Influence of pore structure of tight sandstone reservoirs on fluid mobility and comprehensive characterization
-
摘要:
储层流体可动程度受储层物性及孔隙结构的综合影响显著,单一参数无法准确表征。为了明确孔隙结构综合表征在流体可动程度评价中的有效性,针对鄂尔多斯盆地合水地区三叠系延长组长82致密砂岩储层,旨在探究孔隙结构参数与流体可动程度的关系。采用核磁共振(NMR)、高压压汞(HPMI)联测的实验方法,计算有效可动流体孔隙度(
φ cutoff)及有效可动流体孔喉半径(r cutoff),并结合分形理论分析孔隙结构。进而使用主成分分析法(PCA)提取因子,并引入k-means聚类分析法,建立了致密砂岩流体可动程度综合评价方法。结果表明:研究区目的层孔喉类型以中小孔—中细喉为主,可动流体主要赋存在孔喉半径0.01~1.0 μm的孔隙中;分形维数介于2.4400 ~2.7412 之间,平均值2.55;有效可动流体孔喉半径介于0.016~0.095 μm之间,平均值为0.049 μm;有效可动流体孔隙度介于0.716%~2.980%之间,平均值为1.598%。综合流体可动程度参数、物性参数、孔隙结构参数,提取4个主成分,分别评估储层渗流能力与储集能力、微观非均质性、产出能力、大孔喉占比。基于前3个主成分输出聚类结果,将实验样品划分为Ⅰ类、Ⅱ类、Ⅲ类。流体可动程度的综合评价结果可为同类型致密砂岩油藏储层评价及高效开发提供一定依据。-
关键词:
- 联合表征 /
- 孔隙结构 /
- 分形维数 /
- 主成分分析(PCA) /
- k-means聚类分析 /
- 流体可动程度
Abstract:Objective Reservoir fluid mobility is significantly influenced by the combined effects of reservoir physical properties and pore structure, and cannot be accurately characterized by a single parameter. This study aims to apply a comprehensive pore structure characterization to evaluation tight sandstone reservoirs.
Methods In this study, the effective movable fluid porosity $(\varphi_{\mathrm{cutoff}}) $ and effective movable fluid pore throat radius $(r_{\mathrm{cutoff}}) $ were calculated by integrating nuclear magnetic resonance (NMR) and high-pressure mercury intrusion (HPMI) with fractal theory for the Triassic Chang 82 tight sandstone reservoir in the Heshui area of the Ordos Basin. To explore the relationship between pore structure parameters and the degree of fluid mobility in the reservoir, principal component analysis (PCA) was employed to extract factors, and k-means clustering was introduced to establish a comprehensive evaluation approach for fluid mobility of tight sandstones.
Results The results showed that the pore throat types of the target layer in the study area were predominantly medium-small pores and medium-fine throats, and movable fluid mainly resided in pores with pore sizes of 0.01-1.0 μm. The fractal dimension ranged from
2.4400 to2.7412 , with an average of 2.55. The effective movable fluid pore throat radius ranged from 0.016 to 0.095 μm, with an average value of 0.049 μm. The effective movable fluid porosity ranged from 0.716% to 2.980%, with an average value of 1.598%. By integrating parameters of fluid mobility, physical properties, and pore structure, four principal components were extracted to evaluate reservoir permeability and storage capacity, microscopic heterogeneity, production capacity, and the proportion of large pore throats. Based on the clustering results from the first three principal components, the samples were classified into Class Ⅰ, Ⅱ, and Ⅲ.Conclusion The comprehensive evaluation results of fluid mobility can provide a basis for reservoir evaluation and efficient development of similar tight sandstone oil reservoirs.
-
图 2 研究区长82储层砂岩铸体薄片及SEM图像
a. 长石溶孔,Z177井,
1941 m;b. 残余粒间孔−溶蚀孔,Y297井,2282 m;c. 压实较强,残余粒间孔,Z353井,1870 m;d. 颗粒溶孔及粒表衬垫状绿泥石黏土,L98井,2465.7 m;e. 石英加大Ⅱ-Ⅲ级,粒表衬垫状绿泥石黏土及残余粒间孔,L98井,2465 m;f. 石英充填粒间孔隙,Y297井,2282 m;g. 粒间高岭石黏土填隙物及微孔,Y297井,2291 m;h. 粒间孔中分布绿泥石、少量伊利石,Z177井,1942 m;i. 长石溶蚀形成次生孔,Z177井,1942 mFigure 2. Cast thin sections and SEM images of sandstones from Chang 82 reservoir in study area
表 1 岩样基本物性参数
Table 1. Basic physical parameters of rock samples
样品编号 深度/m 长度/cm 直径/cm 孔隙度/% 渗透率/10−3μm2 实验项目 J223-4 2251.5 7.001 2.521 8.05 0.1253 核磁可动流体和高压压汞 J223-5 2308.0 4.729 2.534 7.32 0.0790 核磁可动流体和高压压汞 Z315-2 2235.0 5.452 2.529 7.80 0.1351 核磁可动流体和高压压汞 B39-1 2324.0 5.131 2.548 10.49 0.5753 核磁可动流体和高压压汞 L103-3 1887.0 3.912 2.533 8.18 0.1688 核磁可动流体和高压压汞 Y425-2 2312.0 6.572 2.526 7.45 0.1119 核磁可动流体和高压压汞 Z315-1 2272.0 4.621 2.550 12.19 0.8099 核磁可动流体和高压压汞 Y425-1 2308.0 6.274 2.523 8.15 0.1351 核磁可动流体和高压压汞 L103-1 2251.5 5.886 2.535 6.09 0.0820 核磁可动流体和高压压汞 B39-2 2333.5 5.236 2.527 9.73 0.1796 核磁可动流体和高压压汞 表 2 高压压汞孔隙分形维数统计
Table 2. Statistics of fractal dimensions of pore structures from high-pressure mercury intrusion
样品编号 孔喉半径区间/μm 全孔径(总拟合曲线) [0.001,0.01) [0.01,0.1) [0.1,1.0] D1 R2 D2 R2 D3 R2 D R2 J223-4 2.9737 0.7156 2.426 9 0.9404 2.5194 0.8450 2.5578 0.8860 J223-5 2.7013 0.9592 2.517 4 0.9422 2.6210 0.9872 2.5852 0.9780 Z315-2 2.4957 0.9818 2.783 8 0.9983 2.4399 0.9656 2.5204 0.9740 B39-1 2.4399 0.9656 2.783 8 0.9983 2.4957 0.9818 2.4926 0.9730 L103-3 2.8396 0.9287 2.567 2 1.0000 2.6730 0.9803 2.6354 0.9870 Y425-2 2.7807 0.9981 2.461 9 0.9723 2.9500 0.7919 2.7121 0.9635 Z315-1 2.5100 0.9782 2.470 0 0.9830 2.5500 0.8898 2.4400 0.9246 Y425-1 2.6979 0.9920 2.656 5 0.9989 2.4900 0.9780 2.5708 0.9967 L103-1 2.5151 0.9912 2.755 9 0.9937 2.6900 0.8818 2.7412 0.9680 B39-2 2.9800 0.9722 2.495 1 0.9366 2.5700 0.9794 2.5700 0.8679 平均 2.69 0.95 2.59 0.98 2.60 0.93 2.55 0.95 注:D1,D2,D3分别为孔喉半径区间[0.001,0.01),[0.01,0.1),[0.1,1.0] μm的分形维数;D为全孔径的分形维数;R2为决定系数,衡量回归模型对数据的拟合程度;下同 表 3 不同孔喉半径区间可动流体参数统计
Table 3. Statistics of movable fluid parameters in different pore throat radius ranges
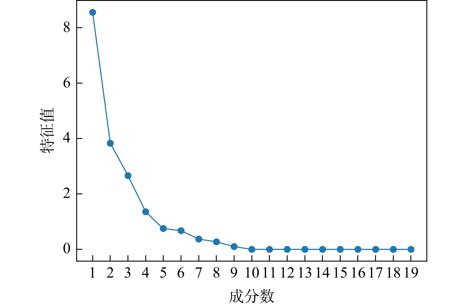
样品编号 孔喉半径区间/μm rcutoff φcutoff [0.001,0.01) [0.01,0.1) [0.1,1.0] Sm1 φm1 φm1/φtm CK1 Sm2 φm2 φm2/φtm CK2 Sm3 φm3 φm3/φtm CK3 J223-4 2.58 0.21 10.29 0.02 16.82 1.35 67.10 32.03 5.68 0.46 22.65 67.95 0.040 1.260 J223-5 4.47 0.33 20.12 0.04 9.62 0.70 43.34 4.15 8.08 0.59 36.40 95.81 0.028 0.929 Z315-2 8.13 0.63 28.68 0.05 5.69 0.44 20.05 1.21 14.53 1.13 51.22 98.74 0.033 1.435 B39-1 6.28 0.66 22.85 0.03 8.58 0.90 31.23 3.88 12.66 1.33 46.05 96.09 0.049 1.678 L103-3 6.45 0.53 27.91 0.05 10.95 0.90 47.37 14.39 5.71 0.47 24.71 85.56 0.016 1.258 Y425-2 2.88 0.21 11.05 0.03 15.68 1.17 60.20 29.10 7.55 0.56 29.00 70.87 0.023 1.514 Z315-1 6.97 0.85 20.08 0.08 7.91 0.96 22.78 1.43 19.87 2.42 57.24 98.49 0.033 2.980 Y425-1 1.09 0.09 3.90 0.01 4.64 0.38 16.60 2.45 22.22 1.81 79.58 97.54 0.095 1.850 L103-1 2.14 0.13 10.11 0.03 7.69 0.47 36.32 4.26 11.35 0.69 53.59 95.71 0.084 0.716 B39-2 3.73 0.17 5.63 0.05 8.49 0.83 27.58 7.59 18.58 2.00 66.85 92.36 0.085 2.360 注:r为孔喉半径,μm;Sm1,Sm2,Sm3分别为孔喉半径区间[0.001,0.01),[0.01,0.1),[0.1,1.0] μm的可动流体饱和度,%;φm1,φm2,φm3分别为孔喉半径区间[0.001,0.01),[0.01,0.1),[0.1,1.0] μm的可动流体孔隙度,%;φtm为总可动流体孔隙度,%;CK1,CK1,CK3 分别为孔喉半径区间[0.001,0.01),[0.01,0.1),[0.1,1.0] μm的渗透率贡献,%;φcutoff为有效可动流体孔隙度,%;rcutoff为有效可动流体孔喉半径,μm;下同 表 4 总方差解释
Table 4. Total variance explained
主成分 特征值 方差贡献率/% 累计方差贡献率/% 1 8.560 45.051 45.051 2 3.832 24.167 69.218 3 2.663 23.834 93.052 4 1.358 4.333 97.385 -
[1] 贾承造, 邹才能, 李建忠, 等. 中国致密油评价标准、主要类型、基本特征及资源前景[J]. 石油学报, 2012, 33(3): 343-350.JIA C Z, ZOU C N, LI J Z, et al. Assessment criteria, main types, basic features and resource prospects of the tight oil in China[J]. Acta Petrolei Sinica, 2012, 33(3): 343-350. (in Chinese with English abstract [2] 朱筱敏, 潘荣, 朱世发, 等. 致密储层研究进展和热点问题分析[J]. 地学前缘, 2018, 25(2): 141-146. doi: 10.13745/j.esf.2018.02.015ZHU X M, PAN R, ZHU S F, et al. Research progress and core issues in tight reservoir exploration[J]. Earth Science Frontiers, 2018, 25(2): 141-146. (in Chinese with English abstract doi: 10.13745/j.esf.2018.02.015 [3] 张全培. 鄂尔多斯盆地姬塬地区长7致密砂岩储层微观孔喉结构与分级评价研究[D]. 西安: 西北大学, 2022.ZHANG Q P. Study on microscopic pore throat structure and grading evaluation of Chang 7 tight sandstone reservoirs in Jiyuan area, Ordos Basin[D]. Xi'an: Northwest University, 2022. (in Chinese with English abstract [4] LAI J, WANG G W, WANG Z Y, et al. A review on pore structure characterization in tight sandstones[J]. Earth-Science Reviews, 2018, 177: 436-457. doi: 10.1016/j.earscirev.2017.12.003 [5] ZHU H H, ZHANG T S, ZHONG D K, et al. Binary pore structure characteristics of tight sandstone reservoirs[J]. Petroleum Exploration and Development, 2019, 46(6): 1297-1306. doi: 10.1016/S1876-3804(19)60283-1 [6] BAI Y B, ZHAO J Z, ZHAO D L, et al. Pore structure and its control on reservoir quality in tight sandstones: A case study of the Chang 6 Member of the Upper Triassic Yanchang Formation in the Jingbian oilfield in the Ordos Basin, China[J]. Journal of Petroleum Exploration and Production Technology, 2021, 11(1): 171-189. doi: 10.1007/s13202-020-01042-9 [7] PAN H, JIANG Y Q, GUO G A, et al. Pore-throat structure characteristics and fluid mobility analysis of tight sandstone reservoirs in Shaximiao Formation, central Sichuan[J]. Geological Journal, 2023, 58(11): 4243-4256. doi: 10.1002/gj.4734 [8] 范彩伟, 游君君, 周刚. 北部湾盆地涠西南凹陷流沙港组页岩油赋存空间多尺度表征及可动性评价[J]. 地球科学, 2025, 50(1): 127-143. doi: 10.3799/dqkx.2024.034FAN C W, YOU J J, ZHOU G. Shale oil mobility evaluation and multi-scale characterization of oil occurrence space of Liushagang Formation in Weixinan Sag, Beibuwan Basin[J]. Earth Science, 2025, 50(1): 127-143. (in Chinese with English abstract doi: 10.3799/dqkx.2024.034 [9] 刘鹏, 彭斌, 于瑞江, 等. 基于核磁共振流体分布孔隙精细划分的致密油藏流体可动性特征研究[J]. 地球物理学进展, 2025, 40(1): 294-303. doi: 10.6038/pg2025HH0266LIU P, PENG B, YU R J, et al. Research on the characteristics of fluid mobility of the tight reservoir with the NMR fluid distribution pore classification method[J]. Progress in Geophysics, 2025, 40(1): 294-303. (in Chinese with English abstract doi: 10.6038/pg2025HH0266 [10] 张全培, 王海红, 刘美荣, 等. 超低渗透储层全孔径分布及其分形特征研究[J]. 中国矿业大学学报, 2020, 49(6): 1137-1149.ZHANG Q P, WANG H H, LIU M R, et al. Study of the full pore size distribution and fractal characteristics of ultra-low permeability reservoir[J]. Journal of China University of Mining & Technology, 2020, 49(6): 1137-1149. (in Chinese with English abstract [11] MANDELBROT B B. On the geometry of homogeneous turbulence, with stress on the fractal dimension of the iso-surfaces of scalars[J]. Journal of Fluid Mechanics, 1975, 72: 401-416. doi: 10.1017/S0022112075003047 [12] WU Y Q, TAHMASEBI P, LIN C Y, et al. A comprehensive study on geometric, topological and fractal characterizations of pore systems in low-permeability reservoirs based on SEM, MICP, NMR, and X-ray CT experiments[J]. Marine and Petroleum Geology, 2019, 103: 12-28. doi: 10.1016/j.marpetgeo.2019.02.003 [13] LIU M, XIE R H, GUO J F, et al. Characterization of pore structures of tight sandstone reservoirs by multifractal analysis of the NMR T2 distribution[J]. Energy & Fuels, 2018, 32(12): 12218-12230. doi: 10.1021/acs.energyfuels.8b02869 [14] LIU D K, GU Z L, LIANG R X, et al. Impacts of pore-throat system on fractal characterization of tight sandstones[J]. Geofluids, 2020, 2020(1): 4941501. doi: 10.1130/abs/2018am-321368 [15] 石桓山, 胡望水, 李涛, 等. 致密砂岩储层孔隙结构特征对可动流体赋存的影响: 以鄂尔多斯盆地庆城地区长7段为例[J]. 地质科技通报, 2024, 43(2): 62-74. doi: 10.19509/j.cnki.dzkq.tb20220660SHI H S, HU W S, LI T, et al. Pore throat structure characteristics of tight sandstone reservoirs and their influence on movable fluid occurrence: Taking the Chang-7 Member of Qingcheng area of Ordos Basin as an example[J]. Bulletin of Geological Science and Technology, 2024, 43(2): 62-74. (in Chinese with English abstract doi: 10.19509/j.cnki.dzkq.tb20220660 [16] 卢振东, 刘成林, 臧起彪, 等. 高压压汞联合分形理论分析致密砂岩孔隙结构: 以鄂尔多斯盆地合水地区为例[J]. 地质科技通报, 2023, 42(1): 264-273. doi: 10.19509/j.cnki.dzkq.tb20210203LU Z D, LIU C L, ZANG Q B, et al. Analysis of the pore structure of tight sandstone by high-pressure mercury injection combined with fractal theory: A case study of the Heshui area in the Ordos Basin[J]. Bulletin of Geological Science and Technology, 2023, 42(1): 264-273. (in Chinese with English abstract doi: 10.19509/j.cnki.dzkq.tb20210203 [17] 雒斌, 陶荣德, 崔小丽, 等. 鄂尔多斯盆地吴起−志丹地区长8段致密砂岩储层孔喉结构分形特征[J]. 天然气地球科学, 2023, 34(8): 1305-1315.LUO B, TAO R D, CUI X L, et al. Fractal characteristics of pore throat structure of Chang 8 Member tight sandstone reservoir in Wuqi-Zhidan area, Ordos Basin[J]. Natural Gas Geoscience, 2023, 34(8): 1305-1315. (in Chinese with English abstract [18] ZHANG J J, XU A N, ZHAO C J, et al. A new parameter for characterizing pore-fracture structure heterogeneity: Fractal dimension based on the mercury extrusion curve[J]. Frontiers of Earth Science, 2024, 18(4): 782-796. doi: 10.1007/s11707-024-1100-7 [19] 刘若冰, 魏志红, 加奥启, 等. 川东南地区五峰-龙马溪组深层超压富有机质页岩孔隙结构分形特征及其地质意义[J]. 地球科学, 2023, 48(4): 1496-1516.LIU R B, WEI Z H, JIA A Q, et al. Fractal characteristics of pore structure in deep overpressured organic-rich shale in Wufeng-Longmaxi Formation in Southeast Sichuan and its geological significance[J]. Earth Science, 2023, 48(4): 1496-1516. (in Chinese with English abstract [20] XIE W B, YIN Q L, ZENG J B, et al. Fractal-based approaches to pore structure investigation and water saturation prediction from NMR measurements: A case study of the gas-bearing tight sandstone reservoir in Nanpu Sag[J]. Fractal and Fractional, 2023, 7(3): 273. doi: 10.3390/fractalfract7030273 [21] WU B H, XIE R H, WANG X Y, et al. Characterization of pore structure of tight sandstone reservoirs based on fractal analysis of NMR echo data[J]. Journal of Natural Gas Science and Engineering, 2020, 81: 103483. doi: 10.1016/j.jngse.2020.103483 [22] 陈朝兵, 付玲, 陈新晶, 等. 致密砂岩微观非均质性定量评价方法研究: 以鄂尔多斯盆地华庆地区延长组长6油层组为例[J]. 沉积学报, 2021, 39(5): 1086-1099. doi: 10.14027/j.issn.1000⁃0550.2021.037CHEN Z B, FU L, CHEN X J, et al. Quantitative evaluation method for micro heterogeneity of tight sandstone: A case study of Chang-6 reservoir of Yanchang Formation in Huaqing area, Ordos Basin[J]. Acta Sedimentologica Sinica, 2021, 39(5): 1086-1099. (in Chinese with English abstract doi: 10.14027/j.issn.1000⁃0550.2021.037 [23] 夏宇轩. 低渗储层微观孔隙结构分形表征及渗流特性研究[D]. 武汉: 中国地质大学(武汉), 2022.XIA Y X. Fractal characterization of micro pore structure and study on flow properties of low permeability reservoirs[D]. Wuhan: China University of Geosciences(Wuhan), 2022. (in Chinese with English abstract [24] 甯波, 任大忠, 王虎, 等. 致密砂岩气藏微观孔隙结构多尺度联合表征[J]. 断块油气田, 2024, 31(1): 34-41. doi: 10.6056/dkyqt202401005NING B, REN D Z, WANG H, et al. Multi-scale combination characterization of micropore structure of tight sandstone gas reservoirs[J]. Fault-Block Oil & Gas Field, 2024, 31(1): 34-41. (in Chinese with English abstract doi: 10.6056/dkyqt202401005 [25] 孟子圆, 孙卫, 刘登科, 等. 联合压汞法的致密储层微观孔隙结构及孔径分布特征: 以鄂尔多斯盆地吴起地区长6储层为例[J]. 地质科技情报, 2019, 38(2): 208-216. doi: 10.19509/j.cnki.dzkq.2019.0224MENG Z Y, SUN W, LIU D K, et al. Combined mercury porosimetry to characterize the microscopic pore structure and pore size distribution of tight reservoirs: A case of Chang 6 reservoir in Wuqi area, Ordos Basin[J]. Geological Science and Technology Information, 2019, 38(2): 208-216. (in Chinese with English abstract doi: 10.19509/j.cnki.dzkq.2019.0224 [26] 肖佃师, 卢双舫, 陆正元, 等. 联合核磁共振和恒速压汞方法测定致密砂岩孔喉结构[J]. 石油勘探与开发, 2016, 43(6): 961-970. doi: 10.11698/PED.2016.06.13XIAO D S, LU S F, LU Z Y, et al. Combining nuclear magnetic resonance and rate-controlled porosimetry to probe the pore-throat structure of tight sandstones[J]. Petroleum Exploration and Development, 2016, 43(6): 961-970. (in Chinese with English abstract doi: 10.11698/PED.2016.06.13 [27] ZHANG F, JIANG Z X, SUN W, et al. A multiscale comprehensive study on pore structure of tight sandstone reservoir realized by nuclear magnetic resonance, high pressure mercury injection and constant-rate mercury injection penetration test[J]. Marine and Petroleum Geology, 2019, 109: 208-222. doi: 10.1016/j.marpetgeo.2019.06.019 [28] 吴彦君. 鄂尔多斯盆地陇东地区致密砂岩储层微观特征差异及其对可动流体的影响[D]. 西安: 西北大学, 2022.WU Y J. Difference of microscopic characteristics of tight sandstone reservoirs and its influence on movable fluid in Longdong area, Ordos Basin[D]. Xi'an: Northwest University, 2022. (in Chinese with English abstract [29] LAI J, WANG G W, FAN Z Y, et al. Insight into the pore structure of tight sandstones using NMR and HPMI measurements[J]. Energy & Fuels, 2016, 30(12): 10200-10214. doi: 10.1021/acs.energyfuels.6b01982 [30] 孟婧, 张莉莹, 李芮, 等. 致密砂岩储层微观孔隙结构特征及其分类评价[J]. 特种油气藏, 2023, 30(4): 71-78. doi: 10.3969/j.issn.1006-6535.2023.04.009MENG J, ZHANG L Y, LI R, et al. Microscopic pore structure characteristics of tight sandstone reservoirs and its classification evaluation[J]. Special Oil & Gas Reservoirs, 2023, 30(4): 71-78. (in Chinese with English abstract doi: 10.3969/j.issn.1006-6535.2023.04.009 [31] 韩彬. 致密砂岩储层孔隙结构表征研究: 以克深2气藏巴什基奇克组储层为例[D]. 成都: 西南石油大学, 2017.HAN B. Characterization of pore structure of dense sandstone reservoirs: Taking the reservoir of the Bashkichik Formation in the Keshen 2 gas reservoir as an example[D]. Chengdu: Southwest Petroleum University, 2017. (in Chinese with English abstract [32] 朱玉瑞. 东营凹陷沙河街组致密砂岩储层孔隙结构表征及分类评价[D]. 成都: 成都理工大学, 2021.ZHU Y R. Pore structure characteristics and classification of tight sands from Shahejie Formation in Dongying Sag[D]. Chengdu: Chengdu University of Technology, 2021. (in Chinese with English abstract [33] 石晓敏, 位云生, 朱汉卿, 等. 致密凝灰质砂岩储层孔隙结构特征与储层分类评价: 以松辽盆地南部营城组致密凝灰质砂岩为例[J]. 天然气地球科学, 2023, 34(10): 1828-1841.SHI X M, WEI Y S, ZHU H Q, et al. Pore structure characteristics and reservoir classification and evaluation of tight tuffaceous sandstone gas reservoir: Taking the tight tuffaceous sandstone of Yingcheng Formation in southern Songliao Basin as an example[J]. Natural Gas Geoscience, 2023, 34(10): 1828-1841. (in Chinese with English abstract [34] 徐黎明, 李志成, 梁晓伟, 等. 鄂尔多斯盆地陇东地区延长组长82优质储集层成因机理研究[J]. 古地理学报, 2016, 18(2): 237-250. doi: 10.7605/gdlxb.2016.02.018XU L M, LI Z C, LIANG X W, et al. Formation mechanism for the high-quality reservoir in the Chang 82 interval of Yanchang Formation in Longdong area, Ordos Basin[J]. Journal of Palaeogeography (Chinese Edition), 2016, 18(2): 237-250. (in Chinese with English abstract doi: 10.7605/gdlxb.2016.02.018 [35] 周勇, 徐黎明, 纪友亮, 等. 致密砂岩相对高渗储层特征及分布控制因素研究: 以鄂尔多斯盆地陇东地区延长组长82为例[J]. 中国矿业大学学报, 2017, 46(1): 106-120. doi: 10.13247/j.cnki.jcumt.000575ZHOU Y, XU L M, JI Y L, et al. Characteristics and distributing controlling factors of relatively high permeability reservoir: A case study from Chang 82 sandstones of Yanchang Formation in Longdong area, Ordos Basin[J]. Journal of China University of Mining & Technology, 2017, 46(1): 106-120. (in Chinese with English abstract doi: 10.13247/j.cnki.jcumt.000575 [36] 国家能源局. 岩样核磁共振参数实验室测量规范: SY/T 6490-2014[S]. 北京: 石油工业出版社, 2015: 4-5.National Energy Administration. Laboratory measurement specifi cations for rock sample NMR parameters: SY/T 6490-2014[S]. Beijing: Petroleum Industry Press, 2015: 4-5. (in Chinese) [37] 中华人民共和国国家质量监督检验检疫总局, 中国国家标准化管理委员会. 压汞法和气体吸附法测定固体材料孔径分布和孔隙度. 第1部分: 压汞法: GB/T 21650.1-2008[S]. 北京: 中国标准出版社, 2008.General Administration of Quality Supervision, Inspection and Quarantine of the People's Republic of China, Standardization Administration of the People's Republic of China. Pore size distribution and porosity of solid materials by mercury porosimetry and gas adsorption. Part 1: Mercury porosimetry: GB/T 21650.1-2008[S]. Beijing: Standards Press of China, 2008. (in Chinese) [38] 卫端. 深层碳酸盐岩储层微观特征与成岩机理: 以顺南地区中-下奥陶统为例[D]. 北京: 中国地质大学(北京), 2021.WEI D. Microscopic characteristics and diagenetic mechanisms of deep-burial carbonates: Take the Middle-Lower Ordovician in the southern Songnan area as an example[D]. Beijing: China University of Geosciences(Beijing), 2021. (in Chinese with English abstract [39] ZHANG Q P, QI H P, HUO Y, et al. Study of pore-throat structure characteristics and fluid mobility of Chang 7 tight sandstone reservoir in Jiyuan area, Ordos Basin[J]. Open Geosciences, 2023, 15: 20220534. doi: 10.1515/geo-2022-0534 [40] BORŮVKA L, VACEK O, JEHLIČKA J. Principal component analysis as a tool to indicate the origin of potentially toxic elements in soils[J]. Geoderma, 2005, 128(3/4): 289-300. doi: 10.1016/j.geoderma.2005.04.010 [41] REID M K, SPENCER K L. Use of principal components analysis (PCA) on estuarine sediment datasets: The effect of data pre-treatment[J]. Environmental Pollution, 2009, 157(8/9): 2275-2281. doi: 10.1016/j.envpol.2009.03.033 [42] FRITZ M, SCHWARZ H. Initializing k-means efficiently: Benefits for exploratory cluster analysis[C]//Anon. On the Move to Meaningful Internet Systems: OTM 2019 conferences. Berlin, Germany: Springer International Publishing, 2019: 146-163. -
下载:
