rock, the Middle Permian Lucaogou Formation, has been identified based on previous research, studies on the geochemical characteristics of these source rocks and oil-source correlations remain limited.
Methods This study combines a comprehensive set of tests, including total organic carbon (TOC), rock pyrolysis, and biomarker analysis, to investigate the geochemical properties of source rocks from various intervals of the Lucaogou Formation and to explore the oil-source correlations for the Middle Permian.
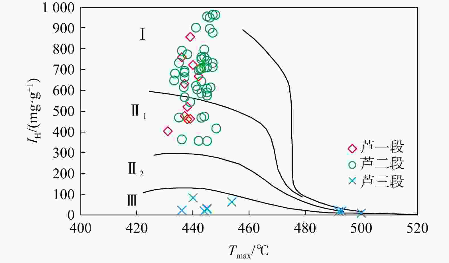
Results The results indicate that the Lucaogou Formation can be divided into three sections based on logging curve characteristics. The P2
l 1 and P2l 2 intervals are high-quality source rocks, characterized by high organic carbon content, hydrocarbon generation potential, and soluble organic matter, with organic matter types of Ⅰ-Ⅱ1 and early-to-peak maturity, with P2l 1 being superior. The P2l 3 interval is predominantly composed of "non-general" source rocks with type Ⅰ-Ⅱ1 organic matter and high maturity, influenced by the overlying environment. The molecular geochemical characteristics suggest that the source rocks formed in reducing environments. P2l 1 corresponds to saline water, P2l 1 represents fresh-brackish water, and P2l 3 is intermediate, all conditions conducive to organic matter preservation. In terms of biological composition, the Lucaogou Formation contains two primary hydrocarbon-generating parent materials: Green algae and cyanobacteria. The presence of green algae is indicated by age-related biomarkers (C28 steranes), while cyanobacteria are identified by the presence ofβ -carotene and medium-chain monomethyl alkanes. The hydrocarbon-generating organisms differ across intervals: P2l 1 and P2l 3 are predominantly composed of aquatic organisms, particularly cyanobacteria, while P2l 1 contains both aquatic (green algae) and terrestrial plant input. Variations in lake basin water salinity are a key factor influencing the proliferation of cyanobacteria and green algae in different source rock intervals. C30 αα-hopane is abundant in P2l 1 and P2l 1, but absent in P2l 3. Based on the analysis of sterane and hopane isomerization parameters, the C30 αα/αβ ratio may serve as a potential maturity indicator. Permian crude oils in the Jinan Depression can be classified into three types. Type A and Type B correspond to the source rocks of P2l 1 and P2l 2, respectively, while Type C crude oil exhibits characteristics different from the P2l source rocks and may be correlated with the mudstone of the Jingjingzigou Formation.Conclusion This study provides valuable insights for future oil and gas exploration and development in the Jinan Sag.
-
Key words:
- oil source correlation /
- geochemical characteristic /
- Lucaogou Formation /
- Jinan Sag /
- source rock
-
图 1 吉南凹陷区域地质构造和取样井位图(a,b)及地层综合柱状图(c)(据文献[8]修改)
Figure 1. Regional geological structure and sampling well map (a, b) and stratigraphic column (c) in the Jinan Sag
图 2 吉南凹陷中二叠统芦草沟组连井剖面(井位见图1)
GR. 自然伽马;SP. 自然电位;AC. 声波时差;RD. 深双侧向电阻率
Figure 2. Profile from the Middle Permian Lucaogou Formation in the Jinan Sag
图 8 鄂尔多斯盆地下奥陶统碳酸盐岩样品抽提物(a)及下马岭组页岩干酪根热解产物中正构烷烃分布(b)(据文献[31]修改)
Figure 8. Distribution of n-alkanes of carbonate samples from the Lower Ordovician (a) and kerogen pyrolysis products from the Xiamaling Formation shale (b) in Ordos Basin
图 12 不同耐盐生物的典型盐度范围(据文献[43]修改)
Figure 12. Typical salinity range of halotolerant organisms
表 1 吉南凹陷芦草沟组烃源岩有机地球化学数据
Table 1. Geochemical parameters of the source rocks of the Lucaogou Formation in the Jinan Sag
层位 w(TOC)/% Tmax/℃ (S1+S2)/(mg·g−1) IH/(mg·g−1) D/% Ro/% w(氯仿沥青“A”)/% 芦三段P2l3 $ \dfrac{0.52\sim1.67}{0.96(9)} $ $ \dfrac{{436}{\sim}{500}}{{461}{(}{9}{)}} $ $ \dfrac{{0.16}{\sim}{0.51}}{{0.33}{(}{9}{)}} $ $ \dfrac{{13.51}{\sim}{87.04}}{{37.13}{(}{9}{)}} $ $ \dfrac{{1.26}{\sim}{7.53}}{{3.42}{(}{9}{)}} $ $ \dfrac{{1.25}{\sim}{1.36}}{{1.30}{(}{4}{)}} $ $ \dfrac{{0.01}{\sim}{0.09}}{{0.04}{(}{6}{)}} $ 芦二段P2l2 $ \dfrac{{2.21}{\sim}{24.70}}{{8.61}{(}{46}{)}} $ $ \dfrac{{433}{\sim}{448}}{{442}{(}{46}{)}} $ $ \dfrac{{12.33}{\sim}{238.26}}{{64.90}{(}{46}{)}} $ $ \dfrac{{358.01}{\sim}{960.51}}{{667.99}{(}{46}{)}} $ $ \dfrac{{30.44}{\sim}{82.85}}{{58.31}{(}{46}{)}} $ $ \dfrac{{0.56}{\sim}{0.91}}{{0.75}{(}{22}{)}} $ $ \dfrac{{0.15}{\sim}{2.48}}{{0.64}{(}{36}{)}} $ 芦一段P2l1 $ \dfrac{{2.81}{\sim}{11.51}}{{5.62}{(}{10}{)}} $ $ \dfrac{{431}{\sim}{442}}{{438}{(}{10}{)}} $ $ \dfrac{{13.71}{\sim}{86.19}}{{37.56}{(}{10}{)}} $ $ \dfrac{{404.98}{\sim}{854.78}}{{595.64}{(}{10}{)}} $ $ \dfrac{{40.14}{\sim}{72.07}}{{51.82}{(}{10}{)}} $ $ \dfrac{{0.64}{\sim}{0.66}}{{0.65}{(}{3}{)}} $ $ \dfrac{{0.30}{\sim}{0.47}}{{0.38}{(}{3}{)}} $ 注:w(TOC)= [0.83×(S0+S1+S2)+S4]/10;S0为气态烃;S1为游离烃;S2为热解烃;S4为有机二氧化碳;Tmax为最大热解峰温;IH为氢指数,IH=S2/w(TOC)×100%;D为降解率,D=CP/w(TOC)×100%,CP为有效碳;Ro为镜质体反射率;w(氯仿沥青“A”)为可溶有机质抽提质量分数;$ \dfrac{0.52\sim1.67}{0.96(9)} $表示$\dfrac{平均值 - 最大值}{平均值(样品个数)} $;下同 表 2 吉南凹陷芦草沟组(P2l)烃源岩生物标志化合物参数统计
Table 2. Biomarkers parameter statistics of the source rocks from the Lucaogou Formation in the Jinan Sag
层位 nC21-/nC22+ TAR 短链/% 中链/% 长链/% 7-+8-MeC17/nCmax Pr/Ph 芦三段P2l3 $ \dfrac{{0.44}{\sim}{1.22}}{{0.80}{(}{7}{)}} $ $ \dfrac{{0.38}{\sim}{1.43}}{{0.79}{(}{7}{)}} $ $ \dfrac{{23.37}{\sim}{46.93}}{{34.97}{(}{7}{)}} $ $ \dfrac{{38.52}{\sim}{55.39}}{{45.31}{(}{7}{)}} $ $ \dfrac{{14.18}{\sim}{28.19}}{{19.75}{(}{7}{)}} $ $ \dfrac{{0.01}{\sim}{0.27}}{{0.12}{(}{7}{)}} $ $ \dfrac{{0.38}{\sim}{0.99}}{{0.74}{(}{7}{)}} $ 芦二段P2l2 $ \dfrac{{0.33}{\sim}{1.14}}{{0.63}{(}{29}{)}} $ $ \dfrac{{0.30}{\sim}{2.14}}{{0.95}{(}{29}{)}} $ $ \dfrac{{17.52}{\sim}{42.36}}{{28.60}{(}{29}{)}} $ $ \dfrac{{44.63}{\sim}{57.40}}{{50.28}{(}{29}{)}} $ $ \dfrac{{10.78}{\sim}{33.53}}{{20.82}{(}{29}{)}} $ $ \dfrac{{0.01}{\sim}{0.28}}{{0.05}{(}{29}{)}} $ $ \dfrac{{0.60}{\sim}{1.05}}{{0.84}{(}{29}{)}} $ 芦一段P2l1 $ \dfrac{{1.64}{\sim}{2.55}}{{2.07}{(}{4}{)}} $ $ \dfrac{{0.19}{\sim}{0.34}}{{0.25}{(}{4}{)}} $ $ \dfrac{{53.06}{\sim}{64.24}}{{58.20}{(}{4}{)}} $ $ \dfrac{{25.93}{\sim}{33.25}}{{30.48}{(}{4}{)}} $ $ \dfrac{{8.65}{\sim}{14.31}}{{11.01}{(}{4}{)}} $ $ \dfrac{{0.13}{\sim}{0.36}}{{0.21}{(}{4}{)}} $ $ \dfrac{{0.48}{\sim}{1.09}}{{0.84}{(}{4}{)}} $ 层位 Pr/nC17 Ph/nC18 β-胡萝卜烷/nCmax 伽马蜡烷/C30藿烷 C24TeT/C26TT (C19TT+C20TT)/C21TT C3122S/(22S+22R) 芦三段P2l3 $ \dfrac{{0.57}{\sim}{0.79}}{{0.71}{(}{7}{)}} $ $ \dfrac{{0.47}{\sim}{1.25}}{{0.77}{(}{7}{)}} $ $ \dfrac{{0.11}{\sim}{0.93}}{{0.42}{(}{7}{)}} $ $ \dfrac{{0.22}{\sim}{0.30}}{{0.25}{(}{7}{)}} $ $ \dfrac{{0.82}{\sim}{0.92}}{{0.86}{(}{7}{)}} $ $ \dfrac{{0.61}{\sim}{1.39}}{{1.05}{(}{7}{)}} $ $ \dfrac{{0.58}{\sim}{0.61}}{{0.60}{(}{7}{)}} $ 芦二段P2l2 $ \dfrac{{0.22}{\sim}{2.29}}{{0.73}{(}{29}{)}} $ $ \dfrac{{0.18}{\sim}{5.01}}{{0.94}{(}{29}{)}} $ $ \dfrac{{0}{\sim}{1.75}}{{0.35}{(}{29}{)}} $ $ \dfrac{{0.07}{\sim}{0.29}}{{0.20}{(}{29}{)}} $ $ \dfrac{{0.63}{\sim}{2.78}}{{1.51}{(}{29}{)}} $ $ \dfrac{{0.85}{\sim}{2.00}}{{1.36}{(}{29}{)}} $ $ \dfrac{{0.47}{\sim}{0.54}}{{0.52}{(}{29}{)}} $ 芦一段P2l1 $ \dfrac{{0.85}{\sim}{1.26}}{{1.02}{(}{4}{)}} $ $ \dfrac{{1.39}{\sim}{4.36}}{{2.22}{(}{4}{)}} $ $ \dfrac{{1.06}{\sim}{3.59}}{{1.86}{(}{4}{)}} $ $ \dfrac{{0.40}{\sim}{0.42}}{{0.41}{(}{4}{)}} $ $ \dfrac{{0.98}{\sim}{1.05}}{{1.01}{(}{4}{)}} $ $ \dfrac{{0.78}{\sim}{1.23}}{{0.97}{(}{4}{)}} $ $ \dfrac{{0.49}{\sim}{0.51}}{{0.50}{(}{4}{)}} $ 层位 C29αββ/(αββ+ααα) C2920S/(20S+20R) C30αα/αβ 甾烷/藿烷 C27St/% C28St/% C29St/% 芦三段P2l3 $ \dfrac{{0.36}{\sim}{0.44}}{{0.39}{(}{7}{)}} $ $ \dfrac{{0.47}{\sim}{0.52}}{{0.49}{(}{7}{)}} $ $ \dfrac{{0.04}{\sim}{0.05}}{{0.04}{(}{7}{)}} $ $ \dfrac{{0.22}{\sim}{0.31}}{{0.26}{(}{7}{)}} $ $ \dfrac{{12.34}{\sim}{20.33}}{{15.78}{(}{7}{)}} $ $ \dfrac{{32.54}{\sim}{39.38}}{{37.10}{(}{7}{)}} $ $ \dfrac{{44.78}{\sim}{50.18}}{{47.41}{(}{7}{)}} $ 芦二段P2l2 $ \dfrac{{0.18}{\sim}{0.27}}{{0.22}{(}{29}{)}} $ $ \dfrac{{0.14}{\sim}{0.26}}{{0.20}{(}{29}{)}} $ $ \dfrac{{0.06}{\sim}{0.11}}{{0.09}{(}{29}{)}} $ $ \dfrac{{0.12}{\sim}{0.55}}{{0.30}{(}{29}{)}} $ $ \dfrac{{12.43}{\sim}{26.39}}{{18.28}{(}{29}{)}} $ $ \dfrac{{32.56}{\sim}{55.15}}{{41.62}{(}{29}{)}} $ $ \dfrac{{28.85}{\sim}{51.56}}{{39.85}{(}{29}{)}} $ 芦一段P2l1 $ \dfrac{{0.23}{\sim}{0.26}}{{0.25}{(}{4}{)}} $ $ \dfrac{{0.15}{\sim}{0.23}}{{0.19}{(}{4}{)}} $ $ \dfrac{{0.09}{\sim}{0.11}}{{0.10}{(}{4}{)}} $ $ \dfrac{{0.32}{\sim}{0.40}}{{0.36}{(}{4}{)}} $ $ \dfrac{{8.33}{\sim}{14.22}}{{11.90}{(}{4}{)}} $ $ \dfrac{{33.22}{\sim}{43.36}}{{38.44}{(}{4}{)}} $ $ \dfrac{{43.76}{\sim}{55.11}}{{49.66 (4)}} $ 层位 C28/ C29St/% C35/(C31-C35) MPR MPI-3 ∑三环萜烷/∑藿烷 C21+22孕甾烷/规则甾烷 C29降霍烷/C29降莫烷 芦三段P2l3 $ \dfrac{{0.65}{\sim}{0.88}}{{0.78}{(}{7}{)}} $ $ \dfrac{{0.03}{\sim}{0.06}}{{0.05}{(}{7}{)}} $ $ \dfrac{{1.57}{\sim}{1.89}}{{1.72}{(}{7}{)}} $ $ \dfrac{{1.01}{\sim}{1.31}}{{1.18}{(}{7}{)}} $ $ \dfrac{{0.11}{\sim}{0.25}}{{0.17}{(}{7}{)}} $ $ \dfrac{{0.14}{\sim}{0.24}}{{0.18}{(}{7}{)}} $ $ \dfrac{{6.17}{\sim}{7.90}}{{6.94}{(}{7}{)}} $ 芦二段P2l2 $ \dfrac{{0.68}{\sim}{1.91}}{{1.01}{(}{29}{)}} $ $ \dfrac{{0.03}{\sim}{0.06}}{{0.04}{(}{29}{)}} $ $ \dfrac{{0.74}{\sim}{1.26}}{{0.99}{(}{24}{)}} $ $ \dfrac{{0.60}{\sim}{0.97}}{{0.78}{(}{24}{)}} $ $ \dfrac{{0.03}{\sim}{0.16}}{{0.07}{(}{29}{)}} $ $ \dfrac{{0.02}{\sim}{0.08}}{{0.03}{(}{29}{)}} $ $ \dfrac{{2.65}{\sim}{4.44}}{{3.60}{(}{29}{)}} $ 芦一段P2l1 $ \dfrac{{0.60}{\sim}{1.00}}{{0.79}{(}{4}{)}} $ $ \dfrac{{0.06}{\sim}{0.08}}{{0.07}{(}{4}{)}} $ $ \dfrac{{0.50}{\sim}{1.24}}{{0.86}{(}{4}{)}} $ $ \dfrac{{0.71}{\sim}{0.83}}{{0.74}{(}{4}{)}} $ $ \dfrac{{0.04}{\sim}{0.08}}{{0.06}{(}{4}{)}} $ $ \dfrac{{0.01}{\sim}{0.08}}{{0.03}{(}{4}{)}} $ $ \dfrac{{2.56}{\sim}{3.21}}{{2.86}{(}{4}{)}} $ 注:TAR为陆水生比值,TAR=(nC27+nC29+nC31)/(nC15 + nC17 + nC19);短链= [∑(nC14-nC20)/∑(nCmin-nCmax)]×100%;中链= [∑(nC21-nC26)/∑(nCmin-nCmax)]×100% ;长链= [∑(nC27-nC40)/∑(nCmin-nCmax)]×100%;Me为单甲基十七烷;Pr为姥姣烷;Ph为植烷;nCmax为正构烷烃主峰碳;TeT为四环萜烷;TT为三环萜烷;C30αα为C30-αα藿烷;C30αβ为C30-αβ藿烷;St为规则甾烷;C35/(C31-C35)为升藿烷指数;MPR为甲基菲比值,MPR=2-MP/1-MP;MPI-3为甲基菲指数,MPI-3=(3-MP+2-MP)/(9-MP+1-MP),MP为甲基菲;1-MP为1-甲基菲;2-MP为2-甲基菲;3-MP为3-甲基菲;9-MP为9-甲基菲;下同 表 3 吉南凹陷二叠系不同类型原油生物标志化合物数据
Table 3. Data of biomarker compounds in different types of Permian crude oil in the Jinan sag
原油类别 C29αββ/(αββ+ααα) C2920S/(20S+20R) MPR MPI-3 nC21−/nC22+ C29降霍烷/C29降莫烷 A $ \dfrac{{0.22}{\sim}{0.26}}{{0.24}{(}{4}{)}} $ $ \dfrac{{0.18}{\sim}{0.22}}{{0.20}{(}{4}{)}} $ $ \dfrac{{0.95}{\sim}{1.44}}{{1.15}{(}{3}{)}} $ $ \dfrac{{0.65}{\sim}{0.80}}{{0.75}\left({3}\right)} $ $ \dfrac{{1.25}{\sim}{2.57}}{{1.89}{(}{4}{)}} $ $ \dfrac{{2.43}{\sim}{3.04}}{{2.82(4)}} $ B $ \dfrac{{0.21}{\sim}{0.38}}{{0.29}{(}{42}{)}} $ $ \dfrac{{0.14}{\sim}{0.40}}{{0.29}{(}{42}{)}} $ $ \dfrac{{0.62}{\sim}{1.20}}{{0.91(35)}} $ $ \dfrac{{0.46}{\sim}{0.96}}{{0.66}\left({35}\right)} $ $ \dfrac{{0.31}{\sim}{1.13}}{{0.65}{(}{42}{)}} $ $ \dfrac{{2.46}{\sim}{6..65}}{{4.90(42)}} $ C $ \dfrac{{0.28}{\sim}{0.39}}{{0.34}{(}{4}{)}} $ $ \dfrac{{0.29}{\sim}{0.39}}{{0.34}{(}{4}{)}} $ $ \dfrac{{0.90}{\sim}{0.99}}{{0.95}{(}{2}{)}} $ $ \dfrac{{0.75}{\sim}{0.81}}{{0.78}{(}{2}{)}} $ $ \dfrac{{2.32}{\sim}{4.62}}{{3.33}{(}{4}{)}} $ $ \dfrac{{4.16}{\sim}{6.42}}{{5.26(4)}} $ 原油类别 TAR 伽马蜡烷/C30藿烷 Pr/Ph C21+22孕甾烷/规则甾烷 ∑三环萜烷/∑藿烷 C30 αα/αβ A $ \dfrac{{0.13}{\sim}{0.41}}{{0.26}{(}{4}{)}} $ $ \dfrac{{0.40}{\sim}{0.55}}{{0.50}{(}{4}{)}} $ $ \dfrac{{0.31}{\sim}{0.97}}{{0.68}{(}{4}{)}} $ $ \dfrac{{0.01}{\sim}{0.03}}{{0.02}{(}{4}{)}} $ $ \dfrac{{0.11}{\sim}{0.20}}{{0.15}{(}{4}{)}} $ $ \dfrac{{0.09}{\sim}{0.12}}{{0.10}{(}{4}{)}} $ B $ \dfrac{{0.32}{\sim}{2.28}}{{0.92}{(}{42}{)}} $ $ \dfrac{{0.15}{\sim}{0.29}}{{0.23}{(}{42}{)}} $ $ \dfrac{{0.62}{\sim}{1.22}}{{0.87}{(}{42}{)}} $ $ \dfrac{{0.01}{\sim}{0.04}}{{0.02}{(}{42}{)}} $ $ \dfrac{{0.05}{\sim}{0.28}}{{0.14}{(}{42}{)}} $ $ \dfrac{{0.05}{\sim}{0.12}}{{0.08}{(}{42}{)}} $ C $ \dfrac{{0.02}{\sim}{0.08}}{{0.05}{(}{4}{)}} $ $ \dfrac{{0.23}{\sim}{0.27}}{{0.26}{(}{4}{)}} $ $ \dfrac{{0.84}{\sim}{1.10}}{{0.93}{(}{4}{)}} $ $ \dfrac{{0.15}{\sim}{0.34}}{{0.27}{(}{4}{)}} $ $ \dfrac{{0.79}{\sim}{1.40}}{{1.19}{(}{4}{)}} $ $ \dfrac{{0.06}{\sim}{0.08}}{{0.07}{(}{4}{)}} $ 表 4 吉南凹陷井井子沟组烃源岩有机地球化学数据
Table 4. Organic geochemical data of source rocks from the Jingjingzigou Formation in the Jinan Sag
层位 w(TOC)/% S1/(mg·g−1) S2/(mg·g−1) (S1+S2)/(mg·g−1) IH/(mg·g−1) Tmax/℃ 优质烃源岩占比/% 井井子沟组 $ \dfrac{{0.14}{\sim}{4.14}}{{1.25}{(}{25}{)}} $ $ \dfrac{{0.04}{\sim}{13.70}}{{7.32}{(}{25}{)}} $ $ \dfrac{{0.14}{\sim}{29.93}}{{5.08}{(}{25}{)}} $ $ \dfrac{{0.18}{\sim}{28.91}}{{7.32}{(}{25}{)}} $ $ \dfrac{{86.90}{\sim}{977.29}}{{338.46}{(}{25}{)}} $ $ \dfrac{{423}{\sim}{447}}{{436}{(}{25}{)}} $ 48 -
[1] 李建忠,陈旋,杨润泽,等. 准噶尔盆地东部吉南凹陷二叠系油气地质条件与源下成藏特征[J]. 石油勘探与开发,2023,50(3):491-503. doi: 10.11698/PED.20220818LI J Z,CHEN X,YANG R Z,et al. Petroleum geology and sub-source hydrocarbon accumulation of Permian reservoirs in Jinan Sag,eastern Junggar Basin,NW China[J]. Petroleum Exploration and Development,2023,50(3):491-503. (in Chinese with English abstract doi: 10.11698/PED.20220818 [2] 康积伦,杨润泽,马强,等. 准噶尔盆地东部吉南凹陷二叠系油藏形成条件、成藏特征与勘探方向[J]. 科学技术与工程,2023,23(32):13788-13802. doi: 10.12404/j.issn.1671-1815.2023.23.32.13788KANG J L,YANG R Z,MA Q,et al. Formation conditions,accumulation characteristics and exploration direction of Permian reservoir in Jinan Sag,eastern Junggar Basin[J]. Science Technology and Engineering,2023,23(32):13788-13802. (in Chinese with English abstract doi: 10.12404/j.issn.1671-1815.2023.23.32.13788 [3] 梁世君,罗劝生,康积伦,等. 准噶尔盆地吉南凹陷萨探1井风险勘探突破及意义[J]. 中国石油勘探,2021,26(4):72-83. doi: 10.3969/j.issn.1672-7703.2021.04.006LIANG S J,LUO Q S,KANG J L,et al. Breakthrough and significance of risk exploration in Well Satan 1 in Jinan Sag,Junggar Basin[J]. China Petroleum Exploration,2021,26(4):72-83. (in Chinese with English abstract doi: 10.3969/j.issn.1672-7703.2021.04.006 [4] 唐勇,宋永,何文军,等. 准噶尔叠合盆地复式油气成藏规律[J]. 石油与天然气地质,2022,43(1):132-148. doi: 10.11743/ogg20220111TANG Y,SONG Y,HE W J,et al. Characteristics of composite hydrocarbon accumulation in a superimposed basin,Junggar Basin[J]. Oil & Gas Geology,2022,43(1):132-148. (in Chinese with English abstract doi: 10.11743/ogg20220111 [5] 夏世威,马强,黄传炎,等. 准噶尔盆地东部吉木萨尔−吉南凹陷构造演化及原型盆地恢复[J]. 地质科技通报,2024,43(3):170-179.XIA S W,MA Q,HUANG C Y,et al. Tectonic evolution and prototype basin reconstruction in the Jimsar and Jinan depressions,eastern Junggar Basin[J]. Bulletin of Geological Science and Technology,2024,43(3):170-179. (in Chinese with English abstract [6] 蒋中发,丁修建,王忠泉,等. 吉木萨尔凹陷二叠系芦草沟组烃源岩沉积古环境[J]. 岩性油气藏,2020,32(6):109-119.JIANG Z F,DING X J,WANG Z Q,et al. Sedimentary paleoenvironment of source rocks of Permian Lucaogou Formation in Jimsar Sag[J]. Lithologic Reservoirs,2020,32(6):109-119. (in Chinese with English abstract [7] 刘超威,尤新才,李辉,等. 准噶尔盆地阜康凹陷芦草沟组烃源岩地球化学特征与生烃潜力研究[J]. 石油实验地质,2023,45(2):338-346. doi: 10.11781/sysydz202302338LIU C W,YOU X C,LI H,et al. Geochemical characteristics and hydrocarbon generation potential of Lucaogou Formation source rocks in Fukang Sag,Junggar Basin[J]. Petroleum Geology & Experiment,2023,45(2):338-346. (in Chinese with English abstract). doi: 10.11781/sysydz202302338 [8] 张妍,吴欣松,康积伦,等. 准东吉南凹陷二叠系芦草沟组烃源岩有机质富集机制[J]. 天然气地球科学,2024,35(9):1574-1589. doi: 10.11764/j.issn.1672-1926.2024.01.001ZHANG Y,WU X S,KANG J L,et al. Mechanism of organic matter enrichment in the Permian Lucaogou Formation,Jinan Sag,eastern Junggar Basin[J]. Natural Gas Geoscience,2024,35(9):1574-1589. (in Chinese with English abstract doi: 10.11764/j.issn.1672-1926.2024.01.001 [9] 张朝军,何登发,吴晓智,等. 准噶尔多旋回叠合盆地的形成与演化[J]. 中国石油勘探,2006,11(1):47-58. doi: 10.3969/j.issn.1672-7703.2006.01.008ZHANG C J,HE D F,WU X Z,et al. Formation and evolution of multicycle superimposed basins in Junggar Basin[J]. China Petroleum Exploration,2006,11(1):47-58. (in Chinese with English abstract doi: 10.3969/j.issn.1672-7703.2006.01.008 [10] 吴孔友,查明,曲江秀,等. 博格达山隆升对北三台地区构造形成与演化的控制作用[J]. 石油大学学报(自然科学版),2004,28(2):1-5.WU K Y,ZHA M,QU J X,et al. Control of Bogeda Mountain uplift on the structural formation and evolution in Beisantai region[J]. Journal of China University of Petroleum(Edition of Natural Science),2004,28(2):1-5. (in Chinese with English abstract [11] 卢华复,王胜利,贾承造. 准噶尔南缘新生代断裂的形成机制[J]. 地学前缘,2007,14(4):168-174. doi: 10.3321/j.issn:1005-2321.2007.04.018LU H F,WANG S L,JIA C Z. The mechanism of the southern Junggar Cenozoic thrusts[J]. Earth Science Frontiers,2007,14(4):168-174. (in Chinese with English abstract doi: 10.3321/j.issn:1005-2321.2007.04.018 [12] 王宗秀,李涛,张进,等. 博格达山链新生代抬升过程及意义[J]. 中国科学(地球科学),2008,38(3):312-326.WANG Z X,LI T,ZHANG J,et al. Cenozoic uplift process of Bogeda Mountain chain and its significance[J]. Scientia Sinica(Terrae),2008,38(3):312-326. (in Chinese withEnglish abstract). [13] 中华人民共和国国家发展和改革委员会. 岩石中可溶有机物及原油族组分分析:SY/T5119-2008[S]. 北京:石油工业出版社,2008.National Development and Reform Commission of the People's Republic of China. Analysis method for fractions of rock extract and crude oil:SY/T5119-2008[S]. Beijing:Petroleum Industry Press,2008. (in Chinese) [14] 国家质量监督检验检疫总局,中国国家标准化管理委员会. 气相色谱−质谱法测定沉积物和原油中生物标志物:GB/T18606-2017[S]. 北京:中国标准出版社,2017.General Administration of Quality Supervision,Inspection and Quarantine of the People's Republic of China,Standardization Administration of the People's Republic of China. The test method for biomarkers in sediment and crude oil by GC-MS:GB/T18606-2017[S]. Beijing:Standards Press of China,2017. (in Chinese) [15] 杨涛涛,范国章,吕福亮,等. 烃源岩测井响应特征及识别评价方法[J]. 天然气地球科学,2013,24(2):414-422.YANG T T,FAN G Z,LÜ F L,et al. The logging features and identification methods of source rock[J]. Natural Gas Geoscience,2013,24(2):414-422. (in Chinese with English abstract [16] 卢双舫,张敏. 油气地球化学[M]. 北京:石油工业出版社,2008.LU S F,ZHANG M. Oil and gas geochemistry [M]. Beijing:Petroleum Industry Press,2008. (in Chinese) [17] 国家能源局. 烃源岩地球化学评价方法:SY/T5735-2019[S]. 北京:石油工业出版社,2019.National Energy Bureau of the People's Republic of China. Source rock geochemical evaluation methods:SY/T5735-2019[S]. Beijing:Petroleum Industry Press,2019. (in Chinese) [18] SUÁREZ-RUIZ I,FLORES D,MENDONÇA FILHO J G,et al. Review and update of the applications of organic petrology:Part 1,geological applications[J]. International Journal of Coal Geology,2012,99:54-112. doi: 10.1016/j.coal.2012.02.004 [19] TAYLOR G H,TEICHMOLLER M,DAVIS A,et al. Organic petrology[M]. Berlin-Stuttgart:Borntraeger,1998. [20] SIGURDSSON H,HOUGHTON B,RYMER H,et al. Encyclopedia of volcanoes[M]. New York:Acad-emic Press,1999. [21] 方世虎,贾承造,郭召杰,等. 准噶尔盆地二叠纪盆地属性的再认识及其构造意义[J]. 地学前缘,2006,13(3):108-121. doi: 10.3321/j.issn:1005-2321.2006.03.015FANG S H,JIA C Z,GUO Z J,et al. New view on the Permian evolution of the Junggar Basin and its implications for tectonic evolution[J]. Earth Science Frontiers,2006,13(3):108-121. (in Chinese with English abstract doi: 10.3321/j.issn:1005-2321.2006.03.015 [22] DIDYK B M,SIMONEIT B R T,BRASSELL S C,et al. Organic geochemical indicators of palaeoenvironmental conditions of sedimentation[J]. Nature,1978,272:216-222. doi: 10.1038/272216a0 [23] 夏刘文,曹剑,徐田武,等. 盐湖生物发育特征及其烃源意义[J]. 地质论评,2017,63(6):1549-1562.XIA L W,CAO J,XU T W,et al. Development characteristics of biologies in saline lake environments and their implications for hydrocarbon source[J]. Geological Review,2017,63(6):1549-1562. (in Chinese with English abstract [24] SHANMUGAN G. Significance of coniferous rain forests and related organic matter in generating commercial quantities of oil,Gippsland Basin,Australia[J]. AAPG Bulletin,1985,69(8):1241-1254. [25] MAGARA K. Thickness of removed sedimentary rocks,paleopore pressure,and paleotemperature,southwestern part of western Canada Basin[J]. AAPG Bulletin,1976,60(4):554-565. [26] HALL P B,DOUGLAS A G. The distribution of cyclicalkanes in two lacustrine deposits[M]. New York:Wiley,1983:576-587. [27] MOLDOWAN J M,SEIFERT W K,GALLEGOS E J. Relationship between petroleum composition and depositional environment of petroleum source rocks[J]. AAPG Bulletin,1985,69(8):1255-1268. [28] BAAS M,PANCOST R,VAN GEEL B,et al. A comparative study of lipids in Sphagnum species[J]. Organic Geochemistry,2000,31(6):535-541. doi: 10.1016/S0146-6380(00)00037-1 [29] 刘宝泉,蔡冰,方杰. 上元古界下马岭组页岩干酪根的油气生成模拟实验[J]. 石油实验地质,1990,12(2):147-161. doi: 10.11781/sysydz199002147LIU B Q,CAI B,FANG J. A simulation experiment of petroleum origin on kerogen from shales of the Lower Xiamalin Formation in the Upper Proterozoic[J]. Petroleum Geology & Expeximent,1990,12(2):147-161. (in Chinese with English abstract doi: 10.11781/sysydz199002147 [30] 黄第藩,赵孟军. 下古生界海相原油之中蜡的成因分析:干酪根PY-GC分析提供的证据[J]. 沉积学报,1996,14(2):13-22.HUANG D F,ZHAO M J. The genesis of marineoils with middle wax from Lower Palaeozoic:Evidences obtaining from kerogen's PY-GC analysis[J]. Acta Sedimentologica Sinica,1996,14(2):13-22. (in Chinese with English abstract [31] 李景贵. 高过成熟海相碳酸盐岩抽提物不寻常的正构烷烃分布及其成因[J]. 石油勘探与开发,2002,29(4):8-11. doi: 10.3321/j.issn:1000-0747.2002.04.003LI J G. Unusual distribution and its origin of n-alkanes in extracts of marine carbonate rocks with high maturity and over maturity[J]. Petroleum Exploration and Development,2002,29(4):8-11. (in Chinese with English abstract doi: 10.3321/j.issn:1000-0747.2002.04.003 [32] PHILP R P,GILBERT T D. Biomarker distributions in Australian oils predominantly derived from terrigenous source material[J]. Organic Geochemistry,1986,10(1/2/3):73-84. [33] 岳上,权永彬,杜学斌,等. 西湖凹陷中西部地区烃源岩生烃潜力及油源对比[J]. 地质科技通报,2024,43(2):87-98.YUE S,QUAN Y B,DU X B,et al. Hydrocarbon generation potential and oil source comparison of source rocks in the central and western regions of Xihu Depression[J]. Bulletin of Geological Science and Technology,2024,43(2):87-98. (in Chinese with English abstract [34] VOLKMAN J K. A review of sterol markers for marine and terrigenous organic matter[J]. Organic Geochemistry,1986,9(2):83-99. doi: 10.1016/0146-6380(86)90089-6 [35] DING W J,HOU D J,JIANG L,et al. High abundance of carotanes in the brackish-saline lacustrine sediments:A possible cyanobacteria source?[J]. International Journal of Coal Geology,2020,219:103373. doi: 10.1016/j.coal.2019.103373 [36] DAMSTÉ J S,MUYZER G,ABBAS B,et al. The rise of the rhizosolenid diatoms[J]. Science,2004,304:584-587. doi: 10.1126/science.1096806 [37] DING X J,QU J X,IMIN A,et al. Organic matter origin and accumulation in tuffaceous shale of the Lower Permian Lucaogou Formation,Jimsar Sag[J]. Journal of Petroleum Science and Engineering,2019,179:696-706. doi: 10.1016/j.petrol.2019.05.004 [38] HAN J,CALVIN M. Branched alkanes from blue-green algae[J]. Journal of the Chemical Society D(Chemical Communications),1970(22):1490-1491. [39] BAUERSACHS T,KREMER B,SCHOUTEN S,et al. A biomarker and δ15N study of thermally altered Silurian cyanobacterial mats[J]. Organic Geochemistry,2009,40(2):149-157. doi: 10.1016/j.orggeochem.2008.11.008 [40] 符印,王作栋,张婷,等. 烃源岩中类胡萝卜烷系列化合物的检出及其地质意义:以三塘湖盆地马芦1井芦草沟组为例[J]. 沉积学报,2024,42(3):1092-1106.FU Y,WANG Z D,ZHANG T,et al. Detection and geological significance of carotenoid-derived alkanes in the source rocks:A case of Well Malu 1,Lucaogou Formation,Santanghu Basin[J]. Acta Sedimentologica Sinica,2024,42(3):1092-1106. (in Chinese with English abstract [41] 张义杰,齐雪峰,程显胜,等. 准噶尔盆地晚石炭世和二叠纪沉积环境[J]. 新疆石油地质,2007,28(6):673-675. doi: 10.3969/j.issn.1001-3873.2007.06.003ZHANG Y J,QI X F,CHENG X S,et al. Approach to sedimentary environment of Late Carboniferous-Permian in Junggar Basin[J]. Xinjiang Petroleum Geology,2007,28(6):673-675. (in Chinese with English abstract doi: 10.3969/j.issn.1001-3873.2007.06.003 [42] WARREN J K. Evaporites:A geological compendium[M]. Cham:Springer International Publishing,2016. [43] BARBE A,GRIMALT J O,PUEYO J J,et al. Characterization of model evaporitic environments through the study of lipid components[J]. Organic Geochemistry,1990,16(4/6):815-828. [44] 吴庆余,章冰,盛国英,等. 藻类生物化学成分差异对其热解生烃产率和特征的影响[J]. 矿物岩石地球化学通报,1996,15(2):75-79.WU Q Y,ZHANG B,SHENG G Y,et al. Study of molecular organic geochemistry on hydrocarbons thermally degraded form alege[J]. Bulletin of Mineralogy,Petrology and Geochemistry,1996,15(2):75-79. (in Chinese with English abstract [45] 张瑞杰,曹剑,边立曾,等. 古亚洲洋关闭期准噶尔湖发现“海退遗种”红藻及其成烃有效性[J]. 中国科学(地球科学),2024,54(9):2898-2916.ZHANG R J,CAO J,BIAN L Z,et al. Red algal evidence for a marine regression during closure ofthe Paleo Asian Ocean in the Junggar Basin and its linkage to hydrocarbon generation[J]. Scientia Sinica(Terrae),2024,54(9):2898-2916. (in Chinese with English abstract [46] PETERS K E,MOLDOWAN J M. The biomarker guide:Interpreting molecular fossils in petroleum and ancient sediments[M]. Englewood Cliffs:N. J. Prentice Hall,1993. [47] RADKE M,WELTE D H. The methylphenanthrene index (MPl): A maturity parameter based on aromatic hydrocarbons[M]//BJOROY M. Advances in Organic Geochemistry. Chichester: John Wiley and Sons Incorporation, 1983: 504-512. [48] DUIN A C T V ,DAMSTE J S S ,KOOPMANS M P ,et al. A kinetic calculation method of homohopanoid matur-ation:Applications in the reconstruction of burial hist-ories of sedimentary basins[J]. Geochimica et Cosmoc-himica Acta,1997,61(12):2409-2429. [49] NYTOFT H P,BOJESEN-KOEFOED J A. 17α,21α(H)-hopanes:Natural and synthetic[J]. Organic Geochemistry,2001,32(6):841-856. doi: 10.1016/S0146-6380(01)00028-6 -
下载:
