Formation process and connectivity of sliding zone soil of Huangtupo landslide in the Three Gorges Reservoir area
-
摘要:
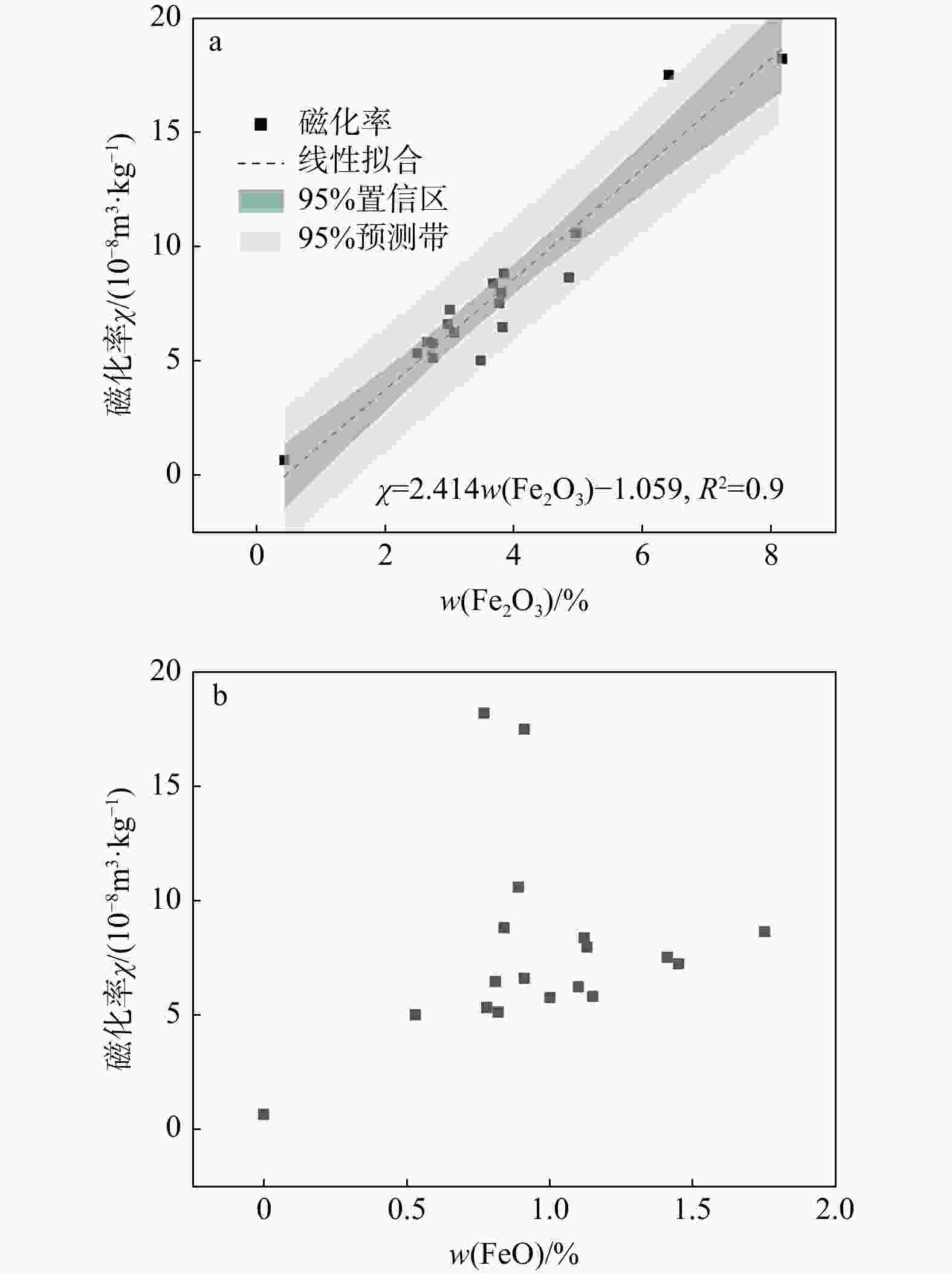
滑带土的特性对滑坡稳定性和滑坡活动具有重要的控制意义,也是滑坡防治重点考虑的必要因素。已有的滑带土调查研究主要关注滑体位移的监测等物理稳定性评估,而对滑带尤其是滑带黏土化学特性的分析研究比较有限。对黄土坡滑坡的滑带土样品进行了X射线粉晶衍射(XRD)、X射线荧光光谱分析(XRF)、Mössbauer谱及磁化率等测试分析。结果表明,伴随强烈的水−岩相互作用,黄土坡滑坡的滑带内发生了方解石溶解和黏土矿物形成作用,以及相伴随的Ca元素消减和Si、Al及Fe等元素相对富集,导致滑带内不断沉淀和聚集黏土类物质,形成典型的条带状或鸡窝状分布的滑带土。滑带土富集Fe3+而亏损Fe2+,指示滑带内相对较强的氧化环境,由此揭示黄土坡滑坡滑带内水体与外界水体的连通性较好,即滑带内处于稳定的氧化环境;因此,滑带土的Fe3+/∑Fe比值可以指示滑带的连通性以及化学稳定性。基于研究样品磁化率$\chi $和全铁含量提出经验公式$ {\text{Fe}}^{\text{3+}}/\sum {\mathrm{Fe}}=({{\chi +1.059}})/{\text{2.414}}w(\text{T}{\text{Fe}}_{\text{2}}{\text{O}}_{\text{3}} $),并利用样品磁化率和全铁含量,可以快速获取滑带土的Fe3+/∑Fe比值,进而判识滑带内的氧化还原条件,评估滑带与外界的连通性及稳定性,可以明显增强滑坡风险评估的时效性。研究成果为滑坡稳定性评估提供新的参考依据。
Abstract:ObjectiveThe characteristics of sliding zone soil play an important role in landslide stability and activity, and are also essential factors for effective landslide prevention and control. Existing research on sliding zone soil primarily focuses on physical stability assessments, including monitoring of sliding mass displacement, whereas limited studies explore the chemical characteristics of sliding zone soil, especially sliding zone clay.
MethodsTo address this gap, a comprehensive analysis of sliding zone soil samples from the Huangtupo landslide was conducted using X-ray powder diffraction (XRD), X-ray fluorescence spectroscopy (XRF), Mössbauer spectroscopy, and magnetic susceptibility.
ResultsThe results revealed that intense water-rock interactions in the sliding zone led to the dissolution of calcite and the formation of clay minerals. These processes caused a loss of Ca and the relative enrichment of Si, Al, and Fe, resulting in continuous deposition and aggregation of clay minerals in the sliding zone, and formed a typical strip-shaped or nest-like sliding zone soil. The sliding zone soil was enriched in Fe3+ but depleted in Fe2+, indicating a relatively strong oxidation environment. This suggested that the sliding zone had good connectivity with the surroundings, and the water in the sliding zone and the external water (especially the infiltration of surface water) might be in a relatively smooth and stable circulation state. Therefore, the ${\rm{Fe}}^{{3+}}/\Sigma {\mathrm{Fe}} $ ratio of sliding zone soil can be used to indicate the connectivity and chemical stability of the sliding zone. The higher the magnetic susceptibility of the sliding zone soil, the higher the corresponding Fe3+ content, and the better the connectivity of the landslide, indicating that the landslide is more stable. Based on the results of magnetic susceptibility and total iron content of the samples, an empirical formula $ {\text{Fe}}^{\text{3+}}/\Sigma{\text{Fe}}=(\chi +1.059)/{\text{2.414}}w(\text{T}{\text{Fe}}_{\text{2}}{\text{O}}_{\text{3}} $) is proposed. This formula enables a quick calculation of the ${\rm{Fe}}^{{3+}}/\Sigma {\mathrm{Fe}} $ ratio of the sliding zone soil to identify the redox environment and evaluate the connectivity and stability between the sliding zone and the surrounding environment. This approach enhances the timeliness of landslide risk assessments.
ConclusionThe research results provide a new basis for landslide stability evaluation.
-
图 1 黄土坡滑坡临江1号崩滑体工程地质平面图[27]
Qml. 第四系人工填土;Qdel. 第四系滑坡堆积层;Qcol-dl. 第四系崩积-坡积层;T2b3-2. 中三叠统巴三-二段;T2b3-1. 中三叠统巴三-一段;
Figure 1. Engineering geological plan view of No.1 riverside slump-mass of Huangtupo landslide
图 2 三峡库区黄土坡滑坡滑带土样品采集剖面图
a. 5号支洞直洞;b. 5号支洞右洞。HDT-1~16. 滑带土样品编号;TJT-1. 原岩(泥灰岩)样品编号;HT-1. 滑体样品编号;剖面1~3位置见图1;下同
Figure 2. Profiles of soil sample collection from sliding zone of Huangtupo landslide in the Three Gorges Reservoir area
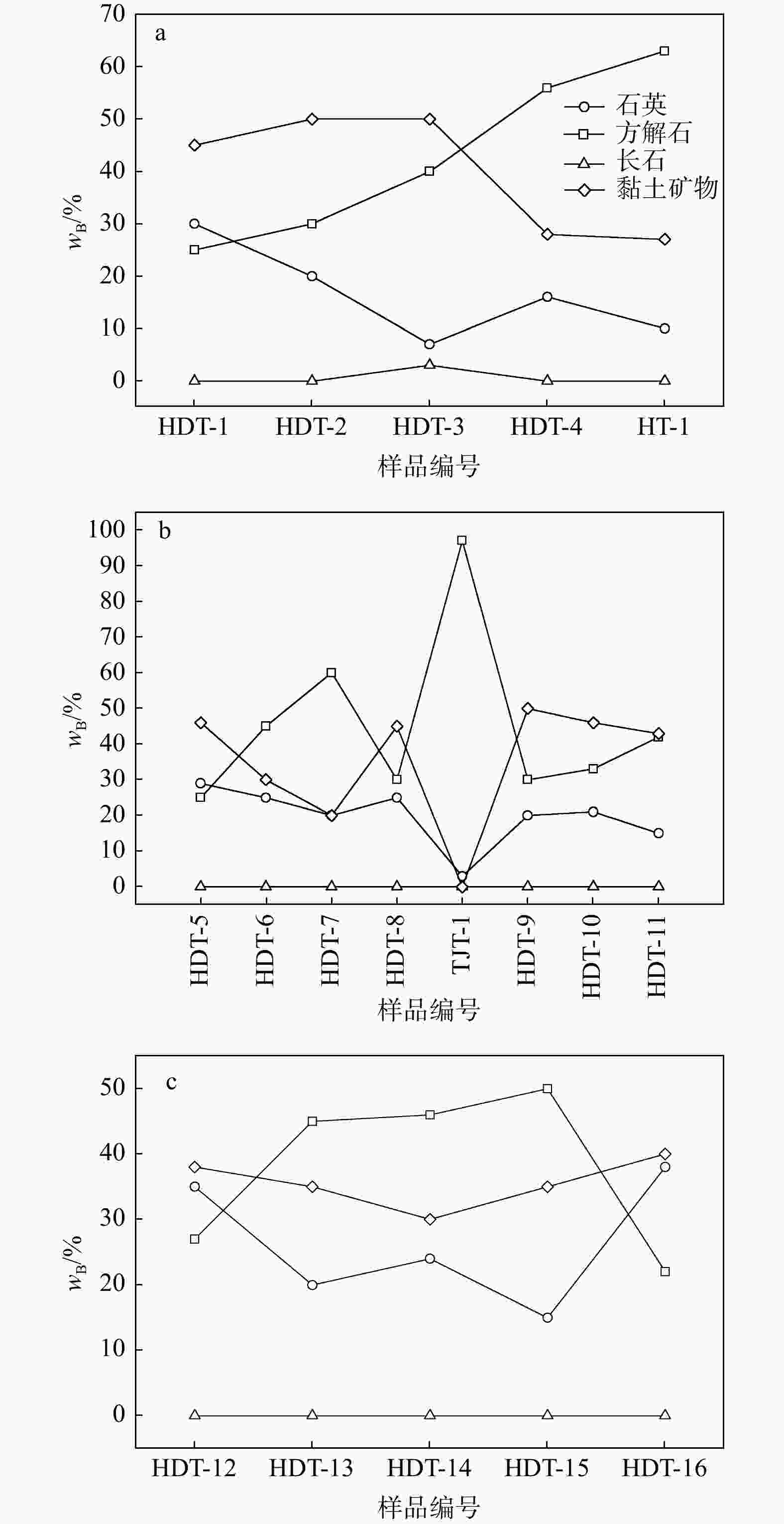
图 5 黄土坡滑坡剖面样品矿物含量与位置关系图
样品采集位置见图2
Figure 5. Relationship between mineral content and location of bulk samples from Huangtupo landslide
表 1 黄土坡滑坡剖面样品中主要矿物成分及其相对含量
Table 1. Main mineral components and their relative contents in bulk samples from Huangtupo landslide
样品编号 样品类型 石英 长石 方解石 黏土矿物 wB/% HDT-1 滑带土 30 0 25 45 HDT-2 滑带土 20 0 30 50 HDT-3 滑带土 7 3 40 50 HDT-4 滑带土 16 0 56 28 HT-1 滑体 10 0 63 27 HDT-5 滑带土 29 0 25 46 HDT-6 滑带土 25 0 45 30 HDT-7 滑带土 20 0 60 20 HDT-8 滑带土 25 0 30 45 TJT-1 残留原岩 3 0 97 0 HDT-9 滑带土 20 0 30 50 HDT-10 滑带土 21 0 33 46 HDT-11 滑带土 15 0 42 43 HDT-12 滑带土 35 0 27 38 HDT-13 滑带土 20 0 45 35 HDT-14 滑带土 24 0 46 30 HDT-15 滑带土 15 0 50 35 HDT-16 滑带土 38 0 22 40 HC-1 滑床 10 0 81 9 HC-2 滑床 10 0 86 4 注:HC-1, 2. 滑床样品编号,下同 表 2 黄土坡滑坡剖面样品主量元素质量分数
Table 2. Major element contents of bulk samples from Huangtupo landslide
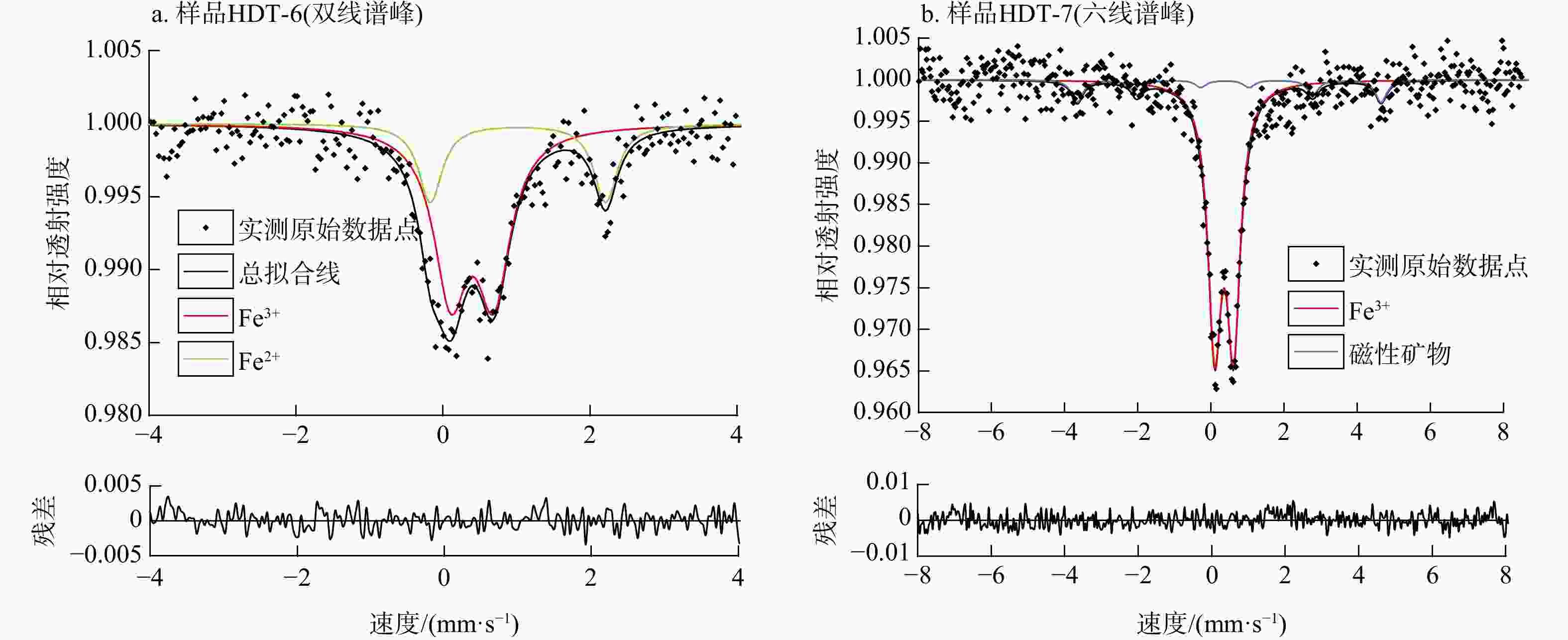
wB/% 样品编号 样品类型 SiO2 TiO2 Al2O3 TFe2O3 Fe2O3 FeO MnO MgO CaO Na2O K2O P2O5 损失量 总量 HDT-1 滑带土 44.06 0.59 13.38 6.79 4.85 1.75 0.03 2.50 14.11 0.09 3.11 0.13 14.75 99.51 HDT-2 滑带土 35.29 1.05 22.05 4.29 3.07 1.10 0.02 2.51 13.12 0.15 6.38 0.12 14.62 99.61 HDT-3 滑带土 32.21 1.00 18.80 4.61 3.00 1.45 0.03 2.87 17.23 0.12 4.96 0.12 17.58 99.55 HDT-4 滑带土 36.42 0.62 17.57 5.95 4.96 0.89 0.09 2.38 15.78 0.13 3.63 0.09 17.02 99.67 HT-1 滑体 28.11 0.51 14.07 4.78 3.84 0.84 0.06 2.11 23.96 0.11 3.28 0.09 22.57 99.65 HDT-5 滑带土 49.10 0.59 14.66 4.91 3.67 1.12 0.04 2.12 11.60 0.10 3.46 0.12 12.54 99.25 HDT-6 滑带土 36.48 0.43 11.56 3.98 2.97 0.91 0.03 1.85 22.16 0.10 2.64 0.08 20.22 99.56 HDT-7 滑带土 32.60 0.38 10.27 3.65 2.74 0.82 0.04 1.58 25.64 0.09 2.46 0.08 22.71 99.49 HDT-8 滑带土 45.43 0.60 22.70 9.01 8.16 0.77 0.06 2.08 5.29 0.19 3.49 0.08 10.41 99.34 TJT-1 残留原岩 1.82 0.02 0.58 0.43 0.43 0 0.01 0.35 53.72 0.05 0.12 0.01 42.81 99.91 HDT-9 滑带土 36.50 0.54 18.39 7.41 6.40 0.91 0.05 1.77 14.70 0.13 2.88 0.06 16.79 99.21 HDT-10 滑带土 39.77 0.57 14.36 5.34 3.77 1.41 0.02 2.22 16.97 0.09 3.47 0.13 16.51 99.46 HDT-11 滑带土 25.72 0.37 9.79 3.37 2.50 0.78 0.04 1.73 30.17 0.07 2.45 0.08 26.04 99.83 HDT-12 滑带土 50.76 0.61 14.95 5.01 3.80 1.13 0.04 2.08 10.86 0.09 3.44 0.12 11.85 99.81 HDT-13 滑带土 35.88 0.43 11.51 3.93 2.65 1.15 0.03 1.81 22.84 0.12 2.61 0.08 20.69 99.96 HDT-14 滑带土 36.41 0.42 11.42 3.85 2.74 1.00 0.03 1.78 22.59 0.10 2.62 0.08 20.72 100.03 HDT-15 滑带土 34.50 0.49 10.39 4.07 3.48 0.53 0.04 1.51 24.34 0.12 2.38 0.09 21.72 99.67 HDT-16 滑带土 51.52 0.63 13.11 4.72 3.82 0.81 0.04 2.25 11.63 0.27 2.75 0.12 12.34 99.39 表 3 黄土坡滑坡剖面样品穆斯堡尔谱测试分析结果(铁的各化学种以及全铁含量)
Table 3. Mössbauer spectrum test analysis results of bulk samples from Huangtupo landslide (relative contents of iron species and total iron contents)
样品编号 全铁质量分数/% 铁化学种 铁相对质量分数/% IS/(mm·s−1) QS/(mm·s−1) B/T HW/(mm·s−1) HDT-1 6.79 Fe3+ 0.71±0.04 0.375±0.015 0.716±0.025 0.582±0.584 Fe2+ 0.29±0.03 1.091±0.039 2.740±0.071 0.582±0.237 HDT-2 4.29 Fe3+ 0.71±0.06 0.398±0.027 0.731±0.046 0.826±0.109 Fe2+ 0.29±0.03 1.172±0.031 2.691±0.060 0.469±0.077 HDT-3 4.61 Fe3+ 0.65±0.05 0.384±0.018 0.733±0.030 0.614±0.060 Fe2+ 0.35±0.04 1.082±0.048 2.697±0.092 0.772±0.139 HDT-4 5.95 Fe3+ 0.83±0.04 0.367±0.011 0.609±0.018 0.513±0.031 Fe2+ 0.17±0.04 1.035±0.053 2.680±0.098 0.539±0.194 HDT-5 4.91 Fe3+ 0.75±0.04 0.314±0.016 0.765±0.034 0.615±0.049 Fe2+ 0.25±0.04 1.287±0.043 2.250±0.089 0.579±0.130 HDT-6 3.98 Fe3+ 0.75±0.04 0.391±0.012 0.662±0.019 0.629±0.040 Fe2+ 0.25±0.02 1.098±0.020 2.701±0.040 0.439±0.054 HDT-7 3.65 Fe3+ 0.75±0.05 0.391±0.016 0.654±0.026 0.523±0.045 Fe2+ 0.25±0.04 1.108±0.036 2.624±0.072 0.485±0.123 HDT-8 9.01 Fe3+ 0.91±0.03 0.346±0.007 0.595±0.012 0.542±0.022 磁性矿物 0.09±0.02 0.404±0.023 51.936±0.171 0.194±0.068 HDT-9 7.41 Fe3+ 0.86±0.02 0.353±0.006 0.589±0.009 0.498±0.017 磁性矿物 0.14±0.04 0.483±0.046 29.190±0.316 0.460±0.237 HDT-10 5.34 Fe3+ 0.71±0.05 0.336±0.044 0.762±0.077 0.689±0.096 Fe2+(Ⅰ) 0.25±0.06 1.177±0.102 2.447±0.206 0.676±0.250 Fe2+(Ⅱ) 0.04±0.02 1.816±0.027 1.333±0.052 0.150±0.118 HDT-11 3.37 Fe3+ 0.74±0.06 0.407±0.024 0.629±0.035 0.621±0.065 Fe2+ 0.26±0.04 1.101±0.032 2.693±0.060 0.394±0.084 HDT-11-XM Fe3+ 0.80±0.06 0.349±0.026 0.698±0.042 0.595±0.072 Fe2+ 0.20±0.08 1.096±0.049 2.578±0.116 0.359±0.224 HDT-12 5.01 Fe3+ 0.76±0.05 0.344±0.019 0.724±0.030 0.630±0.057 Fe2+ 0.24±0.04 1.080±0.053 2.721±0.104 0.625±0.163 HDT-13 3.93 Fe3+ 0.68±0.07 0.372±0.018 0.660±0.030 0.499±0.053 Fe2+ 0.32±0.05 1.120±0.056 2.726±0.101 0.570±0.133 HDT-14 3.85 Fe3+ 0.71±0.04 0.355±0.011 0.676±0.019 0.526±0.038 Fe2+ 0.29±0.03 1.100±0.031 2.613±0.060 0.543±0.075 HDT-15 4.07 Fe3+ 0.85±0.05 0.359±0.014 0.617±0.022 0.555±0.045 Fe2+ 0.15±0.01 1.938±0.076 1.041±0.105 0.582 HDT-16 4.72 Fe3+ 0.81±0.05 0.361±0.015 0.618±0.024 0.506±0.042 Fe2+ 0.19±0.04 1.126±0.040 2.652±0.082 0.402±0.130 HT-1 4.78 Fe3+ 0.80±0.05 0.354±0.016 0.639±0.026 0.581±0.054 Fe2+ 0.20±0.05 1.034±0.041 2.615±0.085 0.471±0.195 TJT-1 0.43 Fe3+ 1.00±0.19 0.303±0.031 0.537±0.053 0.513±0.146 注:HDT-11-XM. 现磨现测对照样品编号;IS. 同质异能位移,指穆斯堡尔谱中的单峰或双峰的中心位置与多普勒零速度之间的速度差;QS. 四级分裂,指双峰中2条吸收线中心的距离;B. 磁超精细场,指穆斯堡尔核处存在的有效磁场;HW. 半高宽,指共振吸收峰的最大高度一半处的全宽度 表 4 黄土坡滑坡剖面样品磁化率
Table 4. Magnetic susceptibility of bulk samples from Huangtupo landslide
样品编号 样品类型 样品颜色 样品质量/g 质量磁化率/(10−8 m3·kg−1) HDT-1 滑带土 黄色 2.90 8.67 HDT-2 滑带土 浅黄色 3.01 6.26 HDT-3 滑带土 黄色 3.04 7.26 HDT-4 滑带土 红色 3.00 10.62 HT-1 滑带土 红色 3.02 8.85 HDT-5 滑带土 红色 3.00 8.40 HDT-6 滑带土 绿色 3.01 6.63 HDT-7 滑带土 黄绿色 3.00 5.16 HDT-8 滑带土 红色 2.40 18.22 TJT-1 残留原岩 黑色 3.03 0.69 HDT-9 滑带土 棕红色 1.17 17.52 HDT-10 滑带土 黄色 1.50 7.55 HDT-11 滑带土 黄色 3.07 5.36 HDT-12 滑带土 红色 3.04 8.00 HDT-13 滑带土 黄色 3.03 5.84 HDT-14 滑带土 绿色 3.00 5.79 HDT-15 滑带土 黄色 3.00 5.04 HDT-16 滑带土 黄色 3.00 6.19 -
[1] 李守定, 李晓, 吴疆, 等. 大型基岩顺层滑坡滑带形成演化过程与模式[J]. 岩石力学与工程学报, 2007, 26(12): 2473-2480. doi: 10.3321/j.issn:1000-6915.2007.12.012LI S D, LI X, WU J, et al. Evolution process and pattern of sliding zone in large consequent bedding rock landslide[J]. Chinese Journal of Rock Mechanics and Engineering, 2007, 26(12): 2473-2480. (in Chinese with English abstract doi: 10.3321/j.issn:1000-6915.2007.12.012 [2] 王菁莪. 黄土坡滑坡滑带土的结构特征与水-力相互作用性质研究[D]. 武汉: 中国地质大学(武汉), 2012.WANG J E. Study on structure and hydro-mechanical properties of sliding zone soil in Huangtupo landslide[D]. Wuhan: China University of Geosciences(Wuhan), 2012. (in Chinese with English abstract [3] 文宝萍, 陈海洋. 矿物成分、特征地球化学组分对水在滑带形成中作用的指示意义: 以三峡库区大型滑坡为例[J]. 地学前缘, 2007, 14(6): 98-106. doi: 10.1016/S1872-5791(08)60006-8WEN B P, CHEN H Y. Mineral compositions and elements concentrations as indicators for the role of groundwater in the development of landslide slip zones: A case study of large-scale landslides in the Three Gorges area in China[J]. Earth Science Frontiers, 2007, 14(6): 98-106. (in Chinese with English abstract doi: 10.1016/S1872-5791(08)60006-8 [4] 江洎洧, 项伟, 曾雯, 等. 三峡库区黄土坡临江滑坡体水岩(土)相互作用机理[J]. 岩土工程学报, 2012, 34(7): 1209-1216.JIANG J W, XIANG W, ZENG W, et al. Water-rock(soil) interaction mechanism of Huangtupo riverside landslide in Three Gorges Reservoir[J]. Chinese Journal of Geotechnical Engineering, 2012, 34(7): 1209-1216. (in Chinese with English abstract [5] 汪斌, 朱杰兵, 唐辉明, 等. 黄土坡滑坡滑带土的蠕变特性研究[J]. 长江科学院院报, 2008, 25(1): 49-52.WANG B, ZHU J B, TANG H M, et al. Study on creep behavior of slip band soil of Huangtupo landslide[J]. Journal of Yangtze River Scientific Research Institute, 2008, 25(1): 49-52. (in Chinese with English abstract [6] 徐则民, 黄润秋, 范柱国. 滑坡灾害孕育: 激发过程中的水−岩相互作用[J]. 自然灾害学报, 2005, 14(1): 1-9. doi: 10.3969/j.issn.1004-4574.2005.01.001XU Z M, HUANG R Q, FAN Z G. Water-rock interaction in process of landslide preparing and triggering[J]. Journal of Natural Disasters, 2005, 14(1): 1-9. (in Chinese with English abstract doi: 10.3969/j.issn.1004-4574.2005.01.001 [7] 李守定, 李晓, 张年学, 等. 三峡库区宝塔滑坡泥化夹层泥化过程的水岩作用[J]. 岩土力学, 2006, 27(10): 1841-1846. doi: 10.3969/j.issn.1000-7598.2006.10.041LI S D, LI X, ZHANG N X, et al. Water-rock interaction of clay gouged intercalation sludging process of Baota landslides in Three Gorges Reservoir area[J]. Rock and Soil Mechanics, 2006, 27(10): 1841-1846. (in Chinese with English abstract doi: 10.3969/j.issn.1000-7598.2006.10.041 [8] XU S, ZHENG G D, LANG Y H. Radiocarbon dating and Mössbauer spectroscopic study of the Mukaiyama landslide, Japan[J]. Journal of Radioanalytical and Nuclear Chemistry, 2003, 258(2): 307-314. doi: 10.1023/A:1026237805136 [9] 李星, 杨赛, 李远耀, 等. 面向区域滑坡易发性精细化评价的改进斜坡单元法[J]. 地质科技通报, 2023, 42(3): 81-92.LI X, YANG S, LI Y Y, et al. Improved slope unit method for fine evaluation of regional landslide susceptibility[J]. Bulletin of Geological Science and Technology, 2023, 42(3): 81-92. (in Chinese with English abstract [10] TANG H M, WASOWSKI J, JUANG C H. Geohazards in the Three Gorges Reservoir area, China: Lessons learned from decades of research[J]. Engineering Geology, 2019, 261: 105267. doi: 10.1016/j.enggeo.2019.105267 [11] 邓清禄, 王学平. 黄土坡滑坡的发育历史: 坠覆-滑坡-改造[J]. 地球科学, 2000, 25(1): 44-50.DENG Q L, WANG X P. Growth history of Huangtupo landslide: Down-slope overlapping-landsliding-modification[J]. Earth Science, 2000, 25(1): 44-50. (in Chinese with English abstract [12] 武雄, 于青春, 何满潮, 等. 三峡库区巴东黄土坡巨型古滑坡体形成机理[J]. 水利学报, 2006, 37(8): 969-976.WU X, YU Q C, HE M C, et al. Formation mechanism of Huangtupo landslide in reservoir of Three Gorges Project[J]. Journal of Hydraulic Engineering, 2006, 37(8): 969-976. (in Chinese with English abstract [13] 陈海洋, 虞钢箭, 张桂坪. 三峡库区巴东型滑坡典型滑带微观结构与物理力学特征研究[J]. 资源环境与工程, 2007, 21(2): 147-151.CHEN H Y, YU G J, ZHANG G P. The microstructure and physical mechanics of the typical sliding belt of the Badong-type landslide in the Three-Gorge Reservoir[J]. Resources Environment & Engineering, 2007, 21(2): 147-151. (in Chinese with English abstract [14] TANG H M, LI C D, HU X L, et al. Deformation response of the Huangtupo landslide to rainfall and the changing levels of the Three Gorges Reservoir[J]. Bulletin of Engineering Geology and the Environment, 2015, 74(3): 933-942. doi: 10.1007/s10064-014-0671-z [15] TANG H M, LI C D, HU X L, et al. Evolution characteristics of the Huangtupo landslide based on in situ tunneling and monitoring[J]. Landslides, 2015, 12(3): 511-521. doi: 10.1007/s10346-014-0500-2 [16] DENG Q L, REN X W. An energy method for deformation behavior of soft clay under cyclic loads based on dynamic response analysis[J]. Soil Dynamics and Earthquake Engineering, 2017, 94: 75-82. doi: 10.1016/j.soildyn.2016.12.012 [17] 安鹏举. 动水作用下黄土坡滑坡滑带劣化过程及动态稳定性评价研究[D]. 武汉: 中国地质大学(武汉), 2022.AN P J. Strength degradation of sliding zone and dynamic stability evaluation of Huangtupo landslide under hydrodynamic condition[D]. Wuhan: China University of Geosciences (Wuhan), 2022. (in Chinese with English abstract [18] 滑帅. 三峡库区黄土坡滑坡多期次成因机制及其演化规律研究[D]. 武汉: 中国地质大学(武汉), 2015.HUA S. Genetic mechanism of multi-stages sliding and evolution law of the Huangtupo landslide in the Three Gorges Reservoir area[D]. Wuhan: China University of Geosciences(Wuhan), 2015. (in Chinese with English abstract [19] 王禹, 冯霄, 杜娟, 等. 建设区顺层岩质滑坡地质力学演化模型: 以万州铁峰乡麦地坪滑坡为例[J]. 地质科技通报, 2023, 42(5): 43-51.WANG Y, FENG X, DU J, et al. Geomechanical evolution model of bedding rock landslides in construction areas: A case study of the Maidiping landslide in Tiefeng Town, Wanzhou[J]. Bulletin of Geological Science and Technology, 2023, 42(5): 43-51. (in Chinese with English abstract [20] 任幼蓉, 张军, 陈鹏, 等. 危岩滑坡简易监测预警研究: 以重庆市及邻近地区为例[J]. 地质灾害与环境保护, 2007, 18(1): 14-19.REN Y R, ZHANG J, CHEN P, et al. A study on simple early-warning prediction for rockfall and landslide: Chongqing and its around area[J]. Journal of Geological Hazards and Environment Preservation, 2007, 18(1): 14-19. (in Chinese with English abstract [21] 郑国东. 基于穆斯堡尔谱技术的铁化学种及其在相关表生地球科学研究中的应用[J]. 矿物岩石地球化学通报, 2008, 27(2): 161-168. doi: 10.3969/j.issn.1007-2802.2008.02.009ZHENG G D. Iron speciation by Mössbauer spectroscopy and its implications in various studies on the earth surface processes[J]. Bulletin of Mineralogy, Petrology and Geochemistry, 2008, 27(2): 161-168. (in Chinese with English abstract doi: 10.3969/j.issn.1007-2802.2008.02.009 [22] 郑国东, 徐胜, 郎煜华, 等. 日本富山县中田浦滑坡滑带内的黄铁矿[J]. 地球化学, 2006, 35(2): 201-210.ZHENG G D, XU S, LANG Y H, et al. Pyrite in sliding mud of the Nakataura landslide in Toyama Prefecture, Japan[J]. Geochimica, 2006, 35(2): 201-210. (in Chinese with English abstract [23] 郭义, 张茜, 楼蓉蓉. 基于演化特征分析的黄土坡滑坡滑带土强度指标变化规律的探讨[J]. 水电能源科学, 2013, 31(9): 127-130. doi: 10.20040/j.cnki.1000-7709.2013.09.037GUO Y, ZHANG Q, LOU R R. Research on variation of strength indexes of Huangtupo landslide sliding zone soil based on analysis of evolutionary characteristics[J]. Water Resources and Power, 2013, 31(9): 127-130. (in Chinese with English abstract doi: 10.20040/j.cnki.1000-7709.2013.09.037 [24] 陈松, 徐光黎, 陈国金, 等. 三峡库区黄土坡滑坡滑带工程地质特征研究[J]. 岩土力学, 2009, 30(10): 3048-3052. doi: 10.3969/j.issn.1000-7598.2009.10.028CHEN S, XU G L, CHEN G J, et al. Research on engineering geology characteristics of soil in sliding zone of Huangtupo landslide in Three Gorges Reservoir area[J]. Rock and Soil Mechanics, 2009, 30(10): 3048-3052. (in Chinese with English abstract doi: 10.3969/j.issn.1000-7598.2009.10.028 [25] 鲁莎. 三峡库区黄土坡滑坡滑带特性及变形演化研究[D]. 武汉: 中国地质大学(武汉), 2017.LU S. Study on slip zone properties and evolution characteristics of Huangtupo landslide in Three Gorges Reservoir area[D]. Wuhan: China University of Geosciences(Wuhan), 2017. (in Chinese with English abstract [26] 杨何, 汤明高, 许强, 等. 长江三峡库区滑坡变形统计特征研究[J]. 灾害学, 2021, 36(2): 37-42. doi: 10.3969/j.issn.1000-811X.2021.02.007YANG H, TANG M G, XU Q, et al. Research of statistical characteristics of deformation of landslides in the Three Gorges Reservoir area of the Yangtze River[J]. Journal of Catastrophology, 2021, 36(2): 37-42. (in Chinese with English abstract doi: 10.3969/j.issn.1000-811X.2021.02.007 [27] 倪卫达, 唐辉明, 胡新丽, 等. 黄土坡临江Ⅰ号崩滑体变形及稳定性演化规律研究[J]. 岩土力学, 2013, 34(10): 2961-2970.NI W D, TANG H M, HU X L, et al. Research on deformation and stability evolution law of Huangtupo riverside slump-mass No. Ⅰ[J]. Rock and Soil Mechanics, 2013, 34(10): 2961-2970. (in Chinese with English abstract [28] 国家质量监督检验检疫总局. 超基性岩成分分析标准物质: GBW07101[S]. 西安: 地质矿产部西安地质矿产研究所, 1988.General Administration of Quality Supervision, Inspection and Quarantine of the People's Republic of China. Certified Reference Material Ultrabasic Rock: GBW07101[S]. Xi'an: Xi'an Institute of Geology and Mineral Resources, Ministry of Geology and Mineral Resources, 1988. (in Chinese) [29] 国家质量监督检验检疫总局. 土壤和水系沉积物成分分析标准物质: GSS07401[S]. 河北廊坊: 中国地质科学院地球物理地球化学勘察研究所, 2019.General Administration of Quality Supervision, Inspection and Quarantine of the People's Republic of China. Certified Reference Material for the Chenical Composition of Soil and Stream Sediments: GSS07401[S]. Langfang Hebei: Institute of Geophysical and Geochemical Exploration, 2019. (in Chinese) [30] 国家质量监督检验检疫总局. 水系沉积物成分分析标准物质: GBW07302[S]. 河北廊坊: 中国地质科学院地球物理地球化学勘察研究所, 2010.General Administration of Quality Supervision, Inspection and Quarantine of the People's Republic of China. Certificate of Certified Reference Material Stream Sediment: GBW07302[S]. Langfang Hebei: Institute of Geophysical and Geochemical Exploration, 2010. (in Chinese) [31] 王秋霞, 平先权, 郑建平, 等. 穆斯堡尔光谱仪在揭示地幔氧逸度研究中的应用[J]. 地球科学, 2023, 48(3): 1217-1231.WANG Q X, PING X Q, ZHENG J P, et al. Mineral ferric iron contents of peridotite xenoliths by Mössbauer spectroscopy: Oxygen fugacity applications[J]. Earth Science, 2023, 48(3): 1217-1231. (in Chinese with English abstract [32] RAMDHANI R, FITRIANI D, KIRANA K H, et al. Magnetic properties of soils from landslide potential area (Case study: Pasir Ipis-Lembang, West Bandung)[J]. Journal of Physics: Conference Series, 2016, 739(1): 012107. [33] ZHENG G, SUZUKI K, TAKAHASHI Y, et al. Identification of pyrite using 57Fe Mössbauer spectroscopy in core sediments from Erhai Lake, SW China combined with a series of acidic pre-treatments[J]. Journal of Radioanalytical and Nuclear Chemistry, 2006, 269(1): 43-50. doi: 10.1007/s10967-006-0228-0 [34] ZHENG G D, LANG Y H, TAKANO B, et al. Iron speciation of sliding mud in Toyama Prefecture, Japan[J]. Journal of Asian Earth Sciences, 2002, 20(8): 955-963. doi: 10.1016/S1367-9120(01)00088-8 [35] ZHENG G D, XU S, LANG Y H, et al. Variation of iron species in sliding mud[J]. Chinese Science Bulletin, 2002, 47(23): 2018-2024. doi: 10.1360/02tb9438 [36] KOSAKA K. Evaluating landslide deposits along the Tsurukawa fault zone, Japan, using magnetic susceptibility[J]. Bulletin of Engineering Geology and the Environment, 2000, 58(3): 179-182. doi: 10.1007/s100640050073 [37] 袁大刚, 张甘霖. 雨花台红土的磁化率特征及其古环境意义[J]. 土壤, 2008, 40(1): 110-113.YUAN D G, ZHANG G L. Characterization of magnetic susceptibility of red earth at Yuhuatai and its paleo-environmental implications[J]. Soils, 2008, 40(1): 110-113. (in Chinese with English abstract [38] VELDE B B, MEUNIER A. The origin of clay minerals in soils and weathered rocks[M]. Berlin, Heidelberg: Springer, 2008. [39] CAO S, XIANG W, WANG J G, et al. Identifying the groundwater sources of Huangtupo landslide in the Three Gorges Reservoir area of China[J]. Water, 2023, 15(9): 1741. doi: 10.3390/w15091741 [40] WANG J G, SU A J, XIANG W, et al. New data and interpretations of the shallow and deep deformation of Huangtupo No. Ⅰ riverside sliding mass during seasonal rainfall and water level fluctuation[J]. Landslides, 2016, 13(4): 795-804. doi: 10.1007/s10346-016-0712-8 [41] 徐则民, 黄润秋, 唐正光, 等. 黏土矿物与斜坡失稳[J]. 岩石力学与工程学报, 2005, 24(5): 729-740.XU Z M, HUANG R Q, TANG Z G, et al. Clay minerals and failure of slopes[J]. Chinese Journal of Rock Mechanics and Engineering, 2005, 24(5): 729-740. (in Chinese with English abstract [42] BOBROWSKY P , HIGHLAND L. The landslide handbook: A guide to understanding landslides: A landmark publication for landslide education and preparedness[J]. Landslides: Global Risk Preparedness, 2013: 75-84. [43] 唐辉明, 鲁莎. 三峡库区黄土坡滑坡滑带空间分布特征研究[J]. 工程地质学报, 2018, 26(1): 129-136. doi: 10.13544/j.cnki.jeg.2018.01.014TANG H M, LU S. Research on the spatial distribution of slip zone of Huangtupo landslide in Three Gorges Reservoir area[J]. Journal of Engineering Geology, 2018, 26(1): 129-136. (in Chinese with English abstract doi: 10.13544/j.cnki.jeg.2018.01.014 [44] 郑国东, 徐胜, 郎煜华, 等. 滑坡面黏土中铁元素的化学种变化[J]. 科学通报, 2002, 47(24): 1889-1893. doi: 10.3321/j.issn:0023-074X.2002.24.011ZHENG G D, XU S, LANG Y H, et al. Chemical species variation of iron element in the landslide surface clay[J]. Chinese Science Bulletin, 2002, 47(24): 1889-1893. (in Chinese with English abstract doi: 10.3321/j.issn:0023-074X.2002.24.011 -
下载:
