Prediction of squeezing surrounding rock tunnel deformation based on support vector regression optimized by swarm intelligent algorithm
-
摘要:
隧道工程中,隧道设计和施工安全的前提是准确评估隧道围岩变形量。将萤火虫算法(FA)、鲸鱼优化算法(WOA)和灰狼优化算法(GWO)与优化支持向量回归(SVR)结合起来,并基于此构建了3种混合群智能优化预测模型,以预测挤压性围岩隧道变形量。构建了一个包含62个样本的数据库,选取了7种隧道及围岩初始参数作为预测模型输入参数,将隧道径向变形量作为输出量。选择决定系数(
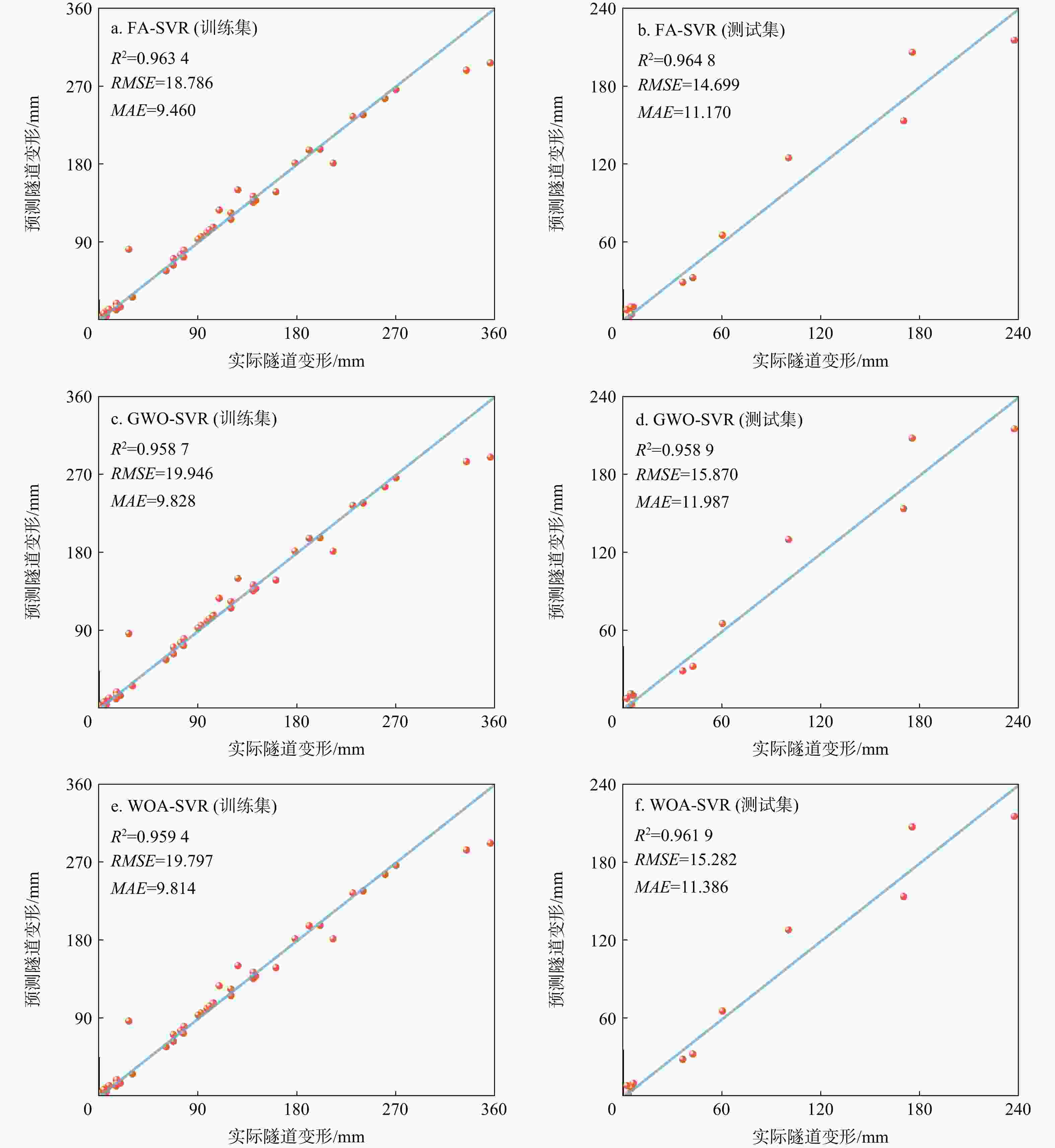
R 2)、均方根误差(RMSE )、平均绝对误差(MAE )模型预测效果的评价指标。最后,使用归一化互信息法评估不同输入参数对隧道围岩变形预测结果的影响。研究结果表明,FA-SVR模型在训练阶段和测试阶段的预测性能优于GWO-SVR模型和WOA-SVR模型,训练集和测试集对应的R 2分别为0.9634 和0.9648 ,RMSE 分别为18.786和14.699,MAE 分别为9.460和11.170,预测能力排序为:FA-SVR>WOA-SVR>GWO-SVR。萤火虫算法、鲸鱼优化算法和灰狼优化算法均能提高支持向量回归模型的预测性能,FA-SVR模型的预测效果最好,经过优化的混合预测模型性能显著优于经典模型。敏感性分析表明,节理密度是影响隧道围岩变形预测值的最重要参数。研究成果可为隧道工程安全控制提供重要参考。Abstract:Objective In tunnel engineering, the prerequisite for tunnel design and construction safety is to accurately assess the amount of deformation of the rock surrounding a tunnel.
Methods In this work, the firefly algorithm (FA), whale optimization algorithm (WOA), and gray wolf optimization algorithm (GWO) are combined with optimized support vector regression (SVR), and three intelligent hybrid swarm optimization prediction models are constructed to predict the deformation of extruding surrounding rock tunnels. A database containing 62 samples was constructed, and seven initial parameters of tunnels and surrounding rock were selected as the input parameters of the prediction models, with the radial deformation of tunnels as the output quantity. The coefficient of determination (
R 2), root-mean-square error (RMSE ), and mean absolute error (MAE ) were selected as the evaluation indices of the model's prediction performance. Finally, the effects of different input parameters on the prediction results of tunnel rock deformation were evaluated via normalized mutual information values.Results Compared with the GWO-SVR and WOA-SVR models, the FA-SVR model demonstrated superior predictive performance during both the training and testing phases. The corresponding
R 2 values were0.9634 and0.9648 , theRMSE values were 18.786 and 14.699, and theMAE values were 9.460 and 11.170 for the training and testing sets, respectively. The ranking of predictive capability was as follows: FA-SVR>WOA-SVR>GWO-SVR. The firefly algorithm, whale optimization algorithm, and gray wolf optimization algorithm can improve the prediction performance of the support vector regression model. The FA-SVR model has the best prediction effect, and the optimized hybrid prediction model performs significantly better than the classical models. The sensitivity analysis reveals that the joint frequency is the most important parameter affecting the predicted value of deformation of the rock surrounding a tunnel.Conclusion The research results can provide an important reference for the safety control of tunnel engineering.
-
表 1 隧道变形预测模型中GWO、FA、WOA初始参数取值
Table 1. Initial parameter values of GWO, FA, and WOA in tunnel deformation prediction models
算法名称 参数 数值 GWO v [2, 0] FA γ 1 β0 2 α 0.2 rand 0.94 WOA m 0.5 q [2, 0] z 1 p 0.5 注:v. 灰狼优化算法(GWO)的参数,在迭代过程中由 2 递减到0;γ. 萤火虫算法(FA)光强吸收系数;β0. 萤火虫算法(FA)最大吸引度;α. 萤火虫算法(FA)步长因子;rand. 萤火虫算法(FA)0~1之间服从均匀分布的随机数;m. 鲸鱼优化算法(WOA)0~1之间的随机数;q. 鲸鱼优化算法(WOA)的参数,在2到0之间线性递减;z. 鲸鱼优化算法(WOA)描述螺旋形状的常数;p. 鲸鱼优化算法(WOA)0~1之间的随机数 表 2 基于SVR的混合模型预测效果
Table 2. Prediction performance of hybrid model based on SVR
模型(训练集) R2 R2综合评分 RMSE RMSE综合评分 MAE MAE综合评分 总评分 GWO-SVR 0.9587 1 19.946 1 9.828 1 3 FA-SVR 0.9634 3 18.786 3 9.460 3 9 WOA-SVR 0.9594 2 19.797 2 9.814 2 6 模型(测试集) R2 R2综合评分 RMSE RMSE综合评分 MAE MAE综合评分 总评分 GWO-SVR 0.9589 1 15.870 1 11.987 1 3 FA-SVR 0.9648 3 14.699 3 11.170 3 9 WOA-SVR 0.9619 2 15.282 2 11.386 2 6 -
[1] 阳军生, 刘宝琛. 挤压式盾构隧道施工引起的地表移动及变形[J]. 岩土力学, 1998, 19(3): 10-13.YANG J S, LIU B C. Ground surface movement and deformation due to tunnel construction by squeezing shield[J]. Rock and Soil Mechanics, 1998, 19(3): 10-13. (in Chinese with English abstract [2] 许再良, 孙元春. 雁门关铁路隧道挤压变形问题分析[J]. 岩石力学与工程学报, 2014, 33(增刊2): 3834-3839.XU Z L, SUN Y C. Analysis of extrusion deformation of Yanmenguan Railway Tunnel[J]. Chinese Journal of Rock Mechanics and Engineering, 2014, 33(S2): 3834-3839. (in Chinese with English abstract [3] 李国良, 李宁. 挤压性围岩隧道若干基本问题探讨[J]. 现代隧道技术, 2018, 55(1): 1-6.LI G L, LI N. Discussion of tunnelling in squeezed surrounding rock[J]. Modern Tunnelling Technology, 2018, 55(1): 1-6. (in Chinese with English abstract [4] 徐啸川, 徐光黎, 林高炜, 等. 小尺寸模型在五峰隧道涌突水判别中的应用[J]. 地质科技通报, 2023, 42(6): 42-52.XU X C, XU G L, LIN G W, et al. Application of a small-scale model test in distinguishing of water inrush in the Wufeng Tunnel[J]. Bulletin of Geological Science and Technology, 2023, 42(6): 42-52. (in Chinese with English abstract [5] 单士军. 软弱围岩公路隧道开挖支护施工过程研究[D]. 成都: 西南交通大学, 2005.SHAN S J. Study of excavating and supporting during the construction of softrock highway tunnel[D]. Chengdu: Southwest Jiaotong University, 2005. (in Chinese with English abstract [6] ARORA K, GUTIERREZ M. Viscous-elastic-plastic response of tunnels in squeezing ground conditions: Analytical modeling and experimental validation[J]. International Journal of Rock Mechanics and Mining Sciences, 2021, 146: 104888. doi: 10.1016/j.ijrmms.2021.104888 [7] LI S J, ZHAO H B, RU Z L. Deformation prediction of tunnel surrounding rock mass using CPSO-SVM model[J]. Journal of Central South University, 2012, 19(11): 3311-3319. doi: 10.1007/s11771-012-1409-3 [8] ZHOU J, CHEN Y X, LI C Q, et al. Machine learning models to predict the tunnel wall convergence[J]. Transportation Geotechnics, 2023, 41: 101022. doi: 10.1016/j.trgeo.2023.101022 [9] 文国军, 高晓峰, 毛宇, 等. 基于GRU-CNN网络的隧道裂缝实时检测算法[J]. 地质科技通报, 2023, 42(6): 249-256.WEN G J, GAO X F, MAO Y, et al. Real-time detection algorithm of tunnel cracks based on GRU-CNN[J]. Bulletin of Geological Science and Technology, 2023, 42(6): 249-256. (in Chinese with English abstract [10] 强跃, 李绍红, 刘超琼. 基于多尺度组合核极限学习机模型的隧道围岩变形预测及应用[J]. 现代隧道技术, 2017, 54(6): 70-76.QIANG Y, LI S H, LIU C Q. Deformation prediction for a tunnel rock mass based on the multi-scale combination kernel extreme learning machine model[J]. Modern Tunnelling Technology, 2017, 54(6): 70-76. (in Chinese with English abstract [11] 王文玉, 王希良, 张骞. 基于关联分析和遗传算法优化BP的隧道围岩变形预测[J]. 铁道标准设计, 2020, 64(5): 126-132.WANG W Y, WANG X L, ZHANG Q. Deformation prediction of tunnel surrounding rock based on correlation analysis and genetic-algorithm optimized BP[J]. Railway Standard Design, 2020, 64(5): 126-132. (in Chinese with English abstract [12] KANG Y, WANG J H. A support-vector-machine-based method for predicting large-deformation in rock mass[C]//Anon. 2010 Seventh International Conference on Fuzzy Systems and Knowledge Discovery. Yantai, China: IEEE, 2010: 1176-1180. [13] YAO B Z, YANG C Y, YAO J B, et al. Tunnel surrounding rock displacement prediction using support vector machine[J]. International Journal of Computational Intelligence Systems, 2010, 3(6): 843-852. [14] VAPNIK V N. The nature of statistical learning theory[M]. New York: Springer, 1995. [15] SMOLA A J, SCHÖLKOPF B. A tutorial on support vector regression[J]. Statistics and Computing, 2004, 14(3): 199-222. doi: 10.1023/B:STCO.0000035301.49549.88 [16] ABBASZADEH SHAHRI A, MAGHSOUDI MOUD F, MIRFALLAH LIALESTANI S P. A hybrid computing model to predict rock strength index properties using support vector regression[J]. Engineering with Computers, 2022, 38(1): 579-594. doi: 10.1007/s00366-020-01078-9 [17] GUO H Q, NGUYEN H, BUI X N, et al. A new technique to predict fly-rock in bench blasting based on an ensemble of support vector regression and GLMNET[J]. Engineering with Computers, 2021, 37(1): 421-435. doi: 10.1007/s00366-019-00833-x [18] BAYDAROĞLU Ö, KOÇAK K. SVR-based prediction of evaporation combined with chaotic approach[J]. Journal of Hydrology, 2014, 508: 356-363. doi: 10.1016/j.jhydrol.2013.11.008 [19] CASTRO-NETO M, JEONG Y S, JEONG M K, et al. Online-SVR for short-term traffic flow prediction under typical and atypical traffic conditions[J]. Expert Systems with Applications, 2009, 36(3): 6164-6173. doi: 10.1016/j.eswa.2008.07.069 [20] ZHANG Y, SUN H X, GUO Y J. Wind power prediction based on PSO-SVR and grey combination model[J]. IEEE Access, 2019, 7: 136254-136267. doi: 10.1109/ACCESS.2019.2942012 [21] YANG X S, SLOWIK A. Firefly algorithm[M]. Boca Raton: CRC Press, 2020: 163-174. [22] MIRJALILI S, MIRJALILI S M, LEWIS A. Grey wolf optimizer[J]. Advances in Engineering Software, 2014, 69: 46-61. doi: 10.1016/j.advengsoft.2013.12.007 [23] MIRJALILI S, LEWIS A. The whale optimization algorithm[J]. Advances in Engineering Software, 2016, 95: 51-67. doi: 10.1016/j.advengsoft.2016.01.008 [24] DWIVEDI R D, SINGH M, VILADKAR M N, et al. Prediction of tunnel deformation in squeezing grounds[J]. Engineering Geology, 2013, 161: 55-64. doi: 10.1016/j.enggeo.2013.04.005 [25] 王琦琳. 雅康高速天河隧道出口偏压段变形机理及治理研究[D]. 成都: 西南交通大学, 2018.WANG Q L. Study on deformation mechanism and management of outlet bias section of Yakang Expressway Tianhe Tunnel[D]. Chengdu: Southwest Jiaotong University, 2018. (in Chinese with English abstract [26] 孙华圣, 孙文彬, 宗荣, 等. 隧道土体刚度比对开挖引起隧道变形影响[J]. 淮阴工学院学报, 2016, 25(5): 19-23.SUN H S, SUN W B, ZONG R, et al. Effect of tunnel-soil stiffness ratio on tunnel deformation caused by basement excavation[J]. Journal of Huaiyin Institute of Technology, 2016, 25(5): 19-23. (in Chinese with English abstract [27] 赵淑敏. 基于多重判据综合确定的隧道二衬支护时机研究[J]. 工程勘察, 2023, 51(8): 18-24.ZHAO S M. Study on the second lining support time of tunnel based on multiple criteria[J]. Geotechnical Investigation & Surveying, 2023, 51(8): 18-24. (in Chinese with English abstract [28] RAMAMURTHY T, ARORA V K. Strength predictions for jointed rocks in confined and unconfined states[J]. International Journal of Rock Mechanics and Mining Sciences & Geomechanics Abstracts, 1994, 31(1): 9-22. [29] LI E M, ZHOU J, SHI X Z, et al. Developing a hybrid model of salp swarm algorithm-based support vector machine to predict the strength of fiber-reinforced cemented paste backfill[J]. Engineering with Computers, 2021, 37(4): 3519-3540. doi: 10.1007/s00366-020-01014-x [30] ZHOU J, DAI Y, KHANDELWAL M, et al. Performance of hybrid SCA-RF and HHO-RF models for predicting backbreak in open-pit mine blasting operations[J]. Natural Resources Research, 2021, 30(6): 4753-4771. doi: 10.1007/s11053-021-09929-y [31] YU Z, SHI X Z, MIAO X H, et al. Intelligent modeling of blast-induced rock movement prediction using dimensional analysis and optimized artificial neural network technique[J]. International Journal of Rock Mechanics and Mining Sciences, 2021, 143: 104794. doi: 10.1016/j.ijrmms.2021.104794 [32] ZORLU K, GOKCEOGLU C, OCAKOGLU F, et al. Prediction of uniaxial compressive strength of sandstones using petrography-based models[J]. Engineering Geology, 2008, 96(3/4): 141-158. [33] SATICI Ö, TOPAL T. Prediction of tunnel wall convergences for NATM tunnels which are excavated in weak-to-fair-quality rock masses using decision-tree technique and rock mass strength parameters[J]. SN Applied Sciences, 2020, 2(4): 546. doi: 10.1007/s42452-020-2311-5 [34] FEI J B, WU Z Z, SUN X H, et al. Research on tunnel engineering monitoring technology based on BPNN neural network and MARS machine learning regression algorithm[J]. Neural Computing and Applications, 2021, 33(1): 239-255. doi: 10.1007/s00521-020-04988-3 [35] PAN Y, CHEN L, WANG J, et al. Research on deformation prediction of tunnel surrounding rock using the model combining firefly algorithm and nonlinear auto-regressive dynamic neural network[J]. Engineering with Computers, 2021, 37(2): 1443-1453. doi: 10.1007/s00366-019-00894-y [36] HAJIHASSANI M, ABDULLAH S S, ASTERIS P G, et al. A gene expression programming model for predicting tunnel convergence[J]. Applied Sciences, 2019, 9(21): 4650. doi: 10.3390/app9214650 [37] MAHDEVARI S, TORABI S R, MONJEZI M. Application of artificial intelligence algorithms in predicting tunnel convergence to avoid TBM jamming phenomenon[J]. International Journal of Rock Mechanics and Mining Sciences, 2012, 55: 33-44. doi: 10.1016/j.ijrmms.2012.06.005 [38] BENNETT P J, SOGA K, WASSELL I, et al. Wireless sensor networks for underground railway applications: Case studies in Prague and London[J]. Smart Structures and Systems, 2010, 6(5/6): 619-639. doi: 10.12989/sss.2010.6.5_6.619 [39] KARAKUS M, OZSAN A, BAŞARıR H. Finite element analysis for the twin metro tunnel constructed in Ankara Clay, Turkey[J]. Bulletin of Engineering Geology and the Environment, 2007, 66(1): 71-79. doi: 10.1007/s10064-006-0056-z [40] STUDHOLME C, HILL D L G, HAWKES D J. An overlap invariant entropy measure of 3D medical image alignment[J]. Pattern Recognition, 1999, 32(1): 71-86. doi: 10.1016/S0031-3203(98)00091-0 -
下载:
