Susceptibility assessment and zoning of coastal landslides based on heterogeneous ensemble machine learning models
-
摘要:
随着海洋工程建设的快速推进和极端天气事件频发,海岸带滑坡的风险显著增加。然而,现有关于滑坡易发性区划的研究多集中于内陆山地滑坡,对海岸带滑坡灾害的易发性评价尚缺乏系统研究。以福建省海岸带为研究区,通过收集海岸带滑坡历史数据,利用信息增益比法和皮尔森相关系数法构建适用于海岸带滑坡的易发性评价指标体系。以粒子群优化支持向量机(PSO-SVM)和随机森林(RF)为基学习器,构建Stacking异质集成学习模型,开展福建省海岸带滑坡的易发性评价和区划研究,探讨不同训练集与测试集划分比例对异质集成模型预测精度的影响。结果表明:Stacking异质集成学习模型在训练−测试集比例为70∶30时表现最佳,其准确度、精确度、召回率、
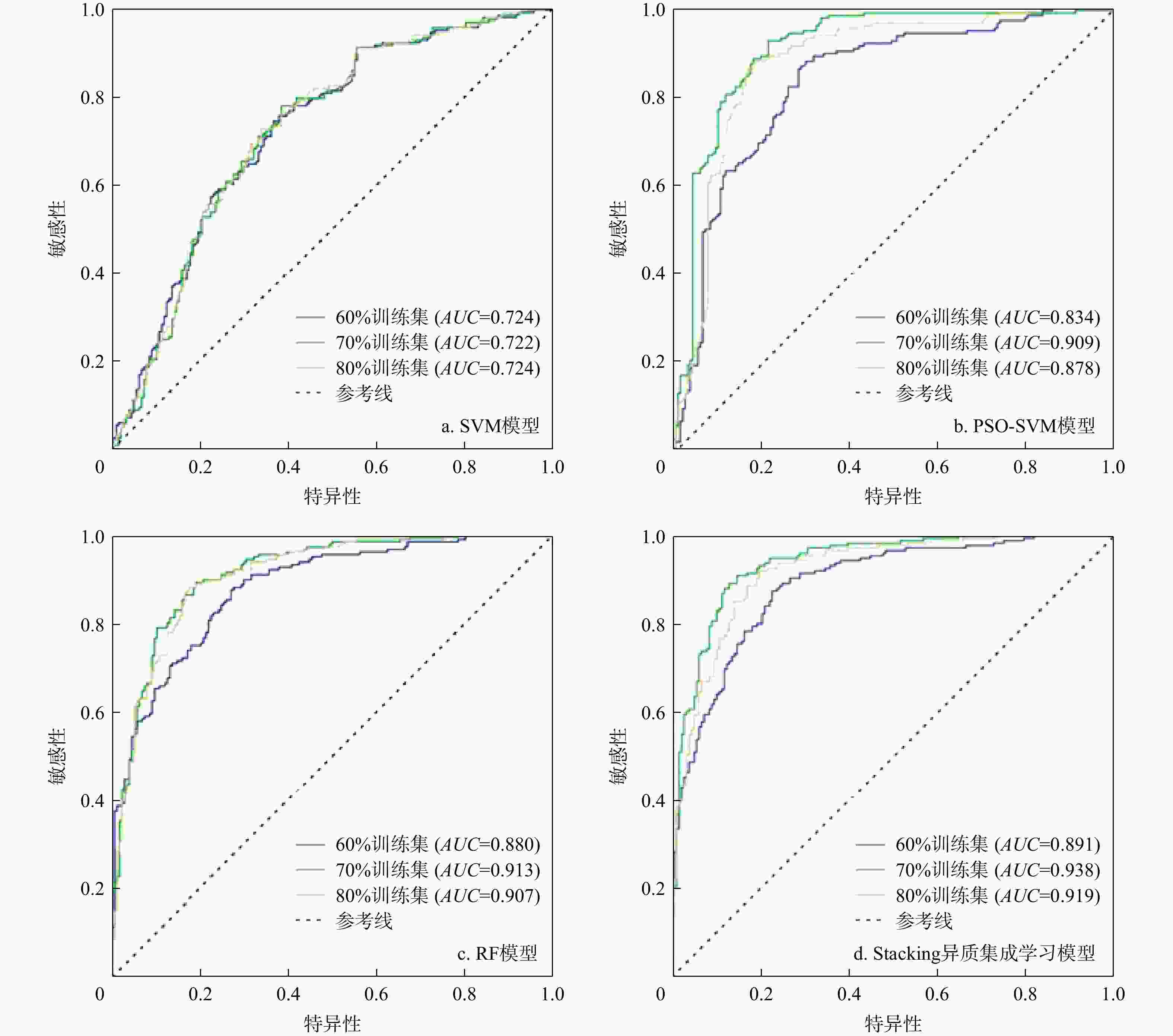
F 1分数值分别为0.869,0.842,0.909,0.874,其中准确度、精确度与F 1分数较其他模型提升了最高0.198,0.227和0.140,其受试者工作特征(ROC)曲线下方面积(area under the curve,简称AUC)值为0.938,较其他模型提高了0.019~0.216;表明Stacking异质集成模型在海岸带滑坡易发性评价中具有较强的适用性和优越性。Abstract:Objective With the rapid development of marine engineering and the increasing frequency of extreme weather events, the risk of coastal landslides has risen significantly. However, existing studies on landslide susceptibility and zoning mainly focus on inland mountainous landslides, and systematic research on coastal landslide susceptibility remains insufficient.
Methods In this study, the coastal zone of Fujian Province was selected as the study area. Historical data on coastal landslides were collected, and a susceptibility assessment index system suitable for coastal landslides was established using the information gain ratio method and Pearson correlation coefficient method. Particle swarm optimization support vector machine (PSO-SVM) and random forest (RF) were used as base learners to construct a stacking heterogeneous ensemble learning model. This model was adopted to perform the susceptibility assessment and zoning of coastal landslides in Fujian Province, and the influence of different training-to-testing data splitting ratios on the prediction accuracy of the heterogeneous ensemble model was also analyzed.
Results The comparison results demonstrated that the Stacking model performed optimally when the training-to-testing ratio was 70:30, achieving
Accuracy of 0.869,Precision of 0.842,Recall of 0.909, andF 1-Score of 0.874. Compared with other models, theAccuracy ,Precision , andF 1-Score improved by up to 0.198, 0.227, and 0.140, respectively. In addition, the area under the curve (AUC) value was 0.938, 0.019−0.216 higher than that of the other models.Conclusion The findings indicate that the Stacking heterogeneous ensemble model exhibits strong applicability and excellent performance in susceptibility assessment of coastal landslides.
-
表 1 数据来源
Table 1. Data sources
数据名称 数据来源 数据名称 数据来源 滑坡点数据 福建省地质灾害信息网 NDVI Landsat8遥感影像 DEM数据 地理空间数据云 地层岩性数据 地质科学数据出版系统 行政区数据 断层数据 福建省地质工程勘察院 道路数据 降雨数据 中国气象数据网 河流数据 注:DEM. 数字高程模型;NDVI. 归一化植被指数;下同 表 2 信息增益比计算结果
Table 2. Results of information gain ratio
影响因子 信息增益 分裂信息量 信息增益比 多年平均降雨量 0.086 2.164 0.040 坡度 0.082 2.385 0.034 地层岩性 0.119 4.232 0.028 TWI 0.051 1.882 0.027 SPI 0.046 2.188 0.021 NDVI 0.015 0.828 0.018 剖面曲率 0.027 1.594 0.017 断层距离 0.031 1.990 0.016 平面曲率 0.023 1.761 0.013 坡向 0.030 2.617 0.011 高程 0.017 1.625 0.010 河流距离 0.013 1.804 0.007 海岸线距离 0.017 2.457 0.007 道路距离 0.011 1.823 0.006 曲率 0.002 1.819 0.001 表 3 不同划分比例下径向基核函数SVM最优参数
Table 3. Optimal parameters of SVM with different training-to-testing ratios
训练集∶测试集 SVM最优参数 惩罚系数$C$ 核函数参数$\gamma $ 60∶40 10 1 70∶30 1 10 80∶20 2 1 表 4 粒子群优化算法PSO初始参数设置
Table 4. PSO initial parameter settings
参数名称 参数值 参数名称 参数值 局部搜索能力$C_1$ 1.5 惯性权重$\omega $ 0.6 全局搜索能力$C_2$ 1.7 速率更新初始系数$\omega _{\mathrm{v}}$ 1 最大进化数量 100 位置更新初始系数$\omega _{\mathrm{p}}$ 1 种群最大数量 5 表 5 不同划分比例下粒子群优化支持向量机模型PSO-SVM最优参数
Table 5. Optimal parameters of PSO-SVM under different training-to-testing data splitting ratios
训练集∶测试集 PSO-SVM最优参数 惩罚系数$C$ 核函数参数$\gamma $ 60∶40 19.060 1.478 70∶30 2.235 14.587 80∶20 5.231 5.507 表 6 随机森林模型主要超参数
Table 6. Main hyperparameters of random forest
参数名称 选取值 参数名称 选取值 节点分裂评价准则 gini 是否放回采样 True 决策树数量 50 最大分裂数 10 最小叶子节点数 1 表 7 统计参数表
Table 7. Statistical parameters
评价模型 训练集比例 准确度 精确度 召回率 F1分数 SVM 60% 0.673 0.618 0.909 0.736 70% 0.676 0.620 0.909 0.737 80% 0.671 0.615 0.909 0.734 PSO-SVM 60% 0.787 0.742 0.881 0.805 70% 0.847 0.796 0.932 0.859 80% 0.830 0.779 0.921 0.844 RF 60% 0.778 0.778 0.778 0.778 70% 0.852 0.823 0.898 0.859 80% 0.858 0.846 0.875 0.860 Stacking异质集成学习模型 60% 0.815 0.797 0.847 0.821 70% 0.869 0.842 0.909 0.874 80% 0.855 0.831 0.892 0.860 表 8 各模型ROC数据表
Table 8. ROC data for different models
评价模型 SVM PSO-SVM RF Stacking异质集成学习模型 训练集比例/% 60 70 80 60 70 80 60 70 80 60 70 80 AUC值 0.724 0.722 0.724 0.834 0.909 0.878 0.880 0.913 0.907 0.891 0.938 0.919 标准误差 0.027 0.027 0.027 0.022 0.017 0.020 0.180 0.015 0.016 0.017 0.012 0.015 表 9 Friedman检验结果
Table 9. Results of Friedman test
SVM PSO-SVM RF Stacking异质集成学习模型 训练集比例/% 60 70 80 60 70 80 60 70 80 60 70 80 等级平均值 3.4 3.70 2.80 4.40 8.80 7.20 4.00 8.60 8.90 5.80 11.10 9.30 卡方检验值$\chi ^2$ 33.84 渐进显著性p 0.000384 -
[1] 冯砚青, 牛佳. 中国海岸带环境问题的研究综述[J]. 海洋地质动态, 2004(10): 1-5.FENG Y Q, NIU J. Some problems about the coastal environment of China[J]. Marine Geology Letters, 2004(10): 1-5. (in Chinese with English abstract [2] 孙启良, 解习农, 吴时国. 南海北部海底滑坡的特征、灾害评估和研究展望[J]. 地学前缘, 2021, 28(2): 258-270. doi: 10.13745/j.esf.sf.2020.9.3SUN Q L, XIE X N, WU S G. Submarine landslides in the northern South China Sea: Characteristics, geohazard evaluation and perspectives[J]. Earth Science Frontiers, 2021, 28(2): 258-270. (in Chinese with English abstract doi: 10.13745/j.esf.sf.2020.9.3 [3] BEVAN D, BERESFORD J, ARTHURS J, et al. Ohuka landslide, New Zealand: A low angle bedding-controlled coastal landslide at Port Waikato, North Island, New Zealand[J]. New Zealand Journal of Geology and Geophysics, 2022, 65(2): 299-314. [4] BROMHEAD E N, IBSEN M L. Bedding-controlled coastal landslides in Southeast Britain between Axmouth and the Thames Estuary[J]. Landslides, 2004, 1(2): 131-141. doi: 10.1007/s10346-004-0015-3 [5] 杜星, 孙永福, 宋玉鹏, 等. 基于谱聚类算法的海底滑坡危险性评价[J]. 海洋学报, 2021, 43(1): 93-101.DU X, SUN Y F, SONG Y P, et al. Risk assessment of submarine landslide based on spectral clustering[J]. Haiyang Xuebao, 2021, 43(1): 93-101. (in Chinese with English abstract [6] MIRUS B B, JONES E S, BAUM R L, et al. Landslides across the USA: Occurrence, susceptibility, and data limitations[J]. Landslides, 2020, 17(10): 2271-2285. [7] VAN DEN EECKHAUT M, HERVÁS J. State of the art of national landslide databases in Europe and their potential for assessing landslide susceptibility, hazard and risk[J]. Geomorphology, 2012, 139: 545-558. doi: 10.1016/j.geomorph.2011.12.006 [8] ZHUANG Y, XING A G, SUN Q, et al. Insights into initiation of typhoon-induced deep-seated landslides in Southeast coastal China[J]. Natural Hazards, 2023, 119(1): 721-749. doi: 10.1007/s11069-023-06138-z [9] 韩帅, 刘明军, 伍剑波, 等. 东南沿海台风暴雨型单体斜坡灾害风险评价: 以泰顺仕阳北坡为例[J]. 地质力学学报, 2022, 28(4): 583-595.HAN S, LIU M J, WU J B, et al. Risk assessment of slope disasters induced by typhoon-rainfall in the Southeast coastal area, China: A case study of the Shiyang north slope[J]. Journal of Geomechanics, 2022, 28(4): 583-595. (in Chinese with English abstract [10] 曹文庚, 潘登, 徐郅杰, 等. 河南省滑坡灾害易发性制图研究: 多种机器学习模型的对比[J]. 地质科技通报, 2025, 44(1): 101-111. doi: 10.19509/j.cnki.dzkq.tb20230338CAO W G, PAN D, XU Z J, et al. Landslide disaster vulnerability mapping study in Henan Province: Comparison of different machine learning models[J]. Bulletin of Geological Science and Technology, 2025, 44(1): 101-111. (in Chinese with English abstract doi: 10.19509/j.cnki.dzkq.tb20230338 [11] 王启盛, 熊俊楠, 程维明, 等. 耦合统计方法、机器学习模型和聚类算法的滑坡易发性评价方法[J]. 地球信息科学学报, 2024, 26(3): 620-637. doi: 10.12082/dqxxkx.2024.230427WANG Q S, XIONG J N, CHENG W M, et al. Landslide susceptibility mapping methods coupling with statistical methods, machine learning models and clustering algorithms[J]. Journal of Geo-Information Science, 2024, 26(3): 620-637. (in Chinese with English abstract doi: 10.12082/dqxxkx.2024.230427 [12] 潘网生, 赵恬茵, 蔚秀莲, 等. 基于PR-SVM模型的黄陵县滑坡易发性评价[J]. 自然灾害学报, 2024, 33(4): 48-59. doi: 10.13577/j.jnd.2024.0405PAN W S, ZHAO T Y, YU X L, et al. Landslide susceptibility assessment in Huangling County based on probability ratio and support vector machine model[J]. Journal of Natural Disasters, 2024, 33(4): 48-59. (in Chinese with English abstract doi: 10.13577/j.jnd.2024.0405 [13] 崔玉龙, 朱路路, 徐敏, 等. 基于环境因子优化TSES法选择负样本及其在滑坡易发性评价中的应用[J]. 地质科技通报, 2024, 43(3): 192-199. doi: 10.19509/j.cnki.dzkq.tb20230400CUI Y L, ZHU L L, XU M, et al. Optimizing TSES method based on the environmental factors to select negative samples and its application in landslide susceptibility evaluation[J]. Bulletin of Geological Science and Technology, 2024, 43(3): 192-199. (in Chinese with English abstract doi: 10.19509/j.cnki.dzkq.tb20230400 [14] ZHANG R Q, ZHANG L L, FANG Z C, et al. Interferometric synthetic aperture radar (InSAR)-based absence sampling for machine-learning-based landslide susceptibility mapping: The Three Gorges Reservoir area, China[J]. Remote Sensing, 2024, 16(13): 2394. doi: 10.3390/rs16132394 [15] 窦杰, 向子林, 许强, 等. 机器学习在滑坡智能防灾减灾中的应用与发展趋势[J]. 地球科学, 2023, 48(5): 1657-1674.DOU J, XIANG Z L, XU Q, et al. Application and development trend of machine learning in landslide intelligent disaster prevention and mitigation[J]. Earth Science, 2023, 48(5): 1657-1674. (in Chinese with English abstract [16] DOU J, YUNUS A P, MERGHADI A, et al. Different sampling strategies for predicting landslide susceptibilities are deemed less consequential with deep learning[J]. Science of the Total Environment, 2020, 720: 137320. doi: 10.1016/j.scitotenv.2020.137320 [17] 周超, 甘露露, 王悦, 等. 综合非滑坡样本选取指数与异质集成机器学习的区域滑坡易发性建模[J]. 地球信息科学学报, 2023, 25(8): 1570-1585. doi: 10.12082/dqxxkx.2023.220934ZHOU C, GAN L L, WANG Y, et al. Landslide susceptibility prediction based on non-landslide samples selection and heterogeneous ensemble machine learning[J]. Journal of Geo-Information Science, 2023, 25(8): 1570-1585. (in Chinese with English abstract doi: 10.12082/dqxxkx.2023.220934 [18] 江宝得, 李秀春, 罗海燕, 等. 异质集成学习在滑坡易发性评价中的对比研究[J]. 土木工程学报, 2023, 56(10): 170-179. doi: 10.15951/j.tmgcxb.22060553JIANG B D, LI X C, LUO H Y, et al. A comparative analysis of heterogeneous ensemble learning methods for landslide susceptibility assessment[J]. China Civil Engineering Journal, 2023, 56(10): 170-179. (in Chinese with English abstract doi: 10.15951/j.tmgcxb.22060553 [19] HASTIE T, TIBSHIRANI R, FRIEDMAN J H. The elements of statistical learning[M]. New York: Springer, 2009. [20] CERVANTES J, GARCIA-LAMONT F, RODRÍGUEZ-MAZAHUA L, et al. A comprehensive survey on support vector machine classification: Applications, challenges and trends[J]. Neurocomputing, 2020, 408: 189-215. doi: 10.1016/j.neucom.2019.10.118 [21] CORTES C, VAPNIK V. Support-vector networks[J]. Machine Learning, 1995, 20(3): 273-297. doi: 10.1023/A:1022627411411 [22] 张学工. 关于统计学习理论与支持向量机[J]. 自动化学报, 2000, 26(1): 32-42.ZHANG X G. Introduction to statistical learning theory and support vector machines[J]. Acta Automatica Sinica, 2000, 26(1): 32-42.(in Chinese with English abstract [23] 任佳昊. 基于特征提取优化的滑坡易发性评价方法研究[D]. 南京: 南京信息工程大学, 2023.REN J H. Research on the evaluation method of landslide susceptibility based on feature extraction optimization[D]. Nanjing: Nanjing University of Information Science and Technology, 2023. (in Chinese with English abstract [24] EBERHART R, KENNEDY J. A new optimizer using particle swarm theory[C]// Proceedings of the Sixth International Symposium on Micro Machine and Human Science. Nagoya, Japan. IEEE, 2002: 39-43. [25] 郭天颂. 基于粒子群优化支持向量机的滑坡易发性评价与滑坡位移预测[D]. 西安: 长安大学, 2019.GUO T S. Landslide susceptibility evaluation and landslide displacement prediction based on particle swarm optimization-based support vector machine[D]. Xi'an: Chang'an University, 2019. (in Chinese with English abstract [26] BREIMAN L. Random forests[J]. Machine Learning, 2001, 45(1): 5-32. doi: 10.1023/A:1010933404324 [27] 郭衍昊, 窦杰, 向子林, 等. 基于优化负样本采样策略的梯度提升决策树与随机森林的汶川同震滑坡易发性评价[J]. 地质科技通报, 2024, 43(3): 251-265. doi: 10.19509/j.cnki.dzkq.tb20230037GUO Y H, DOU J, XIANG Z L, et al. Susceptibility evaluation of Wenchuan coseismic landslides by gradient boosting decision tree and random forest based on optimal negative sample sampling strategies[J]. Bulletin of Geological Science and Technology, 2024, 43(3): 251-265. (in Chinese with English abstract doi: 10.19509/j.cnki.dzkq.tb20230037 [28] TING K M, WITTEN I H. Issues in stacked generalization[J]. Journal of Artificial Intelligence Research, 1999, 10: 271-289. doi: 10.1613/jair.594 [29] DOU J, YUNUS A P, BUI D T, et al. Improved landslide assessment using support vector machine with bagging, boosting, and stacking ensemble machine learning framework in a mountainous watershed, Japan[J]. Landslides, 2020, 17(3): 641-658. doi: 10.1007/s10346-019-01286-5 [30] 蔡学湛. 福建省海岸带气候基本特征[J]. 热带地理, 1986, 6(4): 337-345. doi: 10.13284/j.cnki.rddl.001882CAI X Z. The essential features of climate in the coast zone of Fujian[J]. Tropical Geography, 1986, 6(4): 337-345. (in Chinese with English abstract doi: 10.13284/j.cnki.rddl.001882 [31] GUZZETTI F, CARRARA A, CARDINALI M, et al. Landslide hazard evaluation: A review of current techniques and their application in a multi-scale study, Central Italy[J]. Geomorphology, 1999, 31(1/2/3/4): 181-216. doi: 10.1016/s0169-555x(99)00078-1 [32] 王凯, 张少杰, 韦方强. 斜坡单元提取方法研究进展和展望[J]. 长江科学院院报, 2020, 37(6): 85-93.WANG K, ZHANG S J, WEI F Q. Slope unit extraction methods: Advances and prospects[J]. Journal of Yangtze River Scientific Research Institute, 2020, 37(6): 85-93. (in Chinese with English abstract [33] 张曦, 陈丽霞, 徐勇, 等. 两种斜坡单元划分方法对滑坡灾害易发性评价的对比研究[J]. 安全与环境工程, 2018, 25(1): 12-17. doi: 10.13578/j.cnki.issn.1671-1556.2018.01.003ZHANG X, CHEN L X, XU Y, et al. Comparison of two methods for slope unit division in landslide susceptibility evaluation[J]. Safety and Environmental Engineering, 2018, 25(1): 12-17. (in Chinese with English abstract doi: 10.13578/j.cnki.issn.1671-1556.2018.01.003 [34] 颜阁, 梁收运, 赵红亮. 基于GIS的斜坡单元划分方法改进与实现[J]. 地理科学, 2017, 37(11): 1764-1770.YAN G, LIANG S Y, ZHAO H L. An approach to improving slope unit division using GIS technique[J]. Scientia Geographica Sinica, 2017, 37(11): 1764-1770. (in Chinese with English abstract [35] 刘纪平, 梁恩婕, 徐胜华, 等. 顾及样本优化选择的多核支持向量机滑坡灾害易发性分析评价[J]. 测绘学报, 2022, 51(10): 2034-2045.LIU J P, LIANG E J, XU S H, et al. Multi-kernel support vector machine considering sample optimization selection for analysis and evaluation of landslide disaster susceptibility[J]. Acta Geodaetica et Cartographica Sinica, 2022, 51(10): 2034-2045. (in Chinese with English abstract [36] REICHENBACH P, ROSSI M, MALAMUD B D, et al. A review of statistically-based landslide susceptibility models[J]. Earth-Science Reviews, 2018, 180: 60-91. doi: 10.1016/j.earscirev.2018.03.001 [37] 徐元芹, 刘乐军, 李培英, 等. 我国典型海岛地质灾害类型特征及成因分析[J]. 海洋学报, 2015, 37(9): 71-83. doi: 10.3969/j.issn.0253-4193.2015.09.008XU Y Q, LIU L J, LI P Y, et al. Geology disaster feature and genetic analysis of typical islands, China[J]. Haiyang Xuebao, 2015, 37(9): 71-83. (in Chinese with English abstract doi: 10.3969/j.issn.0253-4193.2015.09.008 [38] QUINLAN J R. C4.5: Programs for machine leaning[M]. San Mateo, US: Morgan Kaufmann Publishers, 1993. [39] 张浩驰. 基于RS和机器学习的陕南地区地质灾害风险性评价研究[D]. 西安: 长安大学, 2022.ZHANG H C. Risk assessment of geological hazards in southern Shaanxi based on RS and machine learning[D]. Xi'an: Chang'an University, 2022. (in Chinese with English abstract [40] BOOTH G D, NICCOLUCCI M J, SCHUSTER E G. Identifying proxy sets in multiple linear regression: An aid to better coefficient interpretation[M]. Ogden, US: US Dept of Agriculture Forest Service, 1994. [41] DOU H Q, HE J B, HUANG S Y, et al. Influences of non-landslide sample selection strategies on landslide susceptibility mapping by machine learning[J]. Geomatics, Natural Hazards and Risk, 2023, 14(1): 2285719. doi: 10.1080/19475705.2023.2285719 [42] SU Q M, ZHANG J, ZHAO S M, et al. Comparative assessment of three nonlinear approaches for landslide susceptibility mapping in a coal mine area[J]. ISPRS International Journal of Geo-Information, 2017, 6(7): 228. doi: 10.3390/ijgi6070228 [43] GAROSI Y, SHEKLABADI M, POURGHASEMI H R, et al. Comparison of differences in resolution and sources of controlling factors for gully erosion susceptibility mapping[J]. Geoderma, 2018, 330: 65-78. doi: 10.1016/j.geoderma.2018.05.027 [44] 杨灿. 基于机器学习的滑坡灾害易发性评价[D]. 长沙: 中南大学, 2022.YANG C. Machine learning-based landslide susceptibility assessment[D]. Changsha: Central South University, 2022. (in Chinese with English abstract [45] ZHAO Z Y, CHEN T, DOU J, et al. Landslide susceptibility mapping considering landslide local-global features based on CNN and transformer[J]. IEEE Journal of Selected Topics in Applied Earth Observations and Remote Sensing, 2024, 17: 7475-7489. -
下载:
