Volume 44 Issue 6
Dec.  2025
Turn off MathJax
Article Contents
JIN Yu,CHEN Wenling,WANG Mingsen,et al. Dynamic law of suction during the evaporation process of saline soil based on dew point water potential meter and filter paper method[J]. Bulletin of Geological Science and Technology,2025,44(6):270-280 doi: 10.19509/j.cnki.dzkq.tb20240065
Citation: JIN Yu,CHEN Wenling,WANG Mingsen,et al. Dynamic law of suction during the evaporation process of saline soil based on dew point water potential meter and filter paper method[J]. Bulletin of Geological Science and Technology,2025,44(6):270-280 doi: 10.19509/j.cnki.dzkq.tb20240065

Dynamic law of suction during the evaporation process of saline soil based on dew point water potential meter and filter paper method

doi: 10.19509/j.cnki.dzkq.tb20240065
More Information
  • Author Bio:

    E-mail:jinyu2021@cug.edu.cn

  • Corresponding author: E-mail:liuyf@cug.edu.cn
  • Received Date: 27 Feb 2024
  • Accepted Date: 15 May 2024
  • Rev Recd Date: 27 Mar 2024
  • Available Online: 15 Oct 2025
  • Objective 

    In order to obtain total suction, matric suction and osmotic suction during the evaporation process of saline soil, the dynamic variation characteristics of each suction force under different water and salt conditions and its influence on evaporation were clarified.

    Methods 

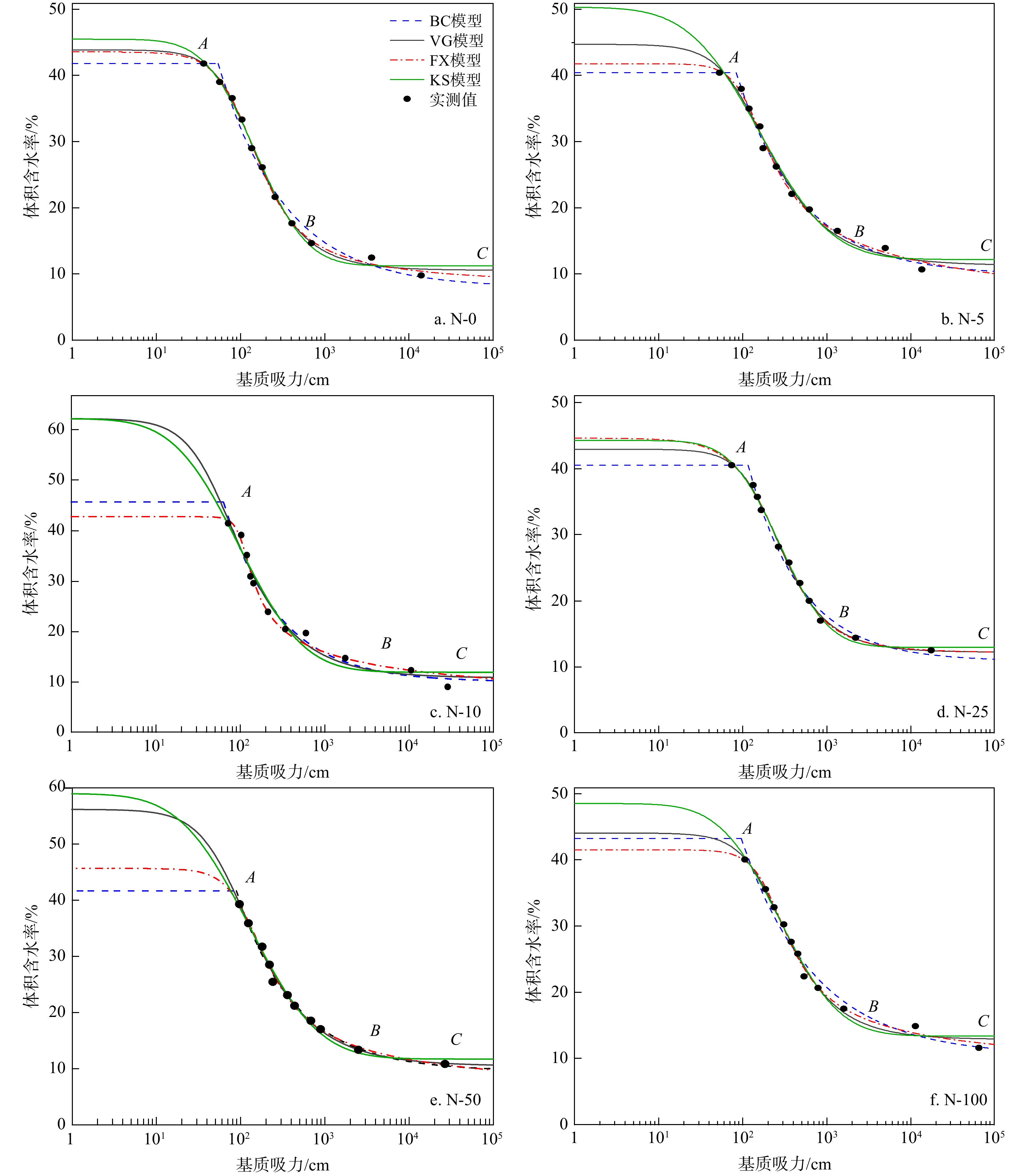
    A combination of a cold mirror dew point water potential meter and a parallel contact filter paper method was employed to analyze the dynamic processes of total suction, matric suction, and osmotic suction during soil evaporation with different salt contents, as well as their effects on soil evaporation. Four commonly used soil water characteristic curve models were selected, and the relationship between matric suction and water content was fitted by SWRC-Fit package.

    Results 

    The results indicate that the proportion of matric suction and osmotic suction to total suction continuously changes during the evaporation process of saline soil, with the latter always being higher than the former. Both moisture content and salinity affect the magnitude of soil osmotic suction, with salinity showing a more significant impact. The intensity and duration of soil evaporation are both affected by soil salinity.

    Conclusion 

    Total suction, matric suction and osmotic suction in unsaturated soil during the evaporation process can be simultaneously obtained by WP4C and parallel contact filter paper method. The Fredlund and Xing model accurately fits the experimental data, maintaing good fitting accuracy throughout all evaporation stages, which further proves the reliability of the experimental method and data.

     

  • loading
  • [1]
    花圣卓, 蔡昕, 余新晓. 平坦下垫面植被蒸散特征及对气象因素的响应研究[J]. 水土保持学报, 2016, 30(3): 344-350.

    HUA S Z, CAI X, YU X X. Study on the evapotranspiration features of vegetation over flat underlying surface and response to meteorological factors[J]. Journal of Soil and Water Conservation, 2016, 30(3): 344-350. (in Chinese with English abstract
    [2]
    SHOKRI-KUEHNI S M S, RAAIJMAKERS B, KURZ T, et al. Water table depth and soil salinization: From pore-scale processes to field-scale responses[J]. Water Resources Research, 2020, 56(2): e2019WR026707. doi: 10.1029/2019WR026707
    [3]
    DONG C Y, WANG N A, CHEN J S, et al. New observational and experimental evidence for the recharge mechanism of the lake group in the Alxa Desert, north-central China[J]. Journal of Arid Environments, 2016, 124: 48-61. doi: 10.1016/j.jaridenv.2015.07.008
    [4]
    彭振阳, 郭会, 伍靖伟, 等. 溶质势对地表蒸发速率的影响[J]. 水科学进展, 2013, 24(2): 235-242.

    PENG Z Y, GUO H, WU J W, et al. Contribution of osmotic potential on bare soil evaporation rate[J]. Advances in Water Science, 2013, 24(2): 235-242. (in Chinese with English abstract
    [5]
    宁卢, 威廉·力科思. 非饱和土力学[M]. 北京: 高等教育出版社, 2012.

    NING L, LIKOS W J. Unsaturated soil mechanics[M]. Beijing: Higher Education Press, 2012. (in Chinese)
    [6]
    邵明安, 王全九, 黄明斌. 土壤物理学[M]. 北京: 高等教育出版社, 2006.

    SHAO M A, WANG Q J, HUANG M B. Soil physics[M]. Beijing: Higher Education Press, 2006. (in Chinese)
    [7]
    谢定义. 非饱和土土力学[M]. 北京: 高等教育出版社, 2015.

    XIE D Y. Soil mechanics for unsaturated soils[M]. Beijing: Higher Education Press, 2015. (in Chinese)
    [8]
    周凤玺, 王立业, 赖远明. 饱和盐渍土渗透吸力的回顾及研究[J]. 岩土工程学报, 2020, 42(7): 1199-1210. doi: 10.11779/CJGE202007003

    ZHOU F X, WANG L Y, LAI Y M. Review and research on osmotic suction of saturated saline soils[J]. Chinese Journal of Geotechnical Engineering, 2020, 42(7): 1199-1210. (in Chinese with English abstract doi: 10.11779/CJGE202007003
    [9]
    CHEN H E, LI J F, YUAN X Q, et al. Influence of water and salt on suction characteristics of unsaturated clay: Variation, mechanism, and fitting[J]. Bulletin of Engineering Geology and the Environment, 2021, 80(11): 8535-8551. doi: 10.1007/s10064-021-02435-8
    [10]
    ENGELHARDT W V, GAIDA K H. Concentration changes of pore solutions during compaction of clay sediments[J]. Journal of Sedimentary Research, 1963, 33(4): 919-930. doi: 10.1306/74D70F74-2B21-11D7-8648000102C1865D
    [11]
    张爱军, 王毓国, 邢义川, 等. 伊犁黄土总吸力和基质吸力土水特征曲线拟合模型[J]. 岩土工程学报, 2019, 41(6): 1040-1049. doi: 10.11779/CJGE201906007

    ZHANG A J, WANG Y G, XING Y C, et al. Fitting models for soil-water characteristic curve of total and matrix suctions of Yili loess[J]. Chinese Journal of Geotechnical Engineering, 2019, 41(6): 1040-1049. (in Chinese with English abstract doi: 10.11779/CJGE201906007
    [12]
    LEONG E C, TRIPATHY S, RAHARDJO H. Total suction measurement of unsaturated soils with a device using the chilled-mirror dew-point technique[J]. Géotechnique, 2003, 53(2): 173-182.
    [13]
    AGUS S S, SCHANZ T. Comparison of four methods for measuring total suction[J]. Vadose Zone Journal, 2005, 4(4): 1087-1095. doi: 10.2136/vzj2004.0133
    [14]
    WANARE R, SHETTY R, JAYANTHI P N V, et al. Investigation to quantify suction characteristics of marine soil during drying and wetting cycles[J]. Geotechnical Testing Journal, 2021, 44(1): 112-129. doi: 10.1520/GTJ20190199
    [15]
    HAGHVERDI A, NAJARCHI M, ÖZTÜRK H S, et al. Studying unimodal, bimodal, PDI and bimodal-PDI variants of multiple soil water retention models: I. direct model fit using the extended evaporation and dewpoint methods[J]. Water, 2020, 12(3): 900. doi: 10.3390/w12030900
    [16]
    SAHA A, SEKHARAN S. Importance of volumetric shrinkage curve (VSC) for determination of soil-water retention curve (SWRC) for low plastic natural soils[J]. Journal of Hydrology, 2021, 596: 126113. doi: 10.1016/j.jhydrol.2021.126113
    [17]
    ROY S, RAJESH S. Influence of confining pressure on water retention characteristics of compacted soil[J]. Indian Geotechnical Journal, 2018, 48(2): 327-341. doi: 10.1007/s40098-017-0265-3
    [18]
    白福青, 刘斯宏, 袁骄. 滤纸法测定南阳中膨胀土土水特征曲线试验研究[J]. 岩土工程学报, 2011, 33(6): 928-933.

    BAI F Q, LIU S H, YUAN J. Measurement of SWCC of Nanyang expansive soil using the filter paper method[J]. Chinese Journal of Geotechnical Engineering, 2011, 33(6): 928-933. (in Chinese with English abstract
    [19]
    谷琪, 王家鼎, 仝云莉, 等. 滤纸法测非饱和黄土土水特征曲线试验及拟合研究[J]. 土壤通报, 2016, 47(3): 588-593.

    GU Q, WANG J D, TONG Y L, et al. Soil water characteristic curve test and simulation of unsaturated loess based on filter paper method[J]. Chinese Journal of Soil Science, 2016, 47(3): 588-593. (in Chinese with English abstract
    [20]
    ASTM Internation. Standard test method for measurement of soil potential (suction) using filter paper: ASTM D5298-16[S]. [S. 1.]: ASTM Internation, 2016.
    [21]
    李旭, 刘阿强, 刘丽, 等. 全吸力范围内土−水特征曲线的快速测定方法[J]. 岩土力学, 2022, 43(2): 299-306.

    LI X, LIU A Q, LIU L, et al. A rapid method for determining the soil-water characteristic curves in the full suction range[J]. Rock and Soil Mechanics, 2022, 43(2): 299-306. (in Chinese with English abstract
    [22]
    许海楠, 谢强, 赵梦怡, 等. 冷镜露点技术在非饱和成都黏土吸力测试中的应用[J]. 工程地质学报, 2017, 25(4): 953-958.

    XU H N, XIE Q, ZHAO M Y, et al. Measurement of soil suction for remoulded Chengdu clay with chilled-mirror dew-point technology[J]. Journal of Engineering Geology, 2017, 25(4): 953-958. (in Chinese with English abstract
    [23]
    吴克宁, 赵瑞. 土壤质地分类及其在我国应用探讨[J]. 土壤学报, 2019, 56(1): 227-241.

    WU K N, ZHAO Y. Soil texture classification and its application in China[J]. Acta Pedologica Sinica, 2019, 56(1): 227-241. (in Chinese with English abstract
    [24]
    朱赞成, 孙德安, 田进. 高吸力高温度下2种滤纸率定曲线及其应用[J]. 岩土工程学报, 2014, 36(6): 1020-1027.

    ZHU Z C, SUN D A, TIAN J. Calibration curves of two filter papers at high suction and temperature and their application[J]. Chinese Journal of Geotechnical Engineering, 2014, 36(6): 1020-1027. (in Chinese with English abstract
    [25]
    晁建红. 基于滤纸法的黄土土−水特征曲线测试[D]. 西安: 长安大学, 2017

    CHAO J H. Experimental study on soil-water characteristic curve of loess using filter paper method[D]. Xi'an: Changan University, 2017. (in Chinese with English abstract
    [26]
    FAWCETT R G, COLLIS-GEORGE N. A filter-paper method for determining the moisture characteristics of soil[J]. Australian Journal of Experimental Agriculture, 1967, 7(25): 162. doi: 10.1071/EA9670162
    [27]
    HAMBLIN A P. Filter-paper method for routine measurement of field water potential[J]. Journal of Hydrology, 1981, 53(3/4): 355-360.
    [28]
    唐栋, 李典庆, 金浩飞, 等. 国产“双圈” 牌滤纸吸力率定曲线研究[J]. 武汉大学学报(工学版), 2016, 49(1): 1-8.

    TANG D, LI D Q, JIN H F, et al. Research on calibration curves of home-made "Double Circle" filter papers[J]. Engineering Journal of Wuhan University, 2016, 49(1): 1-8. (in Chinese with English abstract
    [29]
    WANG Y G, ZHANG A J, REN W Y, et al. Study on the soil water characteristic curve and its fitting model of Ili loess with high level of soluble salts[J]. Journal of Hydrology, 2019, 578: 124067. doi: 10.1016/j.jhydrol.2019.124067
    [30]
    TOKUNAGA T K. Hydraulic properties of adsorbed water films in unsaturated porous media[J]. Water Resources Research, 2009, 45(6): W06415.
    [31]
    WANG Y Q, JIN M G, DENG Z J. Alternative model for predicting soil hydraulic conductivity over the complete moisture range[J]. Water Resources Research, 2018, 54(9): 6860-6876. doi: 10.1029/2018WR023037
    [32]
    WANG Y Q, MA R, ZHU G F. Improved prediction of hydraulic conductivity with a soil water retention curve that accounts for both capillary and adsorption forces[J]. Water Resources Research, 2022, 58(4): e2021WR031297. doi: 10.1029/2021WR031297
    [33]
    孙德安, 张谨绎, 宋国森. 氯盐渍土土−水特征曲线的试验研究[J]. 岩土力学, 2013, 34(4): 955-960.

    SUN D A, ZHANG J Y, SONG G S. Experimental study of soil-water characteristic curve of chlorine saline soil[J]. Rock and Soil Mechanics, 2013, 34(4): 955-960. (in Chinese with English abstract
    [34]
    唐洋, 李新虎, 郭敏, 等. 不同初始盐分浓度下土壤盐结皮的形成过程及其对蒸发的影响机理[J]. 干旱区地理, 2022, 45(4): 1137-1145. doi: 10.12118/j.issn.1000-6060.2021.438

    TANG Y, LI X H, GUO M, et al. Formation process of soil salt crust and its influence mechanism on evaporation under different initial salt concentrations[J]. Arid Land Geography, 2022, 45(4): 1137-1145. (in Chinese with English abstract doi: 10.12118/j.issn.1000-6060.2021.438
    [35]
    于沉香, 张虎元, 王志硕, 等. 盐渍土土水特征曲线测试及预测[J]. 水文地质工程地质, 2013, 40(2): 113-118.

    YU C X, ZHANG H Y, WANG Z S, et al. Test and prediction of SWCC of saline soil[J]. Hydrogeology & Engineering Geology, 2013, 40(2): 113-118. (in Chinese with English abstract
    [36]
    祁翠婷, 詹红兵, 郝永红. 包气带井回灌引起的非饱和−饱和流分析[J]. 地质科技通报, 2023, 42(4): 118-129.

    QI C T, ZHAN H B, HAO Y H. Analysis of unsaturated-saturated flow induced by a vadose zone well injection[J]. Bulletin of Geological Science and Technology, 2023, 42(4): 118-129. (in Chinese with English abstract
    [37]
    BROOKS R H, COREY A T. Hydraulic properties of porous media[M]. Fort Collins: Colorado State University, 1964.
    [38]
    VAN GENUCHTEN M T. A closed-form equation for predicting the hydraulic conductivity of unsaturated soils[J]. Soil Science Society of America Journal, 1980, 44(5): 892-898. doi: 10.2136/sssaj1980.03615995004400050002x
    [39]
    FREDLUND D G, XING A Q. Equations for the soil-water characteristic curve[J]. Canadian Geotechnical Journal, 1994, 31(4): 521-532. doi: 10.1139/t94-061
    [40]
    KOSUGI K. Lognormal distribution model for unsaturated soil hydraulic properties[J]. Water Resources Research, 1996, 32(9): 2697-2703. doi: 10.1029/96WR01776
    [41]
    SEKI K, TORIDE N, VAN GENUCHTEN M T. Evaluation of a general model for multimodal unsaturated soil hydraulic properties[J]. Journal of Hydrology and Hydromechanics, 2023, 71(1): 22-34. doi: 10.2478/johh-2022-0039
    [42]
    BURNHAM K P, ANDERSON D R. Multimodel inference[J]. Sociological Methods & Research, 2004, 33(2): 261-304.
    [43]
    EYO E U, NG'AMBI S, ABBEY S J. An overview of soil-water characteristic curves of stabilised soils and their influential factors[J]. Journal of King Saud University (Engineering Sciences), 2022, 34(1): 31-45. doi: 10.1016/j.jksues.2020.07.013
    [44]
    向峥宇, 潘欢迎, 邓斌, 等. 基于蒸发法和联合测定仪测定土壤水分特征曲线和非饱和渗透系数的试验研究[J]. 地质科技通报, 2023, 42(4): 210-217.

    XIANG Z Y, PAN H Y, DENG B, et al. Experimental study of the soil water characteristic curve and unsaturated permeability coefficient based on the evaporation method and combined measuring instrument[J]. Bulletin of Geological Science and Technology, 2023, 42(4): 210-217. (in Chinese with English abstract
  • 加载中

Catalog

    通讯作者: 陈斌, bchen63@163.com
    • 1. 

      沈阳化工大学材料科学与工程学院 沈阳 110142

    1. 本站搜索
    2. 百度学术搜索
    3. 万方数据库搜索
    4. CNKI搜索

    Article Metrics

    Article Views(205) PDF Downloads(39) Cited by()
    Proportional views
    Related

    /

    DownLoad:  Full-Size Img  PowerPoint
    Return
    Return