-
摘要:
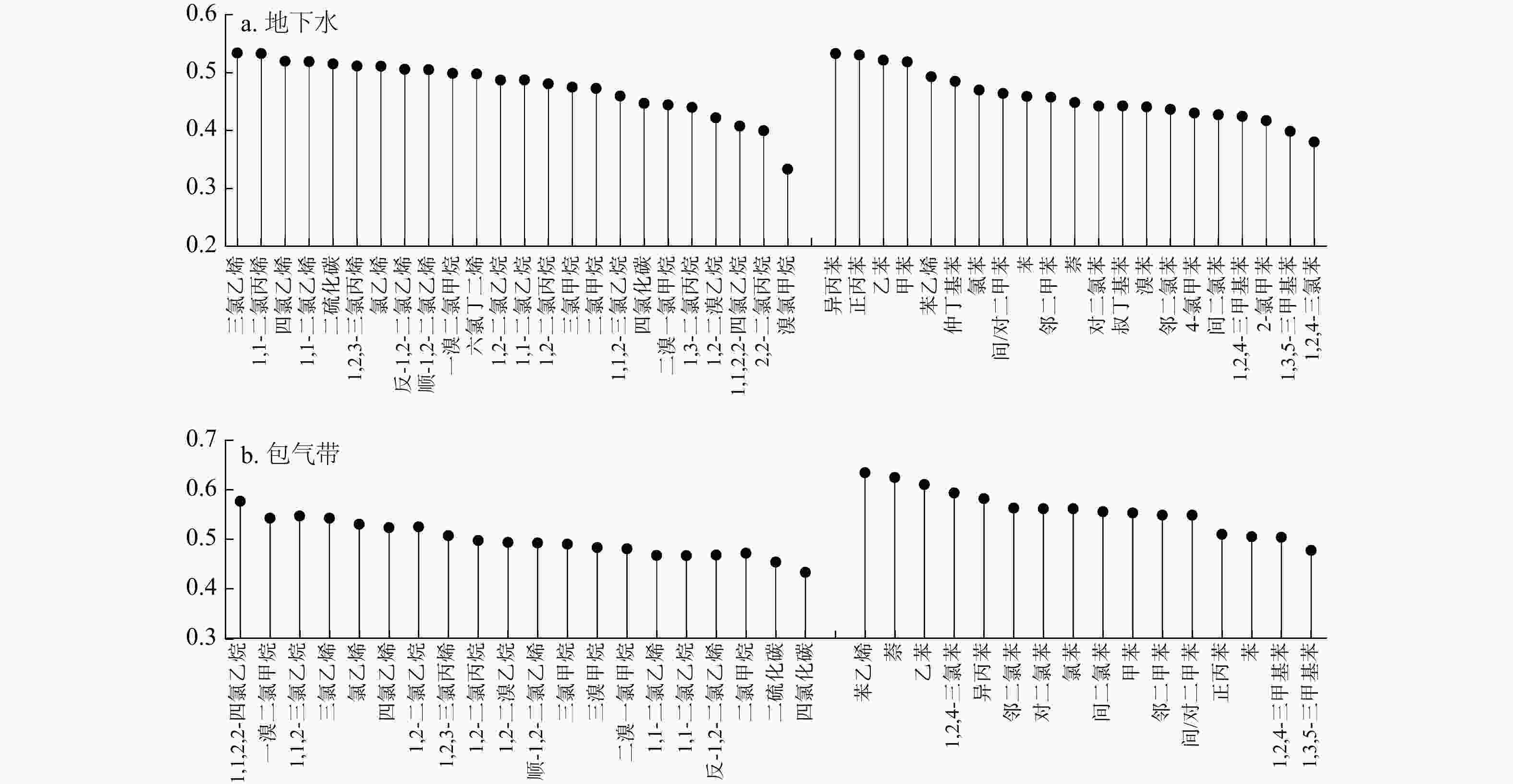
优先控制污染物清单是有机污染场地有效管控和环境治理的重要前提和依据,可为污染场地的精准防控提供重要指导。本研究通过文献检索和资料收集等方式,获得了我国典型有机污染场地挥发性有机污染物在地下水和包气带介质中的平均检出率。将污染物的复杂环境行为参数化,遴选污染物在不同介质中的迁移性、降解效应、生物富集性和污染物的毒性参数,建立优先控制清单的筛选体系,通过对数转换和参数归一化获得不同评估因子得分,并结合多元统计线性回归获得评估因子权重,最终得到有机污染场地多环境介质中挥发性有机污染物的优先控制清单。结果表明:三氯乙烯和乙苯在地下水和包气带介质中均具有较高得分,应最先管控。此外,三氯乙烯与其氢解反应产物1,1-二氯乙烯、反-1,2-二氯乙烯、顺-1,2-二氯乙烯均得分较高,对于有机污染场地不同介质中三氯乙烯的环境行为应进一步加强关注。本研究可为有机污染场地有机污染物的环境治理及优先控制名录提供理论与技术方法支撑。
Abstract:Objective A priority control list of pollutants is an essential prerequisite and foundation for the effective management and environmental remediation of organic-contaminated sites, which can provide scientific guidance for the precise prevention and control of organic-contaminated sites.
Methods The average detection rates of volatile organic compounds (VOCs) in groundwater and the vadose zone of typical organic-contaminated sites in China were obtained through literature search and data collection. Additionally, the complex environmental behaviors of pollutants were parameterized, and key parameters including the mobility, degradation effects, bioaccumulation, and toxicity of pollutants in different media were selected to establish the screening system for the priority control list. The scores of multiple assessment factors were obtained through logarithmic transformation and normalization, then the weights of the assessment factors were determined using multiple statistical linear regression. Ultimately, the priority control ranking list of VOCs across multiple environmental media at contaminated sites was established.
Results The results indicated that trichloroethylene and ethylbenzene had high scores in groundwater and vadose zone, indicating that they should be controlled first. In addition, trichloroethylene and its hydrogenolysis reaction products, including 1,1-dichloroethylene, trans-1,2-dichloroethylene, and cis-1,2-dichloroethylene, all exhibited high scores. Therefore, more intensive attention should be paid to the environmental behaviors of trichloroethylene in different media of organic-contaminated sites.
Conclusion This study provides theoretical and methodological support for the environmental governmence of organic pollutants at organic-contaminated sites and the formulation of priority control lists.
-
表 1 我国有机污染场地地下水和包气带的评估因子相关性分析
Table 1. Correlation analysis of assessment factors in groundwater and vadose zone at organic-contaminated sites in China
排放量 吸附因子 扩散因子 生物降解 非生物降解 生物浓缩 生物累积 生物转化 逸度 急性毒性 慢性毒性 致癌性 土−气交换 排放量 1 −0.26 −0.27 −0.16 −0.24 0.27 0.25 0.28 0.06 −0.32 −0.09 0.35* 0.15 吸附因子 −0.19 1 0.85** 0.32 0.51** −0.81** −0.77** −0.80** −0.47** 0.33* 0.12 0.10 −0.29 扩散因子 −0.10 0.76** 1 0.41* 0.69** −0.98** −0.93** −0.95** −0.52** 0.37* 0.02 0.19 −0.52** 生物降解 −0.01 0.31 0.45** 1 0.24 −0.30 −0.29 −0.30 0.02 −0.17 0.01 −0.40* −0.27 非生物降解 −0.23 0.41* 0.52** 0.12 1 −0.73** −0.80** −0.71** −0.64** 0.32 0.06 0.20 −0.06 生物浓缩 0.13 −0.76** −0.99** −0.37* −0.55** 1 0.97** 0.98** 0.55** −0.38* 0.028 −0.26 0.49** 生物累积 0.15 −0.73** −0.94** −0.40** −0.60** 0.96** 1 0.95** 0.62** −0.32 −0.01 −0.22 0.55** 生物转化 0.16 −0.77** −0.98** −0.38** −0.54** 0.99** 0.96** 1 0.53** −0.37* −0.02 −0.24 0.45** 逸度 0.01 0.36* 0.53** 0.35* 0.58** −0.52** −0.56** −0.51** 1 −0.22 0.08 −0.30 0.44** 急性毒性 0.05 0.13 0.44** −0.01 0.23 −0.44** −0.39** −0.44** 0.06 1 0.17 0.41* −0.02 慢性毒性 0.19 −0.07 0.02 −0.17 −0.01 −0.01 0.03 −0.02 −0.08 0.45** 1 −0.10 −0.08 致癌性 0.38* 0.11 0.23 −0.34* 0.22 −0.26 −0.17 −0.23 0.07 0.55** 0.36* 1 0.10 土−气交换 − − − − − − − − − − − − 1 注:*为在0.05水平上显著相关;**为在0.01水平上显著相关;下三角为地下水介质;上三角为包气带−土壤介质 表 2 我国有机污染场地地下水和包气带介质中评估因子的权重
Table 2. Weights of assessment factors in groundwater and vadose zone at organic-contaminated sites in China
评估因子 地下水 包气带 评估因子 地下水 包气带 污染排放量 8.64% 9.28% 生物转化半衰期 10.0% 8.24% 吸附因子 1.0% 0.90% 逸度 8.28% 11.55% 扩散因子 9.91% 8.03% 急性毒性 8.37% 6.55% 生物降解可能性 8.38% 7.32% 慢性毒性 6.34% 3.56% 非生物降解可能性 12.14% 11.73% 致癌性 9.66% 8.29% 生物浓缩系数 9.99% 8.19% 土−气交换系数 — 10.04% 生物累积系数 7.29% 6.32% -
[1] 葛峰, 张转霞, 扶恒, 等. 我国有机污染场地现状分析及展望[J]. 土壤, 2021, 53(6): 1132-1141. doi: 10.13758/j.cnki.tr.2021.06.005GE F, ZHANG Z X, FU H, et al. Distribution of organic contaminated sites in China: Statu quo and prospect[J]. Soils, 2021, 53(6): 1132-1141. (in Chinese with English abstract doi: 10.13758/j.cnki.tr.2021.06.005 [2] 朱辉, 叶淑君, 吴吉春, 等. 中国典型有机污染场地土层岩性和污染物特征分析[J]. 地学前缘, 2021, 28(5): 26-34. doi: 10.13745/j.esf.sf.2021.2.15ZHU H, YE S J, WU J C, et al. Characteristics of soil lithology and pollutants in typical contamination sites in China[J]. Earth Science Frontiers, 2021, 28(5): 26-34. (in Chinese with English abstract doi: 10.13745/j.esf.sf.2021.2.15 [3] 滕应, 骆永明, 沈仁芳, 等. 场地土壤−地下水污染物多介质界面过程与调控研究进展与展望[J]. 土壤学报, 2020, 57(6): 1333-1340. doi: 10.11766/trxb202004230193TENG Y, LUO Y M, SHEN R F, et al. Research progress and perspective of the multi-medium interface process and regulation principle of pollutants in site soil-groundwater[J]. Acta Pedologica Sinica, 2020, 57(6): 1333-1340. (in Chinese with English abstract doi: 10.11766/trxb202004230193 [4] ZHONG M M, WANG T L, ZHAO W X, et al. Emerging organic contaminants in Chinese surface water: Identification of priority pollutants[J]. Engineering, 2022, 11: 111-125. doi: 10.1016/j.eng.2020.12.023 [5] 周文敏, 傅德黔, 孙宗光. 中国水中优先控制污染物黑名单的确定[J]. 环境监测管理与技术, 1991, 3(4): 18-20.ZHOU W M, FU D Q, SUN Z G. Determination of blacklist of priority pollutants in water in China[J]. The Administration and Technique of Environmental Monitoring, 1991, 3(4): 18-20. (in Chinese with English abstract [6] 刘臣辉, 付玲玲, 申雨桐, 等. 欧盟水框架指令优先污染物筛选方法的应用[J]. 环境工程, 2015, 33(10): 126-129.LIU C H, FU L L, SHEN Y T, et al. The application of a priori tization exercise for the European water framework directive[J]. Environmental Engineering, 2015, 33(10): 126-129. (in Chinese with English abstract [7] SIEBECKER M, LI W, KHALID S, et al. Real-time QEXAFS spectroscopy measures rapid precipitate formation at the mineral-water interface[J]. Nature Communications, 2014, 5: 5003. doi: 10.1038/ncomms6003 [8] 王佳琪, 马瑞, 孙自永. 地表水与地下水相互作用带中氮素污染物的反应迁移机理及模型研究进展[J]. 地质科技情报, 2019, 38(4): 270-280.WANG J Q, MA R, SUN Z Y. Reactive transport and model of nitrogen pollutants in the surface water-ground water interaction zones: A review[J]. Geological Science and Technology Information, 2019, 38(4): 270-280. (in Chinese with English abstract [9] NĚMEČEK J, STEINOVÁ J, ŠPÁNEK R, et al. Thermally enhanced in situ bioremediation of groundwater contaminated with chlorinated solvents: A field test[J]. Science of the Total Environment, 2018, 622/623: 743-755. [10] 王兴华, 李小倩, 谢晓涵, 等. 土壤因子对三氯乙烯土−气分配系数的影响[J]. 地质科技通报, 2024, 43(5): 272-278. doi: 10.19509/j.cnki.dzkq.tb20240028WANG X H, LI X Q, XIE X H, et al. Impact of soil factors on soil-gas partition coefficient of trichloroethylene[J]. Bulletin of Geological Science and Technology, 2024, 43(5): 272-278. (in Chinese with English abstract doi: 10.19509/j.cnki.dzkq.tb20240028 [11] 杨秀雯, 魏志莹, 易佳佩, 等. 湖北秭归鱼泉洞泉域系统中六六六(HCHs)和滴滴涕(DDTs)的分布、来源与迁移[J]. 地质科技通报, 2024, 43(3): 311-322. doi: 10.19509/j.cnki.dzkq.tb20230466YANG X W, WEI Z Y, YI J P, et al. Distribution, sources and transport of HCHs and DDTs in the Yuquandong spring system from Zigui County, Hubei Province[J]. Bulletin of Geological Science and Technology, 2024, 43(3): 311-322. (in Chinese with English abstract doi: 10.19509/j.cnki.dzkq.tb20230466 [12] 曹德艳, 刘平, 赵思源, 等. 西北某工业园区地下水优先控制污染物的识别及风险评估[J]. 能源研究与管理, 2024, 16(1): 56-66. doi: 10.16056/j.2096-7705.2024.01.008CAO D Y, LIU P, ZHAO S Y, et al. Identification and risk assessment of priority contaminants for groundwater control in an industrial park in Northwest China[J]. Energy Research and Management, 2024, 16(1): 56-66. (in Chinese with English abstract doi: 10.16056/j.2096-7705.2024.01.008 [13] 沈小帅. 某加油站遗留场地环境调查与污染特征分析[J]. 环境与发展, 2019, 31(8): 66-67.SHEN X S. Environmental investigation and pollution characteristic analysis of the left site of a gas station[J]. Inner Mongolia Environmental Sciences, 2019, 31(8): 66-67. (in Chinese with English abstract [14] 沈晓芳, 万玉玉, 王利刚, 等. 基于多相流数值模拟的某石油污染场地地下水中VOCs自然衰减过程识别及能力评估[J]. 地学前缘, 2021, 28(5): 90-103.SHEN X F, WAN Y Y, WANG L G, et al. Multiphase flow modeling of natural attenuation of volatile organic compounds (VOCs) in a petroleum contaminated site[J]. Earth Science Frontiers, 2021, 28(5): 90-103. (in Chinese with English abstract [15] 从辉, 牛真茹, 张有军, 等. 某典型污染场地地下水中氯代烃类的污染分布及迁移转化分析[J]. 环境污染与防治, 2023, 45(10): 1343-1351.CONG H, NIU Z R, ZHANG Y J, et al. Pollution distribution and migration law of chlorinated hydrocarbons in groundwater of a typical contaminated site[J]. Environmental Pollution & Control, 2023, 45(10): 1343-1351. (in Chinese with English abstract [16] 翟增秀, 李伟芳, 李佳音, 等. 有机磷农药污染地块有机物质组成特征与异味物质识别[J]. 环境化学, 2025, 44(1): 164-173.ZHAI Z X, LI W F, LI J Y, et al. Composition characteristics of organic matter and identification of odorous substances in organophosphorus pesticide-contaminated land[J]. Environmental Chemistry, 2025, 44(1): 164-173. (in Chinese with English abstract [17] 翟增秀, 孟洁, 刘绿叶, 等. 某复合化工污染场地不同介质有机物污染特征层次分析[J]. 环境化学, 2022, 41(5): 1603-1615. doi: 10.7524/j.issn.0254-6108.2021012502ZHAI Z X, MENG J, LIU L Y, et al. Hierarchical analysis of the pollution characteristics of organic matter in different media in a compound chemical contaminated site[J]. Environmental Chemistry, 2022, 41(5): 1603-1615. (in Chinese with English abstract doi: 10.7524/j.issn.0254-6108.2021012502 [18] 杜恒. 焦化厂地块土壤污染状况分析[J]. 能源与环保, 2022, 44(4): 45-51. doi: 10.3969/j.issn.1674-0254.2024.05.008DU H. Analysis on soil pollution in coking plant plot[J]. China Energy and Environmental Protection, 2022, 44(4): 45-51. (in Chinese with English abstract doi: 10.3969/j.issn.1674-0254.2024.05.008 [19] 付瑶, 张利钧, 杨丰春, 等. 吹扫捕集−气相色谱−质谱法快速测定同序列地下水和土壤中的37种挥发性有机物[J]. 理化检验−化学分册, 2021, 57(8): 673-681. doi: 10.11973/lhjy-hx202108001FU Y, ZHANG L J, YANG F C, et al. Rapid determination of 37 volatile organic compounds in the same sequence of groundwater and soil by GC-MS with purge and trap sampling[J]. Physical Testing and Chemical Analysis (Part B (Chemical Analysis)), 2021, 57(8): 673-681. (in Chinese with English abstract doi: 10.11973/lhjy-hx202108001 [20] 高翔宇, 王岚, 张华, 等. 吹扫捕集−气相色谱−质谱法测定土壤中28种挥发性有机化合物的含量[J]. 理化检验−化学分册, 2022, 58(7): 818-824. doi: 10.11973/lhjy-hx202207014GAO X Y, WANG L, ZHANG H, et al. Determination of 28 volatile organic compounds in soil by gas chromatography-mass spectrometry with sampling by purging and trapping[J]. Physical Testing and Chemical Analysis (Part B (Chemical Analysis)), 2022, 58(7): 818-824. (in Chinese with English abstract doi: 10.11973/lhjy-hx202207014 [21] 郭永丽, 肖琼, 章程, 等. 石油类污染的岩溶地下水环境特征: 以淄博市大武水源地为例[J]. 地学前缘, 2023, 30(2): 539-547. doi: 10.13745/j.esf.sf.2022.1.23GUO Y L, XIAO Q, ZHANG C, et al. Characteristics of petroleum hydrocarbon-polluted karst groundwater environment: A case study of groundwater source in Dawu, Zibo City, northern China[J]. Earth Science Frontiers, 2023, 30(2): 539-547. (in Chinese with English abstract doi: 10.13745/j.esf.sf.2022.1.23 [22] 胡学波. 污染场地挥发性有机物原位监测系统构建与应用[D]. 合肥: 合肥工业大学, 2022.HU X B. Construction and application of in situ monitoring system for volatile organic compounds in polluted sites[D]. Hefei: Hefei University of Technology, 2022. (in Chinese with English abstract [23] 黄昊. 邵武市某化工厂地块土壤污染状况调查评估探究[J]. 皮革制作与环保科技, 2023, 4(23): 136-138. doi: 10.20025/j.cnki.CN10-1679.2023-23-46HUANG H. Study on investigation and assessment of soil pollution in a chemical plant plot in Shaowu City[J]. Leather Manufacture and Environmental Technology, 2023, 4(23): 136-138. (in Chinese with English abstract doi: 10.20025/j.cnki.CN10-1679.2023-23-46 [24] 吉敏. 基于规划为特殊地下空间的某场地健康风险评估实例研究[J]. 皮革制作与环保科技, 2023, 4(10): 171-174. doi: 10.20025/j.cnki.CN10-1679.2023-10-58JI M. Case study on health risk assessment of a site planned as special underground space[J]. Leather Manufacture and Environmental Technology, 2023, 4(10): 171-174. (in Chinese with English abstract doi: 10.20025/j.cnki.CN10-1679.2023-10-58 [25] 姜登登, 陈樯, 周艳, 等. 基于地下水入渗地下室情景的蒸气入侵暴露模型研究[J]. 环境科学研究, 2022, 35(5): 1297-1305. doi: 10.13198/j.issn.1001-6929.2022.01.15JIANG D D, CHEN Q, ZHOU Y, et al. Vapor intrusion model based on groundwater infiltration basement scenario[J]. Research of Environmental Sciences, 2022, 35(5): 1297-1305. (in Chinese with English abstract doi: 10.13198/j.issn.1001-6929.2022.01.15 [26] 李聪, 高焕方, 严欢, 等. 污染场地风险评估模型参数的敏感性分析[J]. 环境影响评价, 2019, 41(3): 83-87. doi: 10.14068/j.ceia.2019.03.017LI C, GAO H F, YAN H, et al. Sensitivity analysis of model parameters for contaminated site risk assessment[J]. Environmental Impact Assessment, 2019, 41(3): 83-87. (in Chinese with English abstract doi: 10.14068/j.ceia.2019.03.017 [27] 李丽君, 马健生, 张泽宇, 等. 重点行业企业用地地下水中60种挥发性有机物的测定分析方法研究[J]. 地质与资源, 2022, 31(3): 443-449. doi: 10.13686/j.cnki.dzyzy.2022.03.020LI L J, MA J S, ZHANG Z Y, et al. Determination of 60 volatile organic compounds in groundwater of enterprise land of key industries[J]. Geology and Resources, 2022, 31(3): 443-449. (in Chinese with English abstract doi: 10.13686/j.cnki.dzyzy.2022.03.020 [28] 李丽君, 王海娇, 马健生. 下辽河平原地下水中挥发性有机物的污染特征及健康风险评价[J]. 岩矿测试, 2021, 40(6): 930-943. doi: 10.15898/j.cnki.11-2131/td.202108200105LI L J, WANG H J, MA J S. Pollution characteristics and health risk assessment of volatile organic compounds in groundwater in the lower Liaohe River Plain[J]. Rock and Mineral Analysis, 2021, 40(6): 930-943. (in Chinese with English abstract doi: 10.15898/j.cnki.11-2131/td.202108200105 [29] 李龙媛, 罗泽娇, 彭辉. 石油类污染物在黏性土壤中的垂直分布规律[J]. 安全与环境工程, 2014, 21(2): 57-62. doi: 10.3969/j.issn.1671-1556.2014.02.012LI L Y, LUO Z J, PENG H. Research on the vertical distribution of petroleum pollutants in clayed soil[J]. Safety and Environmental Engineering, 2014, 21(2): 57-62. (in Chinese with English abstract doi: 10.3969/j.issn.1671-1556.2014.02.012 [30] 李煜婷, 许德刚, 李巨峰, 等. 典型石油炼制厂地下水中优先控制污染物识别方法的建立和验证[J]. 环境工程学报, 2019, 13(11): 2770-2780.LI Y T, XU D G, LI J F, et al. Establishment and verification of the recognition method of the priority pollutants in groundwater of the typical petroleum refining enterprise[J]. Chinese Journal of Environmental Engineering, 2019, 13(11): 2770-2780. (in Chinese with English abstract [31] 刘钢, 叶田田, 徐冲, 等. 华南地区农药厂地块土壤异味污染物识别[J]. 安全与环境学报, 2024, 24(4): 1623-1632. doi: 10.13637/j.issn.1009-6094.2023.0491LIU G, YE T T, XU C, et al. Recognition of odor pollutants in the soil of a pesticide factory site in South China[J]. Journal of Safety and Environment, 2024, 24(4): 1623-1632. (in Chinese with English abstract doi: 10.13637/j.issn.1009-6094.2023.0491 [32] 刘宁, 杨小娟, 范海燕, 等. 基于VOCs污染场地地下水调查的人体健康风险研究[J]. 环境科学与管理, 2017, 42(9): 29-34. doi: 10.3969/j.issn.1673-1212.2017.09.007LIU N, YANG X J, FAN H Y, et al. Research on human health risk assessment based on VOCs investigation on groundwater of contaminated land[J]. Environmental Science and Management, 2017, 42(9): 29-34. (in Chinese with English abstract doi: 10.3969/j.issn.1673-1212.2017.09.007 [33] 鲁栩春, 刘本华, 黄林显, 等. 化工厂及其下游地下水中挥发性有机物分布特征和健康风险评价[J]. 济南大学学报(自然科学版), 2022, 36(6): 645-652. doi: 10.13349/j.cnki.jdxbn.20220321.002LU X C, LIU B H, HUANG L X, et al. Distribution characteristics and health risk assessment of volatile organic compounds in groundwater of chemical plant and its downstream[J]. Journal of University of Jinan (Science and Technology), 2022, 36(6): 645-652. (in Chinese with English abstract doi: 10.13349/j.cnki.jdxbn.20220321.002 [34] 吕晓立, 邵景力, 刘景涛, 等. 某石油化工污染场地地下水中挥发性有机物污染特征及成因分析[J]. 水文地质工程地质, 2012, 39(6): 97-102.LYU X L, SHAO J L, LIU J T, et al. Contamination characteristics and causes of volatile organic compounds in the groundwater at a petrochemical contaminated site[J]. Hydrogeology and Engineering Geology, 2012, 39(6): 97-102. (in Chinese with English abstract [35] 罗帅. 典型石化行业场地土壤中苯系物的污染特征及迁移行为研究[D]. 重庆: 重庆大学, 2021.LUO S. Study on the pollution characteristics and migration behavior of benzene series in the soil of typical petrochemical industrial sites[D]. Chongqing: Chongqing University, 2021. (in Chinese with English abstract [36] 孙晨曦. 某焦化场地土壤环境污染调查与风险评估[D]. 合肥: 合肥大学, 2023.SUN C X. Investigation and risk assessment of soil environmental pollution in a coking site[D]. Hefei: Hefei University, 2023. (in Chinese with English abstract [37] 汤岳峰. 典型挥发性有机物污染场地环境调查与修复研究[D]. 江苏 扬州: 扬州大学, 2021.TANG Y F. Investigation and restoration of typical volatile organic compounds pollution site[D]. Yangzhou Jiangsu: Yangzhou University, 2021. (in Chinese with English abstract [38] 涂玉伦. 东北重工业区重点行业场地土壤污染特征与环境风险研究[D]. 长春: 吉林大学, 2023.TU Y L. Study on soil contamination characteristics and environmental risks of key industrial sites in heavy industrial zone of Northeast China[D]. Changchun: Jilin University, 2023. (in Chinese with English abstract [39] 万伟, 苗杰, 钱钦, 等. 吹扫捕集−气相色谱−质谱法测定石化土壤中挥发性有机物[J]. 石油炼制与化工, 2021, 52(2): 73-79. doi: 10.3969/j.issn.1005-2399.2021.02.015WAN W, MIAO J, QIAN Q, et al. Determination of volatile organic compounds in petrochemical soils using purge-and-trap-gc-ms method[J]. Petroleum Processing and Petrochemicals, 2021, 52(2): 73-79. (in Chinese with English abstract doi: 10.3969/j.issn.1005-2399.2021.02.015 [40] 王坚. 某制药企业搬迁场地土壤污染调查[J]. 科技创新导报, 2019, 16(18): 135-136.WANG J. Investigation on soil pollution in the relocation site of a pharmaceutical company[J]. Science and Technology Innovation Herald, 2019, 16(18): 135-136. (in Chinese with English abstract [41] 王敏, 刘浩, 朱歆莹. 徐州岩溶地区生活垃圾填埋场地下水有机污染特征研究[J]. 环境科技, 2018, 31(1): 16-20. doi: 10.3969/j.issn.1674-4829.2018.01.004WANG M, LIU H, ZHU X Y. Research on the characteristics of groundwater organic pollution in domestic waste landfill site in Xuzhou karst area[J]. Environmental Science and Technology, 2018, 31(1): 16-20. (in Chinese with English abstract doi: 10.3969/j.issn.1674-4829.2018.01.004 [42] 吴向阳, 胡静, 张静淑, 等. 石油场地地下水优控污染物识别筛选方法[J]. 甘肃科技, 2019, 35(17): 33-34.WU X Y, HU J, ZHANG J S, et al. Identification and screening method for optimal control of groundwater in oil sites[J]. Gansu Science and Technology, 2019, 35(17): 33-34. (in Chinese with English abstract [43] 徐梓矿. 地下水典型污染源特征挥发性有机污染物的识别与分布规律研究[D]. 北京: 中国地质大学(北京), 2016.XU Z K. The identification and distribution study of significant groundwater volatile organic compounds from typical contamination sources in China[D]. Beijing: China University of Geosciences (Beijing), 2016. (in Chinese with English abstract [44] 于潇, 鞠振宇, 廉欢. 某化工污染地块地下水中挥发性有机物污染特征及来源分析[J]. 广东化工, 2019, 46(21): 99-101. doi: 10.3969/j.issn.1007-1865.2019.21.043YU X, JU Z Y, LIAN H. Contamination characteristics and causes of volatile organic compounds in the groundwater at a chemical contaminated site[J]. Guangdong Chemical Industry, 2019, 46(21): 99-101. (in Chinese with English abstract doi: 10.3969/j.issn.1007-1865.2019.21.043 [45] 余雪琴. 某废弃工业场地VOCs/SVOCs污染健康风险评估[J]. 广东化工, 2017, 44(17): 137-138. doi: 10.3969/j.issn.1007-1865.2017.17.065YU X Q. VOCs/SVOCs contaminated site health risk assessment[J]. Guangdong Chemical Industry, 2017, 44(17): 137-138. (in Chinese with English abstract doi: 10.3969/j.issn.1007-1865.2017.17.065 [46] 苑志宇. 报废汽车拆解过程挥发性有机物来源识别及优先控制清单研究[D]. 四川 绵阳: 西南科技大学, 2023.YUAN Z Y. Study on identification and prioritized control list of volatile organic compounds in the end-of-life vehicle dismantling process[D]. Mianyang Sichuan: Southwest University of Science and Technology, 2023. (in Chinese with English abstract [47] 张渝蓉, 罗帅, 陈媛, 等. 重庆典型在产石化场地土壤污染特征及来源解析[J]. 环境科学, 2023, 44(12): 6933-6946.ZHANG Y R, LUO S, CHEN Y, et al. Characteristics of soil pollution and source analysis of typical pollutants in the petrochemical site in Chongqing City[J]. Environmental Science, 2023, 44(12): 6933-6946. (in Chinese with English abstract [48] 章霖之, 丁倩, 戴玄吏, 等. 某废弃农药生产场地地下水挥发性有机物污染健康风险评价[J]. 环境监测管理与技术, 2014, 26(5): 24-27. doi: 10.3969/j.issn.1006-2009.2014.05.007ZHANG L Z, DING Q, DAI X L, et al. Health risk assessment of volatile organic compounds pollution in groundwater of an abandoned pesticide production site[J]. The Administration and Technique of Environmental Monitoring, 2014, 26(5): 24-27. (in Chinese with English abstract doi: 10.3969/j.issn.1006-2009.2014.05.007 [49] 章霖之, 刘廷凤, 丁倩, 等. 农药企业搬迁土地挥发性有机物风险评价[J]. 环境监控与预警, 2014, 6(1): 49-52.ZHANG L Z, LIU T F, DING Q, et al. Risk assessment of pesticides enterprise relocation land contaminated by VOCs[J]. Environmental Monitoring and Forewarning, 2014, 6(1): 49-52. (in Chinese with English abstract [50] 章霖之, 王荣俊, 丁倩. 常州某农药生产场地土壤中挥发性有机物污染状况调查[J]. 中国环境监测, 2012, 28(3): 67-71. doi: 10.3969/j.issn.1002-6002.2012.03.015ZHANG L Z, WANG R J, DING Q. Investigation of volatile organic compounds contamination in soil of a pesticide production site in Changzhou[J]. Environmental Monitoring in China, 2012, 28(3): 67-71. (in Chinese with English abstract doi: 10.3969/j.issn.1002-6002.2012.03.015 [51] 周强, 彭芙蓉. 某化工厂地块土壤污染状况详细调查研究[J]. 山东化工, 2024, 53(14): 254-258. doi: 10.3969/j.issn.1008-021X.2024.14.069ZHOU Q, PENG F R. Detailed investigation on soil contamination in a chemical plant plot[J]. Shandong Chemical Industry, 2024, 53(14): 254-258. (in Chinese with English abstract doi: 10.3969/j.issn.1008-021X.2024.14.069 [52] 周鑫鑫. 某机加工企业退出地块环境调查与特征污染物分析[J]. 绿色环保建材, 2020(12): 51-52. doi: 10.16767/j.cnki.10-1213/tu.2020.12.026ZHOU X X. Environmental investigation and characteristic pollutant analysis of a machining enterprise exiting the plot[J]. Green Environmental Protection Building Materials, 2020(12): 51-52. (in Chinese) doi: 10.16767/j.cnki.10-1213/tu.2020.12.026 [53] 朱菲菲, 秦普丰, 张娟, 等. 我国地下水环境优先控制有机污染物的筛选[J]. 环境工程技术学报, 2013, 3(5): 443-450.ZHU F F, QIN P F, ZHANG J, et al. Screening of priority organic pollutants in groundwater of China[J]. Journal of Environmental Engineering Technology, 2013, 3(5): 443-450. (in Chinese with English abstract [54] 李淼, 刘威杰, 余悦, 等. 西北某退役炼油厂地下水中挥发性有机物污染特征及健康风险评价[J]. 地质科技通报, 2024, 43(2): 293-306.LI M, LIU W J, YU Y, et al. Pollution characteristics and health risk assessment of volatile organic compounds in groundwater in a decommissioned oil refinery in Northwest China[J]. Bulletin of Geological Science and Technology, 2024, 43(2): 293-306. (in Chinese with English abstract [55] 张鑫, 孟磊, 冯启言, 等. 典型焦化场地地下水优控污染物筛选[J]. 中国矿业, 2022, 31(8): 51-59.ZHANG X, MENG L, FENG Q Y, et al. Screening of groundwater priority pollutants in typical coking sites[J]. China Mining Magazine, 2022, 31(8): 51-59. (in Chinese with English abstract [56] 白宗旭, 杨雳, 王宏蕾, 等. 中国城乡交错带土壤−农作物重金属污染的Meta分析[J]. 环境科学, 2024, 45(8): 4766-4779.BAI Z X, YANG L, WANG H L, et al. Meta-analysis of heavy metal pollution in soil-crop systems in China's urban-rural fringe[J]. Environmental Science, 2024, 45(8): 4766-4779. (in Chinese with English abstract [57] VIECHTBAUER W, CHEUNG M W. Outlier and influence diagnostics for meta-analysis[J]. Research Synthesis Methods, 2010, 1(2): 112-125. doi: 10.1002/jrsm.11 [58] 包诗玉. 京津冀地下水优控污染物筛选及其清单构建研究[D]. 上海: 上海海洋大学, 2021.BAO S Y. Study on the screening and list construction of priority pollutants in groundwater Beijing-Tianjin-Hebei region[D]. Shanghai: Shanghai Ocean University, 2021. (in Chinese with English abstract [59] 胡莹洁, 孔祥斌, 姚静韬. 北京市平原区土壤有机碳垂直分布特征[J]. 生态学报, 2019, 39(2): 561-570. doi: 10.5846/stxb201801090067HU Y J, KONG X B, YAO J T. Vertical distribution of soil organic carbon in Plains areas of Beijing[J]. Acta Ecologica Sinica, 2019, 39(2): 561-570. (in Chinese with English abstract doi: 10.5846/stxb201801090067 [60] 谭长银, 吴龙华, 骆永明, 等. 典型潮土剖面主要性质和微量金属垂直分布特征[J]. 土壤学报, 2009, 46(5): 817-824. doi: 10.3321/j.issn:0564-3929.2009.05.009TAN C Y, WU L H, LUO Y M, et al. Vertical distribution characteristics of selected soil properties and trace metals in typical calcareous fluvo-aquic soil profile[J]. Acta Pedologica Sinica, 2009, 46(5): 817-824. (in Chinese with English abstract doi: 10.3321/j.issn:0564-3929.2009.05.009 [61] 朱瑜明, 岳文正, 张星, 等. 多孔介质孔隙结构迂曲度计算方法研究进展[J]. 地球物理学进展, 2023, 38(3): 1293-1304.ZHU Y M, YUE W Z, ZHANG X, et al. Advances on the calculation methods of tortuosity in porous media[J]. Progress in Geophysics, 2023, 38(3): 1293-1304. (in Chinese with English abstract [62] 任娇, 王小萍, 龚平, 等. 持久性有机污染物气−土界面交换研究进展[J]. 地理科学进展, 2013, 32(2): 288-297.REN J, WANG X P, GONG P, et al. Research progress on exchange of persistent organic pollutants at the air-soil interface[J]. Progress in Geography, 2013, 32(2): 288-297. (in Chinese with English abstract [63] 王昭, 石建省, 张兆吉, 等. 我国“水中优先控制有机物”对地下水污染的预警性研究[J]. 水资源保护, 2009, 25(1): 90-94. doi: 10.3969/j.issn.1004-6933.2009.01.024WANG Z, SHI J S, ZHANG Z J, et al. Groundwater contamination risk assessment: A Chinese list of preferred controlled organic pollutants in water[J]. Water Resources Protection, 2009, 25(1): 90-94. (in Chinese with English abstract doi: 10.3969/j.issn.1004-6933.2009.01.024 [64] 董奋义, 肖美丹, 刘斌, 等. 灰色系统教学中白化权函数的构造方法分析[J]. 华北水利水电学院学报, 2010, 31(3): 97-99. doi: 10.3969/j.issn.1002-5634.2010.03.030DONG F Y, XIAO M D, LIU B, et al. Construction method of whitenization weight function in grey system teaching[J]. Journal of North China Institute of Water Conservancy and Hydroelectric Power, 2010, 31(3): 97-99. (in Chinese with English abstract doi: 10.3969/j.issn.1002-5634.2010.03.030 [65] 高存荣, 王俊桃. 我国69个城市地下水有机污染特征研究[J]. 地球学报, 2011, 32(5): 581-591. doi: 10.3975/cagsb.2011.05.08GAO C R, WANG J T. Research on groundwater organic contamination characteristics in 69 cities of China[J]. Acta Geoscientica Sinica, 2011, 32(5): 581-591. (in Chinese with English abstract doi: 10.3975/cagsb.2011.05.08 [66] 高存荣, 王俊桃. 中国69个城市地下水挥发性卤代烃污染检测与特征研究[J]. 地球科学与环境学报, 2012, 34(1): 66-71. doi: 10.3969/j.issn.1672-6561.2012.01.009GAO C R, WANG J T. Investigation and research on volatile halogenated hydrocarbon contamination from groundwater in 69 cities of China[J]. Journal of Earth Sciences and Environment, 2012, 34(1): 66-71. (in Chinese with English abstract doi: 10.3969/j.issn.1672-6561.2012.01.009 [67] 石建省, 王昭, 张兆吉, 等. 华北平原地下水有机污染特征初步分析[J]. 生态环境学报, 2011, 20(11): 1695-1699. doi: 10.3969/j.issn.1674-5906.2011.11.019SHI J S, WANG Z, ZHANG Z J, et al. Preliminary analysis on the organic contamination of groundwater in the North China plain[J]. Ecology and Environmental Sciences, 2011, 20(11): 1695-1699. (in Chinese with English abstract doi: 10.3969/j.issn.1674-5906.2011.11.019 [68] 孙仲平, 吴乃瑾, 杨苏才, 等. 微生物降解污染地下水中三氯乙烯的微宇宙试验研究[J]. 环境工程技术学报, 2021, 11(2): 298-306. doi: 10.12153/j.issn.1674-991X.20200150SUN Z P, WU N J, YANG S C, et al. Microcosm experimental study on microbial degradation of trichloroethylene in contaminated groundwater[J]. Journal of Environmental Engineering Technology, 2021, 11(2): 298-306. (in Chinese with English abstract doi: 10.12153/j.issn.1674-991X.20200150 -
下载:
