2024 Vol. 43, No. 1

Display Method:
Spatiotemporal distribution and genesis types of global cobalt resources
FU Hao, WANG Jiasheng, LI Jinlong, WANG Bo, YE Bin, LI Mengling
2024, 43(1): 1-22. doi: 10.19509/j.cnki.dzkq.tb20220431
Abstract:
Significance

Cobalt is an important strategic mineral resource and plays an irreplaceable role in aerospace, battery and other industries. Cobalt is mainly concentrated in few countries around the world and is one of the scarcest mineral resources in China. The cobalt ore resources in China are heavily dependent on imports. Therefore, research on cobalt ore resources is vital to reduce the bottleneck risk and to sustain the economic development.

Progress

This paper systematically reviewed geochemical properties and mineral types of cobalt and the genetic types, formation mechanisms, and spatiotemporal distribution of cobalt deposits in the world and China.

Conclusions and prospects

The existing problems of cobalt deposits are comprehensively summarized in the study and future research should be focused on the ore-forming age and the dynamic background of cobalt deposits, the source, migration and enrichment mechanism, and the occurrence of cobalt. This study aims to provide a new reference for the study of cobalt deposits and the exploration and development of cobalt resources in China.

Research advances on mineralization and types of the alkaline granite-related rare metal and rare earth element deposits
JI Hao, LI Yanjun, LI Yiming, LENG Shuangliang, YANG Ziwen
2024, 43(1): 23-38. doi: 10.19509/j.cnki.dzkq.tb20220397
Abstract:
Significance

Alkaline granites are one of the most important intrusions associated with rare metal and rare earth element mineralization.

Progress

Recently, alkaline granite-related rare metal and rare earth element deposits have achieved a number of important advances in classification, sources of ore-forming fluids and materials, and enrichment mechanisms. Alkaline granites are usually enriched in high field strength elements (HFSEs) and rare earth elements (REEs). These deposits can be divided into three types based on the relationships between mafic and oreminerals, i.e., arfvedsonite alkaline granite-related Nb-REE deposits, biotite alkaline granite-related Nb-Sn-rich deposits, and nepheline/aegirine syenite-related Nb-U-REE-rich deposits. Mineralization ages of these deposits are concentrated in the Paleozoic-Cenozoic. The deposits are formed in an extensional setting associated with break-up and convergence of continents and supercontinents. Two stages of ore-forming fluids, early-stage magmatic differentiation and late-stage hydrothermal metasomatism, are recognized for the formation of these deposits. Previous studies indicate that ore-forming fluids exsolved from alkaline magmas are characterized by low temperatures, high salinities and rich fluorine, which can lead to the super high enrichment of HFSEs and REEs in alkaline granites. Incompatible elements in parental magmas can be enriched in exsolved fluids and can lead to the formation of rare metal and rare earth element ores due to F-rich fluid fractional crystallization or hydrothermal alteration in the late magmatic stage. The ore-forming materials were dominantly originated from mantle-derived magmas, crust- and mantle-derived magma mixing, or subducted oceanic crust.

Conclusions and Prospects

Hydrothermal metasomatism and magmatic fractional crystallization are two enrichment mechanisms commonly used to interpret the formation of these deposits. However, most of these deposits are formed by a combination of the two mechanisms.

Fluid inclusion and C-H-O-S-Pb isotope characteristics and geological significance of lead-zinc-fluorite deposits in the Geleche area, Laifeng, Hubei Province
LUO Hua, GUO Pan, LIU Li, PAN Longke, DUAN Xianfeng, MAO Qixi, LIAO Mingfang
2024, 43(1): 39-50. doi: 10.19509/j.cnki.dzkq.tb20220242
Abstract:
Objective

Lead-zinc mineralization is widely distributed in southwestern Hubei Province, but no large deposits have been found thus far, and there is a lack of systematic studies on metallogenic systems.

Methods

The C-H-O-S-Pb isotope analysis and the homogenization temperature of fluid inclusions of lead-zinc-fluorite ore in the Geleche area of Laifeng were conducted.

Results

The results show that the homogenization temperature of fluid inclusions in fluorite and calcite is concentrated between 137-170℃, and the variation range of salinity is 11.46%-16.89%. It is a NaCl-H2O system with low temperature and medium and low salinity. The main source may be metamorphic dehydration of rock formations containing sedimentary sulfate (marine sediments). The δ34S content ranges from 9.5‰ to 11.8‰, with an average of 10.92‰. 206Pb/204Pb < 18.20, 207Pb/204Pb>15.60, and 208Pb/204Pb < 39.00, and the floating ratio is small and high μ and high ω.

Conclusion

The sulfur and lead sources are mainly from the Ordovician and Cambrian ore-bearing strata in the Paleozoic sedimentary basin of the upper crust. Syngenetic sedimentary diagenesis and epigenetic medium- and low-temperature hydrothermal transformation are the dominant genetic types of the Geleche mining area. Compared with the typical lead-zinc deposits in the Yangtze Platform of West Hubei and Hunan, they have great similarity and obvious differences in metallogenic fluid, Paleozoic sedimentary environment and tectonic background.

New progress in the metallogenic chronology of the Chishan REE deposit in Weishan County, Shandong Province
ZHANG Peng, LIU Shanshan, LAN Jun, LI Yixin, XING Nan, LIU Jingjie, LIU Yuankun, KANG Zhiqiang, YANG Feng
2024, 43(1): 51-62. doi: 10.19509/j.cnki.dzkq.2022.0265
Abstract:
Objective

The Chishan rare earth deposit in Weishan County, Shandong Province is located on the southeastern edge of the North China Plate. It is a magmatic hydrothermal rare earth deposit mainly composed of light rare earths, and is currently the third largest light rare earth deposit in China. There is still controversy over its mineralization age.

Methods

Therefore, taking the latest exploration borehole ore samples from Chishan rare earth deposit as the research object, the mineralization age of Chishan rare earth deposit was accurately determined through field investigation, mineralogy, and chronology research, using Th-Pb isotope dating of fluorocarbon cerium ore.

Results

The Th-Pb isotope dating results of 5 fluorocarbon cerium deposits indicate that the mineralization age of the Chishan rare earth deposit can be divided into two periods: the early period is (125.5±0.5)-(122.2±0.5)Ma, and the late period is (112.3±0.6) Ma.

Conclusion

The early age is basically consistent with the mineralization age of the deposit determined by previous studies, while the late mineralization age is the first report, indicating that there may be two periods of mineralization activity in the Chishan rare earth deposit, which is worthy of attention and further work.

Characteristics and geological significance of geochronologic results from the Bayan Obo deposit, Inner Mongolia
CHEN Biao, JIA Xiaoqi, WEI Wei, JIN Hailong
2024, 43(1): 63-73. doi: 10.19509/j.cnki.dzkq.tb20230255
Abstract:
Objective

The Bayan Obo deposit in Inner Mongolia is a rare superlarge REE-Nb-Fe polymetallic deposit worldwide. There are still controversies on the timing of REE mineralization in the deposit due to the complex geological evolution in the region.

Methods

Based on previous isotopic dating results, in combination with geological characteristics of the deposit, this paper re-evaluates potentially multiple episodes of REE mineralization.

Results

The Bayan Obo deposit has experienced the Precambrian tectonic evolution of the North China Craton between 2.5-1.8 Ga. The major REE mineralization was formed in the Bayan Obo rift at ~1.3 Ga during the final stage of the breakup of the Columbia supercontinent, coeval with carbonate dike in the region. Hydrothermal metasomatism or overprints occurred throughout the Bayan Obo area, which is related to the late Paleo-Asian Ocean subduction-collision orogeny in the northern margin of the North China Craton, producing the late REE veins and recrystallization of original REE minerals. Such a hydrothermal modification event has variably disturbed the isotopic system of the H8 ore-bearing dolomite, resulting in multiple periods of isotopic ages (1.0-0.2 Ga) with peaks at 440 Ma and 270 Ma.

Conclusion

In summary, the Bayan Obo deposit primarily formed from the ~1.3 Ga rift metallogenic event, superposed by Caledonian and Hercynian tectonothermal events.

Depositional system constrained by the high-precision sequence framework and the source to sink systems: A case study from the First Member of the Liushagang Formation in the Weixinan Sag
WANG Hao, ZOU Mingsheng, CUI Qinyu, GAO Mengtian, ZHANG Jingyu, LU Yongchao
2024, 43(1): 74-88. doi: 10.19509/j.cnki.dzkq.tb20220338
Abstract:
Objective

The exploration direction of the Weixinan Sag in the Beibuwan Basin has shifted from structural traps to lithological traps, and the key problem in searching for lithological traps is to clarify the distribution of sandstones.

Methods

In this study, the high-frequency sequence division and depositional system of the First Member of the Liushagang Formation in the Weixinan Sag were analyzed using zircon dating, logging, core and seismic data.

Results

Then, the types and distributions of depositional facies in the First Member of the Liushagang Formation in the Weixinan Sag were clarified. The results show that the First Member of the Liushagang Formation was deposited as a third-order sequence, which can be divided into three system tracts and eight parasequence sets. Based on the analysis of the source to sink systems and sedimentary facies, the sediments in the Weixinan Sag mainly sourced from the Wanshan provenance in the northwest, the Qixi provenance in the east, the Wexinan provenance in the southeast, and the Xinan provenance in the southwest. The First Member of the Liushagang Formation in the Weixinan Sag mainly contains three sedimentary facies types: delta, lacustrine and sublacustrine fan. The lowstand system tract is dominated by mid-deep lake and sublacustrine fan deposits, including turbidity channels, natural levee, and sheet lobes. The expanding system tract mainly contains the sedimentary microfacies of deep lacustrine mud. The highstand system tract consists of front-delta deposition, among which the subaqueous distributary channel and subaqueous distributary interchannel are widely developed, and sedimentary microfacies such as mouth bar and sheet sand are less developed.

Conclusion

Three types of sublacustrine fan are mainly developed in the B subsag, including the western delta progradation slump type, southern near source fault slope belt type, and eastern far source gentle slope type.Among them, the southern provenance system with large-scale and good reservoir-forming conditions is the most promising target for further exploration.

Quantitative analysis methods of source-to-sink systems in deep-time and their progress
CHEN Xingyu, ZHANG Zhijie, WAN Li, YUAN Xuanjun, ZHOU Chuanmin, CHENG Dawei, LIU Yinhe
2024, 43(1): 89-107. doi: 10.19509/j.cnki.dzkq.tb20220277
Abstract:
Significane

The analysis of source-to-sink system is a comprehensive study of tectonic geology, sedimentology, and sequence stratigraphy. Because of its integral, dynamic, and semiquantitative-quantitative characteristics, it has attracted widespread attention.

Progress

This review first introduces the key issues of the deep-time source-to-sink systems (pre-Quaternary systems), which include the quantitative characterization of sediment mass balance and the control of the transport process on the sediment. Due to the lack of stratigraphic records and the difficulty in obtaining parameters, the research is still challenging.Second, it reviews the quantitation methods of deep-time source-to-sink systems that can be classified into three categories, namely, geochronology, uniformitarianism, and sedimentology. By obtaining information such as geomorphological parameters, hydraulic parameters, erosion rates, and sediment flux, various methods establish the quantitative relationships between "sources" and "sinks" and then rebuild the sedimentary basin infilling history. This article introduces the principles and related parameters of different methods and then compares the advantages and limitations to provide a reference for future research. It is believed that geochronology is widely used, and the core lies in provenance analysis. The key to uniformitarianism is the analogy of geological background and the selection of geological parameters. The sedimentology is controlled by multiple variables, and the tectonic-climate background and research scale need to be considered comprehensively.

Conclusions and Prospects

Finally, this review states the development of quantitative analysis of deep-time source-to-sink systems. Under the guidance of the important idea of "the present is the key to the past", the research needs to focus on the provenance systems, sediment routing systems, sediment dispersal, and redistributive process, and coupling relationship between various parameters. Research also needs to pay attention to quantitative analysis at multiple timescales and multidisciplinary dynamic analysis. Compared with continental margin source-to-sink systems, continental lacustrine source-to-sink system patterns and prediction models need to be further improved.

Comparison of hydrocarbon generation, expulsion periods, and accumulation periods of source rocks in Member 7 of the Yanchang Formation in the Jinghe Oilfield, southern Ordos Basin
ZHANG Xinle, PING Hongwei, YANG Xin, CHEN Honghan, LI Chuanquan, HE Faqi, QI Rong
2024, 43(1): 108-121. doi: 10.19509/j.cnki.dzkq.tb20220409
Abstract:
Objective

Commercial oil accumulation in the Jinghe Oilfield of the Southwest Ordos Basin was primarily found in the Northeast area. Previous studies have shown that oil mainly sourced from the oil shale in Member 7 of the Yanchang Formation. However, whether the oil comes from the source rocks spatially located in the Jinghe Oilfield or the basin center has not been determined, which inhibits further exploration of the Jinghe Oilfield.

Methods

In this paper, the hydrocarbon generation and expulsion history of source rocks in Member 7 of the Yanchang Formation in different tectonic parts of the Jinghe Oilfield and in the basin center have been reconstructed through basin simulation. Then, the accumulation periods of oil in the Yanchang Formation reservoir have been identified using fluid inclusion technology.

Results

The time window comparison of the oil accumulation in reservoir and the hydrocarbon generation and expulsion of source rocks show that oil in the Jinghe Oilfield limitedly came from the source rocks beneath the Jinghe Oilfield but more widely came from source rocks in the basin center. The oil in the Jinghe Oilfield generally shows the migration direction from Northeast to Southwest.

Conclusion

Therefore, unlike the traditional model of short-distance vertical migration, a new model can be established as that, the oil in the Jinghe Oilfield mainly laterally migrated from the hydrocarbon kitchen in the basin center along the strike-slip fault belt. The research results can provide an important reference for the prediction of hydrocarbon accumulation zones in the Jinghe Oilfield.

Gaussian mixture model in geochemical anomaly delineation of stream sediments: A case study of Xupu, Hunan Province
LIU Xuyang, ZHAO Yuyan
2024, 43(1): 122-134. doi: 10.19509/j.cnki.dzkq.tb20220423
Abstract:
Objective

The correct processing and interpretation of geochemical exploration data are critical for regional mineral exploration. High backgrounds may be misjudged as anomalies or low and weak geochemical anomalies may be ignored, if a unified anomaly threshold is adopted for geochemical exploration data in lithologically complex regions due to different elemental abundances in different lithologies. Therefore, it is essential to identify geochemical backgrounds and anomalies in lithologically complex regions based on lithologic classification.

Methods

Here, we propose a method for delineating geochemical anomalies based on a Gaussian mixture model of factor scores. The geochemical exploration data are subjected to factor analysis after a log-ratio transformation, and then the lithologic classification is completed by the Gaussian mixture model with factor scores. Subsequently, the standardization is performed to eliminate the lithologic background, and geochemical exploration anomalies are delineated with the processed data. This method is used to the geochemical exploration data of 1:200 000 stream sediments in Xupu, Hunan Province.

Results

The results show that the contents of the metallogenic elements in various lithologies of the study area are partly different, and consequently, it would be unreasonable to adopt a uniform anomaly threshold. In contrast, the method advanced in this paper can accurately classify lithology, eliminate the background of different lithologies, and enhance low and weak anomalies, with the location of the anomalies corresponding to known deposits.

Conclusion

Hence, the Gaussian mixture model enables effective delineation of geochemical exploration anomalies in lithologically complex regions and provides certain information for further mineral prospecting in this region.

Geochemical characteristics and geological significance of Sinian crude oil from Well Tashen 5, Tahe Oilfield, Tarim Basin
LUO Mingxia, CAO Zicheng, XU Qinqi, LIU Yongli, SHANG Kai
2024, 43(1): 135-149. doi: 10.19509/j.cnki.dzkq.tb20230194
Abstract:
Objective

The Well Tashen 5 that was completed in 2021 has a burial depth of 9 017 m and is currently the deepest drilling well in Asia. It is also the first hydrocarbon breakthrough in the dolomite sectionof Upper Sinian at a depth of 8 780-8 840 m in the Tarim Basin. This is a major discovery in the field of ultradeep dolomite after the breakthrough of the Cambrian subsalt from the Well Luntan 1.

Methods

To better understand the hydrocarbon generation process, the organic geochemical characteristics of the Sinian condensate and the Upper Ordovician heavy oil in the Well Tashen 5 and its neighboring Cambrian volatile oil and Ordovician condensate were compared.

Results

The n-alkane series of both the condensate and the chloroform extracted from dolomite are well distributed in the Sinian of the Well Tashen 5, indicating the domination of anoxic environment during the deposition of organic matter. Both biomarker compounds and carbon isotope distributions in the Sinian hydrocarbons of the Well Tashen 5 are similar to those of the Ordovician normal oils-ultraheavy oils and condensate oils of the Yakla region, implying the same hydrocarbon source between the Well Tashen 5 and the Yakla region. Equivalent vitrinite reflectance (Rc) in the Sinian hydrocarbons of the Well Tashen 5 is 1.7%, which is higher than the Rc of the Upper Ordovician heavy oil and Cambrian light oil but is comparable with condensate of nearby regions and belongs to the high maturity stage.It is reasonable to suggest that, the Sinian hydrocarbons of the Well Tashen 5 were mainly sourced from the overlying Lower Sinian Yurtus Formation that also was the seal rock layer. The high-maturity condensate was generated by the Yurtus Formation in the depression area during the Late Himalayan Period and was transported into the structure traps rich in Upper Sinian dolomites along the slope.

Conclusion

The breakthrough of Sinian hydrocarbons in the Well Tashen 5 has discovered a new hydrocarbon-bearing layer, displayed the process of ultradeep hydrocarbon formation, and indicated a new exploration direction for ultradeep exploration in the Tarim Basin.

Progress in fluvial geomorphology and trend: A brief review
WANG Xianyan, YU Yang
2024, 43(1): 150-159. doi: 10.19509/j.cnki.dzkq.tb20220259
Abstract:
Significance

As an important branch in earth system science, fluvial geomorphology is the study of fluvial erosion-transport-accumulation processes (source-to-sink system), temporal-spatial change in fluvial landscapes, and impact of tectonic, climate and human activities on river evolution. Rivers connect the erosional domain of orogens and the depositional domain of ocean basins, which plays a crucial role in the earth surface system.

Progress

On the basis of a sysnthesis of main research progress in fluvial geomorphology in recent decades, this article discusses the new direction of fluvial geomorphology. With the application of high-resolution topographic data, the scope of fluvial geomorphology has expanded and deepened over the past decades, including new methods used to calculate surface erosion rates, innovation in sediment dating techniques, and the development of numerical simulations. Studies on fluvial reorganization and influences of tectonics, climate change, and human activity on river evolution have been greatly advanced.

Conclusion and Prospects

In the new era, fluvial geomorphology will focus on the frontiers in earth surface systems and national needs, strengthen the understanding of the mechanics of river formation and reorganization, and address major global and regional social-ecological issues. Furthermore, it needs to carry out the discipline overlap, serve the national strategy, and enhance its role in the research of the earth surface system.

Chronological evidence and significance of Late Pleistocene activity in the Dongshan segment of the eastern branch of the Changle-Zhao'an fault belt
GUO Jisheng, QIAO Yueqiang, TANG Yong, YU Song, ZHA Yanhong, HU Qing, LEI Dongning, CAI Yongjian
2024, 43(1): 160-172. doi: 10.19509/j.cnki.dzkq.tb20230434
Abstract:
Objective

The Changle-Zhao'an fault zone is one of the primary active faults running along the coast of the Fujian Province. This fault zone has induced several destructive earthquakes and is thus a principal seismogenic structure in the Fujian Province. Therefore, tight constraints on the Late Quaternary activity of the Changle-Zhao'an fault zone has significant significance.

Methods

Based on field survey along the Dongshan segment of the eastern branch of the Changle-Zhao'an fault in the Dongshan County, Fujian Province, the timing for the motion of this fault portion was determined to be between (34.8±8.3) ka and (48.0±3.5) ka by using K-feldspar luminescence dating of the strata above the fault break point and footwall.

Results

This indicates that the fault remained active since the Late Pleistocene. Furthermore, we estimated the potential maximum seismicity along the fault using the empirical relationship between magnitude (M) and fault dislocation (D).

Conclusion

Determination of a Late Pleistocene active fault, along with the estimate of the maximum earthquake magnitude, provides precise chronological evidence for understanding the activity of the Changle-Zhao'an fault zone. Our results thus serves as an important basis for conducting urban safety assessments in Dongshan County.

Holocene climate change in the Maoyaba Basin, western Sichuan Plateau
ZOU Siya, JI Junliang, XU Yadong, ZHU Ning
2024, 43(1): 173-183. doi: 10.19509/j.cnki.dzkq.tb20220278
Abstract:
Objective

The Holocene climate of the Tibetan Plateau (TP) is mainly controlled by midlatitude westerlies, the East Asian monsoon, and the Indian monsoon. Previous studies have identified different patterns of Holocene climate change in different regions of the TP. Holocene climate reconstructions for the entire TP help us comprehensively understand the internal linkages of different factors influencing the climate change in the TP.

Methods

In this paper, we study the Holocene climate in the eastern TP based on 14C dating, lithology and various proxies from the glaciolacustrine strata in the Maoyaba Basin in Litang County, western Sichuan Plateau.

Results

The Early-Middle Holocene glaciolacustrine sediments covered the last glacial moraines, and then the alluvial-proluvial fans were common during the Late Holocene in the Maoyaba Basin. The grain size of all samples mainly shows a bimodal size distribution after sieving out >2 mm particles. The content of the grain size below medium silt (< 32 μm) is more than 80%, which may be produced by glacial abrasion. The magnetic susceptibility increases obviously in the paleosol, and the appearance of < 1 μm particle size components may indicate that the strong magnetic minerals were generated by pedogenesis. However, the magnetic susceptibility decreased significantly in the glaciolacustrine sediments, which may be related to the dissolution of magnetic minerals in the reducing environment.

Conclusion

Comprehensive analysis of the sedimentary environment, grain size, magnetic susceptibility, total organic carbon (TOC) and color parameters indicates that the Maoyaba Basin was temperate and dry in the Early Holocene, warm and wet in the Middle Holocene, and temperate and dry in the Late Holocene. This pattern is consistent with the general trend of the Holocene climate in the eastern TP. The paleosol dated to~2 700 cal.yr. B.P. in the Maoyaba Basin indicates a relatively wet period against the background of cooling and a dry climate in the Late Holocene.

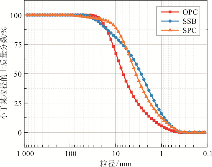
Stress-strain response of geocell-reinforced normally consolidated silty clay
SONG Fei, SHI Lei, FAN Mingzun
2024, 43(1): 184-193. doi: 10.19509/j.cnki.dzkq.tb20220428
Abstract:
Objective

The mechanical behavior of normally consolidated silty clay reinforced with geocell is of significance for engineering construction.

Methods

An analytical method was formulated for the prediction of stress-strain responses in geocell-reinforced normally consolidated clay in this paper. In addition, a series of conventional triaxial compression tests were conducted on geocell-reinforced normally consolidated clay to investigate the reinforcement effects and validate the effectiveness of the proposed method. The predicted stress-strain responses are in good agreement with those measured in the tests, affirming the efficacy of the proposed method. In addition, parametric studies were conducted to investigate the effects of the mechanical properties of the backfill pocket size and the stiffness of the geocell on the stress-strain response of the geocell-reinforced clay.

Results

The study results show that the geocell-reinforced normally consolidated clay exhibits strain hardening. The internal friction angle of the reinforced clay remained similar to unreinforced clay, whereas apparent cohesion increased due to geocell confinement.Furthermore, the reinforcement effect on the clay intensified with increasing axial strain and reducing confining pressure. The strength and stiffness of the reinforced clay increase with the increase in the nonlinear elastic parameter k and the reduction in Rf.

Conclusion

The results will be guidance for engineering construction.

Research on anti-seepage grouting in completely weathered granite based on superfine materials
LI Yongfeng, GAO Yuhao, CHEN Tianle, ZHONG Juguang, HU Yue, LI Jianzhong
2024, 43(1): 194-203. doi: 10.19509/j.cnki.dzkq.tb20220298
Abstract:
Objective

To solve the problems of "draught without slurry", poor groutability and slurry stability in the grouting process of completely weathered granite, a new composite grouting material is proposed in this paper to improve the anti-seepage and mechanical properties of completely weathered granite.

Methods

Through a series of laboratory experiments, it investigates the effects of different water-solid ratios, superfine bentonite, and superfine Portland cement content on the engineering properties of grouting materials. The formation mechanism of the slurry were studied, and the optimal formula of the cement slurry was determined. The experiment revealed the action mechanism of the two superfine materials on the fluidity, stability, and stone body strength of the grout. Finally, the castability and effectiveness of the grouting material were verified by a field test.

Results

The results show that the composite slurry with a water-solid ratio of 1.2, a content of superfine bentonite and superfine Portland cement of 10%, and a content of ordinary Portland cement of 80% has good fluidity, stability, and resistance. The funnel viscosity was 35.5 s, the water separation rate was 2.4%, and the compressive strengths at 7 d and 28 d were both greater than 5 MPa. The compressive strength and the content of superfine bentonite in the composite material play a leading role in the properties of the slurry. The content of superfine bentonite and the morphology and distribution of its hydrated colloids determine the stability of the slurry, while an appropriate amount of superfine Portland cement increases the content of fine particles, making it easier for the cement to fill the gaps between the particles and improving the injectability of the slurry and the strength of the stone body.

Conclusion

The composite grouting material has excellent performance in the field test and good grouting performance. The wall formed after grouting meets the design requirements in terms of the anti-seepage effect and reinforcement performance.

Coal mining collapse analysis of total caving method based on FLAC3D and UAV aerial surveying
WANG Zhimin, QIN Yueqiang, CHAI Chenhui, SUN Yufei, LI Pengwei, YUE Xineng
2024, 43(1): 204-215. doi: 10.19509/j.cnki.dzkq.tb20220250
Abstract:
Objective

Total caving coal mining in the upper reaches of the Yellow River in Inner Mongolia has resulted in large areas of subsidence, causing frequent ecological and environmental problems on the surface.

Methods

For the study of the surface crack development rule of the goaf and collapse stress and the displacement field evolution characteristics, for a string of the Chuancaogedan Coal Mine 6102 working face as the research object. The distribution range and rule of surface cracks were found by UAV aerial survey, a FLAC3D numerical model was constructed to analyze the variation of stress and displacement of surrounding rock in goaf.

Results

The results of the analysis were combined with the results of UAV mutual authentication. The results show that (1) The collapse is mainly in the form of ground fissures, which are mainly distributed in the northwest and midwest of the mine. There are two types of ground fractures in the working face. One type of arc-shaped stepped fracture group is distributed in parallel and appears at intervals of 5-20 m. Most of them form staggered platforms with a step height of 15-130 cm, and the fractures develop in the direction of the vertical working face advance at a deviation angle of 3°-5°. For the other kind of linear edge crack belts, exhibiting severe tensile damage, were observed along the working face peripheral, belt development can occur, a few can be spread in the inside of the working face, and the distance from the outermost crack to the working face is 38.53 m. (2) During the excavation of the underground coal seam, an obvious saddle-shaped tensile stress concentration area appears in the roof of the goaf, and with the advance of excavation, the tensile stress in the surface concentration area first increases and then decreases, with a maximum value of 0.181 MPa. (3) Complete collapse occurred at the top of the goaf, with the maximum surface vertical displacement of approximately 5.5 m located at the middle of the goaf. The maximum surface horizontal displacement was located above the coal pillar of the goaf, with a maximum value of 1.93 m. (4) Numerical simulation results regarding settlement and crack angles were found to align closely with the UAV survey data.

Conclusion

The research results can provide a reference for the solution of ecological environmental problems caused by coal seam mining.

Seepage-deformation mechanism of colluvial landslides under the action of reservoir water level decline and rainfall
XU Yilin, LI Yuanyao, LI Side, SHI Hao
2024, 43(1): 216-228. doi: 10.19509/j.cnki.dzkq.tb20220417
Abstract:
Objective

With the construction of reservoir projects, the problem of deformation and instability of colluvial landslides in reservoir areas has become increasingly prominent. These landslides often experience deformation during the period of reservoir water level decline particularly exacerbated by rainfall. Therefore, the seepage-deformation mechanism of landslides under the joint action of reservoir water level decline and rainfall is one of the key scientific issues.

Methods

In this paper, a typical colluvial landslide in the Three Gorges Reservoir Area, the Shilongmen landslide, is used as a prototype. Physical model tests were designed to observe the macroscopic phenomena of the slope body and the pressure changes in the slope during combined scenarios of reservoir level drops and rainfall of different intensities, revealing the seepage-deformation mechanism of the colluvial landslide under complex hydrological conditions.

Results

The test results indicated that the decrease in reservoir level has a more obvious effect on the control of seepage at the front of the slope, while rainfall significantly raises the water head at the middle and rear of the slope, and the combination of the two will increase the hydraulic gradient in the slope, thus inducing slope deformation.

Conclusion

The seepage-deformation mechanism of the colluvial landslide when the reservoir level drops is as follows: In the absence of rainfall, only shallow surface scouring action occurs due to the difference between the internal and external heads of the slope. Under the condition of the worst rain in a 100-year rainstorm, cracks appear near the high water level, and then overall deformation occurs, with a maximum displacement of 58.3 mm. This study can provide a theoretical basis for the prevention and control of colluvial landslides under complex hydrological conditions.

Analysis of the formation and evolution process of the Dalongchi landslide dam in the South Tianshan Mountains
GAO Xu
2024, 43(1): 229-240. doi: 10.19509/j.cnki.dzkq.tb20230322
Abstract:
Objective

Landslide dams are a geological body of key concern for engineering construction in alpine canyon areas. This paper takes the Dalongchi landslide dam in the South Tianshan Mountains as the research object to explore the origin and evolution process of the landslide dam in alpine canyon areas of the South Tianshan Mountains.

Methods

Based on satellite remote sensing images, regional data, field investigation, and geological drilling data in the Dalongchi region, combined with theoretical calculations and finite element discrete element simulations, this paper systematically delved into the deposit characteristics and the formation and evolution process of the Dalongchi damming body.

Results

The results show that (1) Many landslide scratches and grooves can be seen on the steep mountain surface on the North side of the Dalongchi damming body, of which the packing structure has obvious inverse grading features and a jigsaw structure, and it is speculated that the formation may be caused by the accumulation of the high-speed and long-distance ancient landslide of Dalongchi. (2) By conducting the recurrence of the northern original surface of the Dalongchi landslide and theoretical calculation and numerical simulation on its kinematic characteristics, the results were then induced that there was a high-speed and long-distance landslide on the north side of the mountain that led to the formation of the damming body of Dalongchi. (3) The formation and evolutionary phases of the Dalongchi damming body can be divided into the embryonic stage of ancient landslides, the river-blocking forming stage of the damming stage by ancient landslides, and the overlapping stage of ancient damming bodies.

Conclusion

The study of the formation and evolution of the Dalongchi dammingbody can provide a reference for the subsequent genetic analysis of similar studies in the southern Tianshan region.

Evaluation of geological disaster susceptibility of transmission lines under different grid resolutions
WU Liyang, YIN Kunlong, ZENG Taorui, LIU Shuhao, LIU Zhenyi
2024, 43(1): 241-252. doi: 10.19509/j.cnki.dzkq.tb20220307
Abstract:
Objective

The safe operation of transmission lines is of great significance for national economic construction and development, but there were few studies on the evaluation of geological hazards susceptibility to transmission lines.

Methods

This study focuses on the Beijing-Tianjin-Hebei region as an example, where eight index factors, including elevation, slope, aspect, terrain relief, stratigraphic lithology, distance from fault, distance from water system, and land use type were selected. The frequency ratio method was used to classify each index factor to construct a susceptibility evaluation system.Then used different machine learning models and grid of different spatial resolutions as evaluation units to evaluate the susceptibility of the study area.Finally, the machine learning model with the highest accuracy and the traditional Analytic Hierarchy Process (AHP) were selected to complete the susceptibility zoning map of the study area.

Results

The research results show that the Bayesian Network model (Bayesian Network, BN) had the best application effect and the strongest model performance in the susceptibility evaluation of regional transmission lines, and the maximum AUC value was 0.876. The BN model outperformed the traditional AHP model, displaying superior precision in susceptibility mapping in the study area.

Conclusion

In addition, emplpying 50 m grid as the evaluation unit had achieved the best application effect in the evaluation of transmission line geological disaster susceptibility, which provided ideas and references for transmission line geological disaster evaluation and grid resolution selection.

Disintegration and strength weakening characteristics of red-bed soft rock in the Shengzhou-Xinchang area under dry-wet cycles
DU Zhixiang, BAI Dingwei, SHI Bujiong, XU Rui, HUANG Shenggen
2024, 43(1): 253-261. doi: 10.19509/j.cnki.dzkq.tb20220314
Abstract:
Objective

The red-bed soft rocks is easy to disintegrate and weaken its strength when it encounters water, which is easy to cause poor stability and economic loss or even casualties in slope construction. It is of great significance to reveal the variation characteristics of cohesion and internal friction angle of red-bed soft rocks under the action of dry and wet cycling for the design of slope treatment measures.

Methods

Investigating the three groups of red-bed soft rock formations within the Lower Cretaceous Chaochuan Formation situated in the Shengzhou-Xinchang region of Zhejiang Province, this study delves into the disintegration and strength attention tendencies inherent in these formations. This exploration unfolds through a comprehensive suite of method ologies, including dry-wet cycle tests, point load strength tests of disintegrated rock blocks and direct shear tests of disintegrated particles.

Results

The results reveal that the sample undergoes disintegrates, in the form of fragments, particle slag, and mud paste due to successive dry-wet cycles. The main disintegration process can be divided into four distinct stages: Initial disintegration, rapid disintegration, fine reconfiguration, and eventual stabilization. The point load strength of the sample decreases with the increase as the number of dry-wet cycles increases, while the disintegration resistance index Idn shows a positive exponential relationship with the point load strength Is(50). Notably, the point load strength Is(50) of the sample experiences rapid weakening between 80% to 100% and 50% to 80% of the disintegration resistance index Idn, demonstrating gradual attenuation characteristics. The peak shear strength of the sample ranges between 1.219 MPa and 0.567 MPa, which mostly occurs before and after the shear displacement of 3 mm. Under the consistent axial pressure, the peak shear strength of the same group decreases with an increasing number of cycles. Additionally, the internal friction angle of disintegrated particles of the sample ranges from 22.28° to 33.03°, while the cohesion is between 0.46 MPa and 0.74 MPa. Both the friction angle and cohesion of the sample show a negative exponential relationship with the number of dry-wet cycles.

Conclusion

The test results indicate that siliceous cementation exhibits better disintegration resistance compared to argillaceous cementation, and the rock with high clay minerals more easily disintegrates. Additionally, the water absorption and expansion capacity of "white mineral" albite significantly lag behind that of clay minerals, with a lesser variance in its content compared to clay minerals.

Double-index model of landslide meteorological warning based on the I-D threshold
GONG Quanbing, YIN Kunlong, XIAO Changgui, CHEN Lixia, YAN Liangxuan, ZENG Taorui, LIU Xiepan
2024, 43(1): 262-274. doi: 10.19509/j.cnki.dzkq.tb20220254
Abstract:
Objective

Determining the rainfall threshold is of great significance in controlling the risk of rainfall-induced landslides.

Methods

A total of 98 rainfall-induced landslides in Quzhou, Zhejiang Province, were used to study the rainfall threshold. Based on the statistical analysis of the rainfall data from 1970 to 2019, the rainfall threshold models established by the I-D, E-D and E-I curves are compared and analyzed. Subsequently, a landslide meteorological warning double-index model with daily rainfall R0 and 5-day effective rainfall R5 as warning indices was established based on the I-D model. Finally, the rationality and reliability of the model were confirmed using historical rainfall and landslide data.

Results

The results show that: (1) I-D is better than E-D and E-I in predicting rainfall-induced landslides; (2) The double-index model reasonably forecasts the average annual warning times of red, orange and yellow landslides in Quzhou, which are 1.5, 3.2 and 9.3, respectively; 20 landslides can be accurately predicted by the double-index model, of which 15 landslides are red and orange, and the model has successfully predicted all eight landslides in 2014; (3) The 7 hysteretic landslides used to test the prediction ability of the model all fell into the warning area, including 3 orange, 3 yellow and 1 blue events.

Conclusion

The results proposed in this paper are helpful for the meteorological warning of landslides in Quzhou and provide new methods for government risk assessment and management.

Debris flow susceptibility evaluation of Liangshan Prefecture based on the RSIV-RF model
RAO Shanshan, LENG Xiaopeng
2024, 43(1): 275-287. doi: 10.19509/j.cnki.dzkq.tb20220267
Abstract:
Objective

In employing the random forest (RF) model for debris flow susceptibility assessment, challenges arose, including subjectivity in classifying continuous factors and the low accuracy of randomly selected nondebris flow samples. Taking Liangshan Yi Autonomous Prefecture in southwestern Sichuan Province as the study area, a random forest based on statistical prior model sampling was proposed to evaluate the debris flow susceptibility in the study area.

Methods

Continuous factors are classified by the relative changes in cumulative disaster frequency and other curves. Rough set theory (RS) and the information value method (Ⅳ) were used to calculate the weighted information values, delimit the extremely low- and low-prone areas and selecting the negative sample data. The optimal number of trees n_estimators and the number of feature splits max_features for the RF model were determined from the out-of-bag error (OOB) change curves. Subsequently, a weighted information random forest (RSIV-RF) model was constructed to predict the vulnerability of debris flow in Liangshan Prefecture. Furthermore, a comparative analysis with the RF model randomly selecting non-debris flow samples revealed the superior performance of the RSIV-RF model.

Results

The results show that the accuracy of the RSIV-RF model in the training set and the test set is 0.89 and 0.83, respectively, and the AUC value of the corresponding ROC curve is 0.920 and 0.895, respectively, which are higher than that of the RF model alone. The assessment map of debris flow susceptibility drawn by RSIV-RF is consistent with the distribution of historical disasters. The areas with high and higher susceptibility levels account for 18.625% of the study area, including 78.57% of debris flow points.

Conclusion

The results of the performance evaluation and susceptibility statistics show that RSIV-RF can solve the problem of inaccurate sampling of nondebris samples in a single model, and its prediction accuracy of debris flow susceptibility is higher. It has good adaptability in the study of debris flow susceptibility evaluation in Liangshan Prefecture.

Boron geochemical characteristics in different types of geothermal water and its indications for the genesis mechanism of geothermal systems
SHANG Jianbo, WEI Xing, CAO Yuanyuan, SHI Hongjie, LIU Mingliang
2024, 43(1): 288-297. doi: 10.19509/j.cnki.dzkq.tb20230156
Abstract:
Objective

Boron is a relatively conservative element in geothermal fluids that often accompanies geothermal systems, and its origin plays an important role in revealing the genesis mechanisms of different types of geothermal systems.

Methods

In this study, the geothermal systems of the Daggyai in Tibet and the Yinchuan Basin in Ningxia were selected for investigating the source of boron in geothermal water and its related geochemical processes in different types of geothermal systems. These study areas are typical of high-temperature and medium-low-temperature geothermal systems in China, and both have extremely high boron concentrations.

Results

Results showed that the boron in the neutral/weakly alkaline geothermal water of the Daggyai was primarily contributed by dissolution filtration of the surrounding rocks and magmatic fluid input, while the boron in the acidic geothermal water was primarily contributed by the input of shallow cold water from the subsurface. Boron in the geothermal water of Yinchuan primarily originated from the recharge of deep paleosedimentary water. On this basis, the genetic mechanisms of different types of geothermal systems were discussed by combining the regional geological background and the hydrochemical characteristics of geothermal water.

Conclusion

This study suggests that the geochemical characteristics of boron in geothermal water have the potential to identify the genesis mechanisms of different types of geothermal systems.

Effect of Cr(Ⅲ) on the activity and function of Mn(Ⅱ)-oxidizing bacteria Pseudomonas putida MnB1
YIN Yuanxue, ZHAO Yuxi, SUN Qunqun, TONG Man
2024, 43(1): 298-305. doi: 10.19509/j.cnki.dzkq.tb20220351
Abstract:
Objective

Cr(Ⅲ) often occurs together with Mn-oxidizing bacteria in natural environments. Manganese oxides, which are commonly generated from the biotic oxidation of Mn2+ by Mn(Ⅱ)-oxidizing bacteria, and are considered the main oxidants of Cr(Ⅲ) in nature.

Methods

Investigating the impact of Cr(Ⅲ) on the activity and function of Mn(Ⅱ)-oxidizing bacteria is important for understanding Mn cycling and the transformation of Cr in natural environments. In this study, Pseudomonas putida MnB1 was chosen as a representative Mn(Ⅱ)-oxidizing bacterium, and the effect and mechanisms of Cr(Ⅲ) on the activity and function of MnB1 were investigated by batch experiments.

Results

The results showed that Cr(Ⅲ) at a concentration higher than 0.05 mmol/L Cr(Ⅲ) caused significant death of MnB1, and the bactericidal effect became stronger with increasing Cr(Ⅲ) concentration. The concentration of Cr(Ⅲ) higher than 0.02 mmol/L Cr(Ⅲ) delayed the biotic oxidation of Mn(Ⅱ), and 0.2 mmol/L Cr(Ⅲ) completely inhibited the oxidation of Mn(Ⅱ). A mechanistic study revealed that the intracellular reactive oxygen species (ROS) induced by Cr(Ⅲ) and cell membrane permeability changes caused by Cr(Ⅲ) particles collaboratively inhibited the metabolism and function of MnB1.

Conclusion

This study provides a new theoretical basis for further understanding the biogeochemical cycle of manganese and the migration and transformation behavior of chromium in the natural environment.

Spatial heterogeneity characteristics of soil-epikarst thickness in a typical karst dolomite small watershed
WANG Fa, NIE Yunpeng, CHEN Hongsong, FU Zhiyong, LIAN Jinjiao
2024, 43(1): 306-314. doi: 10.19509/j.cnki.dzkq.tb20220399
Abstract:
Objective

The thickness of soilepikarst is an important index affecting the hydrological process of critical zones. The spatial heterogeneity is critical understanding the structural evolution mechanism of the key zones of the Earth and the water conservation function of the key zones of the Earth.

Methods

Based on the 1.4 km2 area of the Mulian catchment in Huanjiang, Guangxi, the 1 731 soil-epikarst thickness samples were obtained through electrical resistivity tomography (ERT) with 45 sampling lines.The spatial distribution pattern of soil and epikarst thickness and its influencing factors were investigated. The results showed that the average thickness of soil and epikarst was 1.15 m and 6.44 m with strong and medium variance, respectively.

Results

The results of geostatistical analysis indicated that the spherical model and exponential model could reflect the spatial structure characteristics of soil and epikarst thickness, respectively. Soil thickness showed moderate spatial autocorrelation, a long range and good spatial continuity. However, the epikarst presented strong spatial autocorrelation and spatial dependence with a short range. Soil thickness was affected by multiple environmental factors (topographic wetness index, vertical curvature, curvature, aspect, slope, elevation, coverage, outcrop ratio and NDVI), while the thickness of epikarst was more affected by soil thickness and vegetation type.

Conclusion

These results are helpful for understanding the evolution of the soil-epikarst zone and provide a scientific basis for the spatial prediction of soil-epikarst thickness in karst areas.

Composition of the aquatic photosynthetic organism community and its effect on trace elements in karst areas
LANG Rui, ZHAO Min, LI Dong, BAO Qian, CAI Guanxia, CHEN Bo, YANG Haiquan
2024, 43(1): 315-325. doi: 10.19509/j.cnki.dzkq.tb20220347
Abstract:
Objective

Trace elements are an important factor affecting the water quality of karst surface waters. Aquatic photosynthetic organisms can absorb and remove harmful elements in the process of photosynthetic metabolism. However, little research has been conducted on the absorption effect and removal potential of trace elements by different aquatic photosynthetic organism community structures.

Methods

This study was conducted at the Puding Karst Ecosystem National Observation and Research Station, which constructed a vegetation-soil-groundwater-surface water simulation ecosystem consisting of five types of land use: bare rock land, bare land, cultivated land, grassland and shrub land. Among them, the surface aquatic ecosystem was taken as the research object to carry out research on the removal potential and control mechanism of trace elements by the composition of aquatic photosynthetic organism community structure.

Results

Results showed that (1) The surface water chemistry parameters and aquatic photosynthetic biomass were significantly affected by seasonal changes and land use types; (2) The concentrations of Cr, Mn, Co, Ni, Fe and Zn varies significantly in different aquatic photosynthetic ecosystems, and the absorption and removal of Mn, Co, Ni, Fe, and Zn by the planktonic-submerged coexistence system were better than those of a single planktonic system; (3) The formation of a highly dissolved inorganic carbon (DIC) environment in surface water bodies was promoted by the restoration of natural vegetation (shrublands and grasslands) in karst areas, which was conducive to the growth of submerged plants, simultaneously increasing the impact on Mn, Co, Ni, Fe and Zn removal potential in surface water bodies.

Conclusion

This understanding will contribute to research on the regulatory mechanism of trace elements in surface water by the structure of aquatic photosynthetic organisms in karst areas.

Lineament mapping and deposit prospecting in the Gouli area, East Kunlun, Qinghai Province: Using multisource remote sensing data
WANG Xiaoyun, JING Guozheng, LI Wenjun, HE Junjiang, WANG Yilong, LIU Xiaoyang, TAN Jun, SHI Wenjie
2024, 43(1): 326-342. doi: 10.19509/j.cnki.dzkq.2022.0268
Abstract:
Objective

The Gouli area is one of the important gold and polymetallic belt in the East Kunlun Orogen. There is no research on lineament identification and mineral exploration based on multisource remote sensing data in the area.

Methods

In this paper, various enhancement techniques were employed on Landsat 8 OLI, GF-2 and DEM data to delineate structural lineaments. Meanwhile, information on geological, mineral and geochemical anomalies was combined to define prospecting targets in the Gouli area.

Results

The results show that (1) The tectonic framework of the study area can be divided into two regions by the boundary of Kaketeer-Seride. The lineament in the northern region is most developed in the NNE direction, followed by the near-EW direction, and less distributed in the NW and NE directions. The lineament in the southern region is mainly developed in the near-EW direction, and the NW to NE directions are less distributed. (2) The gold ore is controlled by lineaments. (3) The areas of densely distributed and intersected lineaments, as well as the areas connected by different colors on remote sensing images, are favorable locations for gold mineralization. Finally, based on the comprehensive analysis of multiple geological information and remote sensing interpreted tectonic information, four prospecting targets were identified in the study area and verified in the field.

Conclusion

This study proves that multisource remote sensing data can better identify the spatial structure characteristics of surface tectonics, which can provide a reference and basis for prospecting new deposits in the Gouli area.

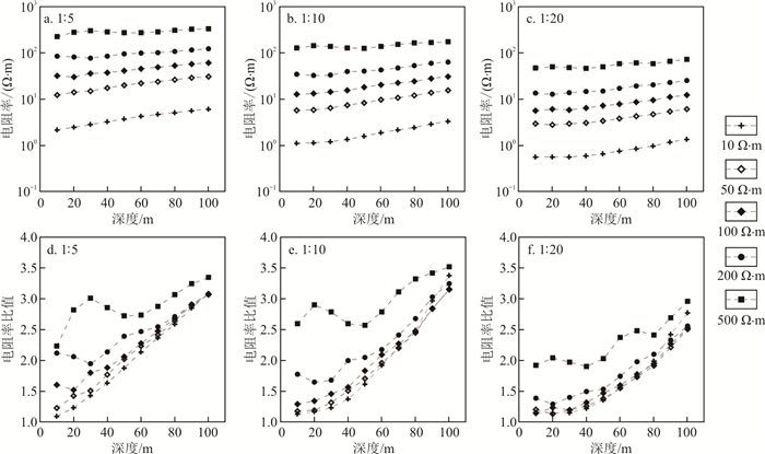
Resolution capability of ground-based transient electromagnetic method for low-resistivity thin layer
HU Jian, YANG Fan, ZHANG Chi, PANG Shaodong, YAO Weihua, ZHANG Wenbo, LI Jianhui
2024, 43(1): 343-351. doi: 10.19509/j.cnki.dzkq.tb20220436
Abstract:

At present 1D inversion is commonly used for data processing and interpretation of transient electromagnetic (TEM) method. It is important to study the resolution-capability for the thin layer to take better advantage of ground-based loop-source TEM method. In this study, we employ 1D Occam's inversion method to qualitatively and quantitatively study the resolution capability for a thin layer. The thin layer has low resistivity, and its thickness is 10 m. The buried depth ranges from 10 to 100 m with 10 m intervals. The numerical modeling results show that the inverted resistivity and thickness will more coincide with the true values of the thin layer if the differences of resistivity between the thin layer and background medium increase. The depth of the inverted minimum resistivity agrees with the position of the low-resistivity thin layer. For background resistivity less than 100 Ω·m, the maximum depths are 40, 50 and 80 m for ratios of 1:5, 1:10 and 1:20 between the resistivities of the thin layer and the background medium, respectively. The maximum depth indicates the one within which the thin layer can be well detected by TEM methods. For the background resistivity of 200 Ω·m, the corresponding maximum depths are 30, 30 and 60 m. This study will help to optimize the field-work parameter designing and to improve the accuracy of data processing and interpretation.

Application of comprehensive geophysics in uranium exploration in the Hetaoba area of Duolun County, Inner Mongolia
LI Yingbin, ZHANG Wei, QIU Chongtao
2024, 43(1): 352-359. doi: 10.19509/j.cnki.dzkq.tb20230281
Abstract:
Objective

The Hetaoba area in Inner Mongolia has superior uranium metallogenic conditions.Grea tore-prospecting results have been achieved in the eastern part of the study area.However, breakthrough has not been made in the western area. Uranium mineralization is significantly controlled by faults and fractured zones. To identify the distributions of fault framework, structural fracture and alteration zones, and further to infer the favorable metallogenesis areas, geophysical data are provided to explore the uranium metallogenic potential.

Methods

Through the comprehensive applications of three geophysical methods, including audiomagnetotelluric surveys, soil radon measurements, and ground high-precision magnetic measurements, soil radon anomalies are delineated in the study area. The northwest fault F13 shows a northeast- and northwest-trending with a Chinese word "Tian" grid shape, while the southeast fault F12 presents a northeast-trending grid shape. The faults of F13 and F12 present nearly north-south and northwest trendings in the pinched zones.There are six structural alterated and fractured zones to be inferred.

Results

Based on the characteristics of uranium mineralization, it is inferred that the structural alteration and fracture zones of S1, S2, S3 and S4 are located at the intersection and pinched zone of faults, with a large scale. Multiple soil radon anomalies are distributed with an anomaly amplitude up to 35 000 Bq/m3, which are the favorable areas for metallogenesis.

Conclusion

After verification of the drilling results, the structural alteration, fracture zones and thick uranium ore bodies are discovered in the deep of borehole ZKH24. Many industrial uranium ore holes are discovered in the S2 structural alteration zone. Borehole ZKH7-1 has good ore findings, confirming the origin place of the uranium ore. The study indicates that the comprehensive application of the three geophysical methods has effective results in uranium ore exploration and can be promoted to uranium ore prospecting.

Depth wavenumber spectral decomposition based on orthogonal matching pursuit and its application in hydrocarbon reservoir prediction
TANG Tian, BA Suyu, SHI Ruikun, WANG Nan, TIAN Yuan, GU Hanming
2024, 43(1): 360-370. doi: 10.19509/j.cnki.dzkq.tb20220237
Abstract:
Objective

Conventional seismic attribute analysis in the time domain is based on the conversion from prestack depth migration data to time domain data, which will cause the loss of effective high-frequency information. To make full use of the advantage of the high imaging accuracy of depth domain data, it is necessary to carry out the attribute analysis of depth domain data. Because the wavenumber in the depthdomain is related to the frequency and wave velocity, obtaining a high-resolution depth wavenumber spectrum is the key to seismic attribute analysis in the depth domain.

Methods

In this paper, based on the spectral decomposition method of sparse inversion, an overcomplete wavelet dictionary in the depth domain is established, and the orthogonal matching pursuit algorithm is used to improve the computational resolution of the depth wavenumber spectrum. By calculating the attributes of the depth wavenumber spectrum of the theoretical model and comparing them with the attributes of the time-frequency spectrum, the variation characteristics of the depth wavenumber spectrum of the hydrocarbon reservoir are analyzed. Through the application of depth wavenumber spectral attribute analysis of field data, the practicability of using the depth wavenumber spectrum to predict oil and gas reservoirs is verified.

Results

The results show that the depth wavenumber spectral decomposition method based on the orthogonal matching pursuit algorithm has high resolution and can be used as a high-precision method for hydrocarbon reservoir prediction in the depth domain.

Conclusion

The application of field data shows that the low-wavenumber shadow appears below the oil and gas reservoir in the deep wavenumber spectrum, which can be used as a sign to indicate the existence of oil and gas reservoirs in the depth domain. The depth wavenumber spectral decomposition based on orthogonal matching pursuit can effectively identify the low-wavenumber shadow anomaly, which enables to predict the oil and gas reservoirs by use of the depth domain seismic data.