Experimental study on the effects of different rainfall patterns on deformation and failure of bedding rock slopes with weak interlayers
-
摘要:
三峡库区作为强降雨区域,是我国滑坡灾害最严重的地区之一,降雨作用下顺层岩质边坡极易发生滑坡,统计表明64%的巨型、大型滑坡发育于此类结构岩质岸坡段,尤其含软弱夹层的顺层岩质边坡。为研究此类边坡的变形特征及其对降雨雨型的响应规律,以杉树槽顺层岩质边坡为原型,采用缩尺物理模型试验方法,模拟了前峰型、中峰型、后峰型和无峰型4种不同降雨雨型下,含软弱夹层顺层岩质边坡的变形破坏全过程,进而分析了边坡应力场、渗流场演变特征,并对边坡变形破坏阶段进行了划分。结果表明:①不同降雨雨型主要影响软弱夹层应力与渗流的响应时间,对岩体间作用力影响较小。②含软弱夹层顺层岩质边坡的应力重分布主要集中于软弱夹层处,其中坡脚应力变化幅度最大。不同降雨雨型作用下软弱夹层的孔隙水压力和位移变化趋势大致相同,但其初始响应时间存在较大差异。③不同降雨雨型作用下,滑坡破坏模式以整体滑移破坏、局部滑移-拉裂破坏2种形式为主,且随着降雨雨型雨峰位置的前移,其牵引式破坏特征愈加显著。④根据物理模型试验中边坡宏观变形特征及多场监测数据,可将顺层岩质边坡变形破坏过程划分为3个阶段,即坡体前缘变形阶段、坡体应变累积发展阶段、整体加速变形阶段。本研究揭示了顺层岩质边坡变形特征及其演化过程对降雨雨型的响应规律,对库区滑坡灾害防控与运营安全具有重大意义。
Abstract:ObjectiveThe Three Gorges Reservoir area, a region prone to heavy rainfall, is one of the most landslide-prone areas in China. Under the influence of rainfall, bedding rock slopes are particularly susceptible to landslides. Statistics indicate that 64% of the massive and large landslides occur in such structural rock slopes, especially bedding rock slopes with weak interlayers, posing severe threats to the safety of people and property. Therefore, understanding the deformation characteristics of these bedding rock slopes and their response to rainfall patterns is of great significance for the construction and operation of the reservoir area.
MethodsThis study used the Shanshucao bedding rock slope as a prototype and conducted scaled physical model tests to simulate the entire deformation and failure process of bedding rock slopes with weak interlayers under four different rainfall patterns: Front-peak, middle-peak, rear-peak, and no-peak. The tests were designed to analyze the evolution characteristics of the stress field and seepage field within the slope and to identify the stages of slope deformation and failure.
ResultsThe research findings indicated that: (1) Different rainfall patterns primarily affected the response time of stress and seepage in the weak interlayer, with minimal impact on the interaction forces within the rock mass. (2) The stress redistribution caused by bedding rock slopes with weak interlayer was mainly concentrated in the weak interlayer, with the stress variation being most significant at the toe of the slope. Although the trends of pore water pressure and displacement changes in the weak interlayer were generally similar under different rainfall patterns, there were significant differences in the initial response time of pore water pressure. (3) Under different rainfall patterns, the landslide failure modes were mainly characterized by overall sliding failure and local sliding-tensile cracking failure. As the rainfall peak position shifted forward, the traction-type failure became more pronounced, which manifested by a forward shift in the location of the rear edge cracks of the landslide. (4) Based on the macroscopic deformation characteristics of the slope observed in the physical model tests and multi-field monitoring data, the deformation and failure process of the bedding rock slope could be divided into three stages: Deformation at the leading edge, the strain accumulation and development stage, and the overall accelerated deformation stage.
ConclusionThese findings reveal the response patterns of the deformation characteristics and evolutionary processes of bedding rock slopes to rainfall patterns, which provides important insights for landslide hazard prevention and the safe operation of resevoir areas.
-
图 10 坡体软弱夹层孔隙水压力监测曲线图(孔压计K1~K3埋设位置见图6)
Figure 10. Pore water pressure monitoring curves of weak interlayer in slope
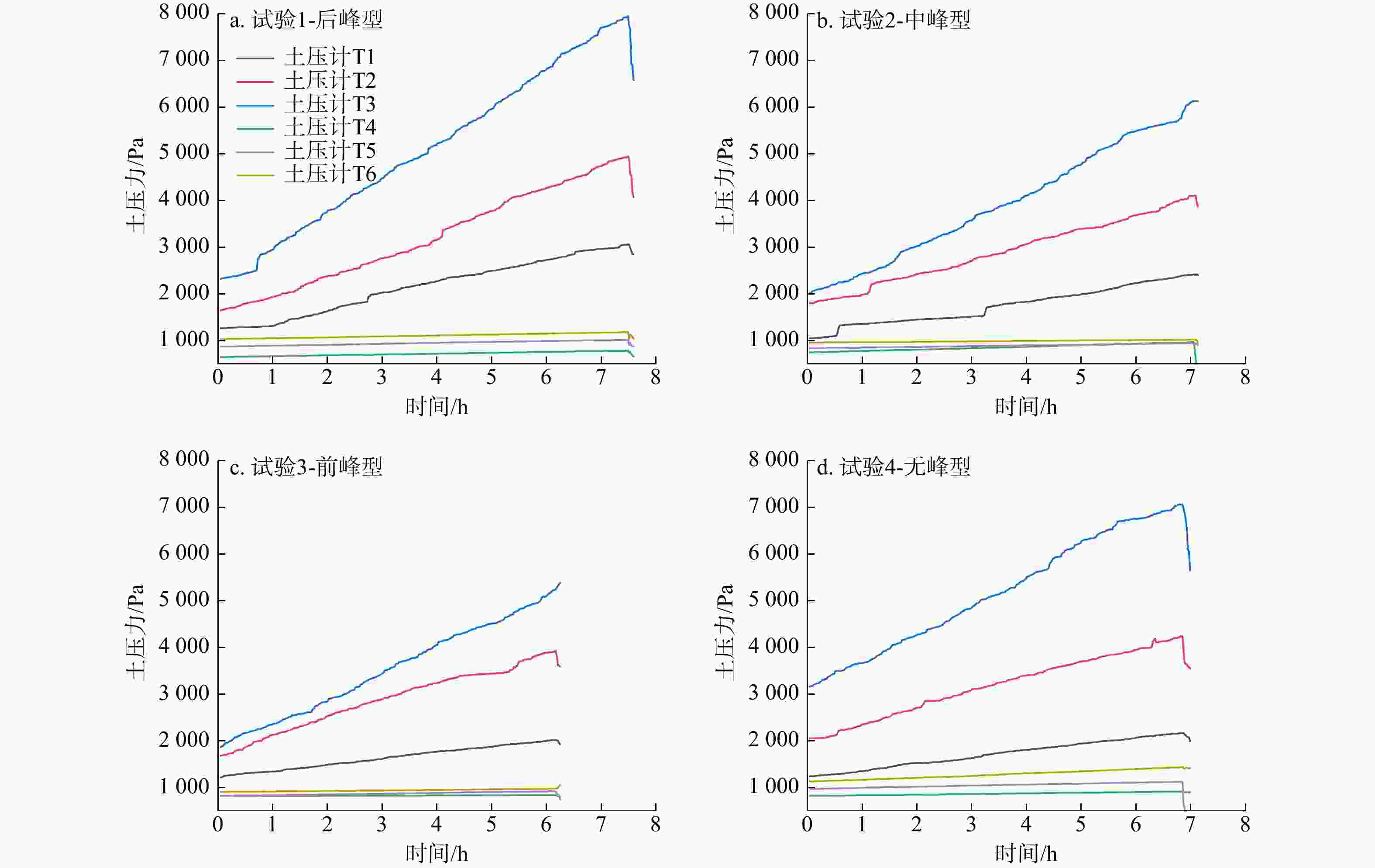
图 11 坡体土压力监测曲线图(土压计T1~T6埋设位置见图6)
Figure 11. Soil pressure monitoring curves of slope
图 13 边坡模型降雨过程监测点位移−时间曲线图(监测点位置1~6见图12)
①为坡体前缘变形阶段;②为坡体应变累积发展阶段;③为整体加速变形阶段
Figure 13. Displacement-time curves of monitoring points during rainfall of slope model
表 1 模型材料与原型材料相似关系
Table 1. Similarity relationships between model materials and prototype materials
物理量 相似常数 比例因子 几何尺寸l Cl(控制量) 200 重度γ Cγ(控制量) 1 黏聚力c Cc 200 内摩擦角φ Cφ 1 降雨强度q Cq 1 表 2 硬岩相似材料配比及测试结果
Table 2. Proportions and test results of similar materials for hard rock
试验编号 相似材料及质量配比 物理力学参数 石英砂 重晶石粉 水泥 石膏 w(水)/% 黏聚力c/kPa 内摩擦角φ/(°) 质量配比因子 天然 饱和 天然 饱和 1 3 6 0 1 14 29.77 26.35 36.2 32.1 2 6 3 0 1 21.37 17.71 34.1 30.1 3 3 6 0.25 0.75 37.61 31.21 38.1 35.1 4 3 6 0.50 0.50 42.71 38.96 44.1 43.7 5 3 6 0 1.50 33.52 31.15 38.7 32.7 6 3 6 0 2 37.62 33.11 39.7 33.5 7 4 5 0 1 28.24 24.63 35.2 31.8 8 5 4 0 1 26.74 21.34 34.9 30.5 表 3 软弱夹层相似材料配比及测试结果
Table 3. Proportions and test results of similar materials for weak interlayer
试验编号 相似材料及质量配比 物理力学参数 黏土 石英砂 重晶石粉 石膏 w(水)/% w(汽车机油)/% 黏聚力c/kPa 内摩擦角φ/(°) 质量配比因子 天然 饱和 天然 饱和 1 3 6 0 1 14 2 6.51 3.15 29.6 26.9 2 3 6 0 1 16 2.41 1.27 28.7 24.2 3 3 6 0 1 18 1.12 0.51 26.1 19.7 4 6 3 0 1 18 8.19 6.64 27.8 26.5 5 3 6 0.50 0.50 18 0.97 0.77 26.4 25.1 6 3 6 0.25 0.75 18 1.01 0.84 26.7 25.2 7 4 5 0 1 18 3.96 2.87 25.7 22.5 8 5 4 0 1 18 6.71 5.52 24.9 23.7 表 4 相似材料目标值与实际值
Table 4. Target values and actual values of similar materials
材料类型 参数 密度/(g·cm−3) 黏聚力/kPa 内摩擦角/(°) 天然 饱和 天然 饱和 天然 饱和 硬岩 原岩 2.55 2.65 6.72×103 4.39×103 37.20 34.30 目标值 2.55 2.65 33.60 21.90 37.20 34.30 最佳相似材料 2.32 2.71 37.61 31.21 38.10 35.10 理论相似比 1 1 200 200 1 1 实际相似比 1.09 0.98 178.70 140.70 0.98 0.98 软弱夹层 原岩 1.84 1.96 137.20 86 26.30 20.10 目标值 1.84 1.96 0.69 0.43 26.30 20.10 最佳相似材料 1.79 2.01 1.12 0.51 26.10 19.70 理论相似比 1 1 200 200 1 1 实际相似比 1.03 0.97 122.50 168.60 1.01 1.02 表 5 物理模型试验监测仪器
Table 5. Monitoring instruments for physical model test
设备名称 参数指标 设备照片 BWMK型孔隙水压力计 量程范围:0.01~3.0 MPa
准确度误差:≤0.3%F·S
灵敏度:0.05 mv/kPa
LY-350型应变式土压力计 量程范围:0~100 kPa
准确度误差:≤0.05%F·S
精度等级:0.5
DT85G数据采集仪 读数精度:0.01%
最大采样速度:25 Hz
注:F·S表示仪器仪表测试中的满量程(Full Scale)精度 表 6 各雨型降雨强度设计
Table 6. Design of rainfall intensity for different rainfall patterns
降雨雨型 小时降雨量/mm 降雨历时/h 后峰型 5t 9 中峰型 10t−5(1≤t≤5);
100−10t(6≤t≤9)9 前峰型 50−5t 9 无峰型 25 9 注:t为降雨时间 表 7 各降雨雨型位移突增与破坏时间
Table 7. Sudden displacement increases and failure times for different rainfall patterns
降雨雨型 位移突增时间/min 破坏时间/min 前峰型 331 371 中峰型 371 412 后峰型 404 456 无峰型 362 405 -
[1] YAO W M, LI C D, ZUO Q J, et al. Spatiotemporal deformation characteristics and triggering factors of Baijiabao landslide in Three Gorges Reservoir region, China[J]. Geomorphology, 2019, 343: 34-47. doi: 10.1016/j.geomorph.2019.06.024 [2] XIA M, REN G M, MA X L. Deformation and mechanism of landslide influenced by the effects of reservoir water and rainfall, Three Gorges, China[J]. Natural Hazards, 2013, 68(2): 467-482. doi: 10.1007/s11069-013-0634-x [3] 吴益平, 张秋霞, 唐辉明, 等. 基于有效降雨强度的滑坡灾害危险性预警[J]. 地球科学, 2014, 39(7): 889-895.WU Y P, ZHANG Q X, TANG H M, et al. Landslide hazard warning based on effective rainfall intensity[J]. Earth Science, 2014, 39(7): 889-895. (in Chinese with English abstract [4] 李卓, 何勇军, 盛金保, 等. 降雨与库水位共同作用下近坝库岸边坡滑坡模型试验研究[J]. 岩土工程学报, 2017, 39(3): 452-459.LI Z, HE Y J, SHENG J B, et al. Landslide model for slope of reservoir bank under combined effects of rainfall and reservoir water level[J]. Chinese Journal of Geotechnical Engineering, 2017, 39(3): 452-459. (in Chinese with English abstract [5] 张明, 胡瑞林, 殷跃平, 等. 川东缓倾红层中降雨诱发型滑坡机制研究[J]. 岩石力学与工程学报, 2014, 33(增刊2): 3783-3790. doi: 10.13722/j.cnki.jrme.2014.s2.048ZHANG M, HU R L, YIN Y P, et al. Study of mechanism of landslide induced by rainfall in gently inclined red stratum in East Sichuan Basin[J]. Chinese Journal of Rock Mechanics and Engineering, 2014, 33(S2): 3783-3790. (in Chinese with English abstract doi: 10.13722/j.cnki.jrme.2014.s2.048 [6] GAO Y T, HU X. Physical model test and forecasting analysis of Boji stone landslides[J]. Applied Mechanics and Materials, 2011, 90/93: 1369-1372. [7] 王刚, 孙萍, 吴礼舟, 等. 降雨诱发浅表层黄土滑坡机理实验研究[J]. 工程地质学报, 2017, 25(5): 1252-1263. doi: 10.13544/j.cnki.jeg.2017.05.010WANG G, SUN P, WU L Z, et al. Experimental study on mechanism of shallow loess landslides induced by rainfall[J]. Journal of Engineering Geology, 2017, 25(5): 1252-1263. (in Chinese with English abstract doi: 10.13544/j.cnki.jeg.2017.05.010 [8] 李德营, 徐勇, 殷坤龙, 等. 降雨型滑坡高速运动与堆积特征模拟研究: 以宁乡县王家湾滑坡为例[J]. 地质科技情报, 2019, 38(4): 225-230.LI D Y, XU Y, YIN K L, et al. Simulation of high-speed movement and accumulation characteristics of rainfall-induced landslide: A case of Wangjiawan landslide in Ningxiang County[J]. Geological Science and Technology Information, 2019, 38(4): 225-230. (in Chinese with English abstract [9] 龚裔芳, 金福喜, 张可能, 等. 红砂岩泥化夹层力学特性及其对边坡稳定性的影响[J]. 重庆交通大学学报(自然科学版), 2010, 29(2): 220-223.GONG Y F, JIN F X, ZHANG K N, et al. Influence on slope stability of physical-mechanical property of clayer thin interlayer in red sandstone[J]. Journal of Chongqing Jiaotong University (Natural Science), 2010, 29(2): 220-223. (in Chinese with English abstract [10] 王运超. 降雨条件下顺层岩质边坡致灾机理研究[D]. 成都: 西南交通大学, 2012.WANG Y C. Study on hazard mechanism of rainfall-induced rock bedded slope[D]. Chengdu: Southwest Jiaotong University, 2012. (in Chinese with English abstract [11] RAN Q H, HONG Y Y, LI W, et al. A modelling study of rainfall-induced shallow landslide mechanisms under different rainfall characteristics[J]. Journal of Hydrology, 2018, 563: 790-801. doi: 10.1016/j.jhydrol.2018.06.040 [12] 翟淑花, 于家烁, 齐干, 等. 降雨入渗条件下堆积体边坡致灾因子试验分析[J]. 地质科技通报, 2023, 42(3): 9-15. doi: 10.19509/j.cnki.dzkq.tb20220488ZHAI S H, YU J S, QI G, et al. Triggering factor analysis of deposit slope under rainfall infiltration based on laboratory experiments[J]. Bulletin of Geological Science and Technology, 2023, 42(3): 9-15. (in Chinese with English abstract doi: 10.19509/j.cnki.dzkq.tb20220488 [13] WANG H L, JIANG Z H, XU W Y, et al. Physical model test on deformation and failure mechanism of deposit landslide under gradient rainfall[J]. Bulletin of Engineering Geology and the Environment, 2022, 81(1): 66. doi: 10.1007/s10064-021-02566-y [14] 许艺林, 李远耀, 李思德, 等. 库水位下降叠加降雨作用时堆积层滑坡渗流-变形机制[J]. 地质科技通报, 2024, 43(1): 216-228. doi: 10.19509/j.cnki.dzkq.tb20220417XU Y L, LI Y Y, LI S D, et al. Seepage-deformation mechanism of colluvial landslides under the action of reservoir water level decline and rainfall[J]. Bulletin of Geological Science and Technology, 2024, 43(1): 216-228. (in Chinese with English abstract doi: 10.19509/j.cnki.dzkq.tb20220417 [15] 马洁华, 孙建奇, 汪君, 等. 2018年夏季我国极端降水及滑坡泥石流灾害预测[J]. 大气科学学报, 2019, 42(1): 93-99. doi: 10.13878/j.cnki.dqkxxb.20181214001MA J H, SUN J Q, WANG J, et al. Real-time prediction for 2018 JJA extreme precipitation and landslides[J]. Transactions of Atmospheric Sciences, 2019, 42(1): 93-99. (in Chinese with English abstract doi: 10.13878/j.cnki.dqkxxb.20181214001 [16] KEIFER C J, CHU H H. Synthetic storm pattern for drainage design[J]. Journal of the Hydraulics Division, 1957, 83(4): 1-25. doi: 10.1061/jyceaj.0000104 [17] HUFF F A. Time distribution of rainfall in heavy storms[J]. Water Resources Research, 1967, 3(4): 1007-1019. doi: 10.1029/WR003i004p01007 [18] PILGRIM D H, CORDERY I, DORAN D G. Assessment of runoff characteristics in arid western New South Wales[J]. The Hydrology of Areas of Low Precipitation, 1979: 128. [19] CHANG S C, WANG X Y, CHOW C Y. The method of space-time conservation element and solution element: Applications to one-dimensional and two-dimensional time-marching flow problems[C]//Anon. 12th Computational Fluid Dynamics Conference. [S. l. ]: [s. n. ], 1995. [20] 刘艳辉, 唐灿, 李铁锋, 等. 地质灾害与降雨雨型的关系研究[J]. 工程地质学报, 2009, 17(5): 656-661. doi: 10.3969/j.issn.1004-9665.2009.05.012LIU Y H, TANG C, LI T F, et al. Statistical relations between geo-hazards and rain-type[J]. Journal of Engineering Geology, 2009, 17(5): 656-661. (in Chinese with English abstract doi: 10.3969/j.issn.1004-9665.2009.05.012 [21] 罗渝, 何思明, 何尽川. 降雨类型对浅层滑坡稳定性的影响[J]. 地球科学, 2014, 39(9): 1357-1363.LUO Y, HE S M, HE J C. Effect of rainfall patterns on stability of shallow landslide[J]. Earth Science, 2014, 39(9): 1357-1363. (in Chinese with English abstract [22] 刘金辉. 三峡库区紫色土坡耕地壤中流与氮磷运移过程的模拟研究[D]. 重庆: 重庆大学, 2018.LIU J H. Simulation study of interflow and nitrogen and phosphorus transport in purple soil sloping farmland in Three Gorges Reservoir area [D]. Chongqing: Chongqing University, 2018. (in Chinese with English abstract [23] 向玲, 王世梅, 王力. 动水压力型滑坡对库水位升降作用的响应: 以三峡库区树坪滑坡为例[J]. 工程地质学报, 2014, 22(5): 876-882.XIANG L, WANG S M, WANG L. Response of typical hydrodynamic pressure landslide to reservoir water level fluctuation: Shuping landslide in Three Gorges Reservoir as an example[J]. Journal of Engineering Geology, 2014, 22(5): 876-882. (in Chinese with English abstract [24] 喻章. 杉树槽滑坡滑带土强度衰减特性及失稳机理研究[D]. 武汉: 中国地质大学(武汉), 2018.YU Z. Study on strength attenuation characteristics of slip soil and failure mechanism of shanshucao landslide[D]. Wuhan: China University of Geosciences(Wuhan), 2018. (in Chinese with English abstract [25] 汤明高, 李松林, 许强, 等. 基于离心模型试验的库岸滑坡变形特征研究[J]. 岩土力学, 2020, 41(3): 755-764. doi: 10.16285/j.rsm.2019.0214TANG M G, LI S L, XU Q, et al. Study of deformation characteristics of reservoir landslide based on centrifugal model test[J]. Rock and Soil Mechanics, 2020, 41(3): 755-764. (in Chinese with English abstract doi: 10.16285/j.rsm.2019.0214 [26] MORIWAKI H, INOKUCHI T, HATTANJI T, et al. Failure processes in a full-scale landslide experiment using a rainfall simulator[J]. Landslides, 2004, 1(4): 277-288. doi: 10.1007/s10346-004-0034-0 [27] 李龙起, 罗书学, 魏文凯, 等. 降雨入渗对含软弱夹层顺层岩质边坡性状影响的模型试验研究[J]. 岩石力学与工程学报, 2013, 32(9): 1772-1778.LI L Q, LUO S X, WEI W K, et al. Model tests of rainfall infiltration effect on bedding rock slope with weak interlayer[J]. Chinese Journal of Rock Mechanics and Engineering, 2013, 32(9): 1772-1778. (in Chinese with English abstract [28] 杨登芳, 胡新丽, 徐楚, 等. 基于物理模型试验的多层滑带滑坡变形演化特征[J]. 地质科技通报, 2022, 41(2): 300-308.YANG D F, HU X L, XU C, et al. Deformation and evolution characteristics of landslides with multiple sliding zones based on physical model test[J]. Bulletin of Geological Science and Technology, 2022, 41(2): 300-308. (in Chinese with English abstract [29] 刘新荣, 邓志云, 刘永权, 等. 地震作用下水平层状岩质边坡累积损伤与破坏模式研究[J]. 岩土力学, 2019, 40(7): 2507-2516. doi: 10.16285/j.rsm.2018.0675LIU X R, DENG Z Y, LIU Y Q, et al. Study of cumulative damage and failure mode of horizontal layered rock slope subjected to seismic loads[J]. Rock and Soil Mechanics, 2019, 40(7): 2507-2516. (in Chinese with English abstract doi: 10.16285/j.rsm.2018.0675 [30] 徐楚, 胡新丽, 何春灿, 等. 水库型滑坡模型试验相似材料的研制及应用[J]. 岩土力学, 2018, 39(11): 4287-4293. doi: 10.16285/j.rsm.2017.0399XU C, HU X L, HE C C, et al. Development and application of similar material for reservoir landslide model test[J]. Rock and Soil Mechanics, 2018, 39(11): 4287-4293. (in Chinese with English abstract doi: 10.16285/j.rsm.2017.0399 [31] 孟朕, 吴琼, 鲁莎, 等. 基于CT扫描的巴东组易滑岩组微观结构劣化研究[J]. 安全与环境工程, 2022, 29(4): 11-23. doi: 10.13578/j.cnki.issn.1671-1556.20211397MENG Z, WU Q, LU S, et al. Investigation on microstructure deterioration of sliding-prone formation in Badong Formation based on CT scanning[J]. Safety and Environmental Engineering, 2022, 29(4): 11-23. (in Chinese with English abstract doi: 10.13578/j.cnki.issn.1671-1556.20211397 [32] 王凯, 李术才, 张庆松, 等. 流-固耦合模型试验用的新型相似材料研制及应用[J]. 岩土力学, 2016, 37(9): 2521-2533. doi: 10.3969/j.issn.1000-6915.2012.06.006WANG K, LI S C, ZHANG Q S, et al. Development and application of new similar materials of surrounding rock for a fluid-solid coupling model test[J]. Rock and Soil Mechanics, 2016, 37(9): 2521-2533. (in Chinese with English abstract doi: 10.3969/j.issn.1000-6915.2012.06.006 [33] 王汉鹏, 李术才, 张强勇, 等. 新型地质力学模型试验相似材料的研制[J]. 岩石力学与工程学报, 2006, 25(9): 1842-1847.WANG H P, LI S C, ZHANG Q Y, et al. Development of a new geomechanical similar material[J]. Chinese Journal of Rock Mechanics and Engineering, 2006, 25(9): 1842-1847. (in Chinese with English abstract [34] 占清华, 王世梅, 赵代鹏. 库水上升对含软弱夹层滑坡稳定性影响模型的试验研究[J]. 长江科学院院报, 2016, 33(2): 86-90. doi: 10.11988/ckyyb.20140884ZHAN Q H, WANG S M, ZHAO D P. Model test study on landslide with weak layers under uprise of reservoir water[J]. Journal of Yangtze River Scientific Research Institute, 2016, 33(2): 86-90. (in Chinese with English abstract doi: 10.11988/ckyyb.20140884 [35] 肖捷夫, 李云安, 胡勇, 等. 库水涨落和降雨条件下古滑坡变形特征模型试验研究[J]. 岩土力学, 2021, 42(2): 471-480. doi: 10.16285/j.rsm.2020.0688XIAO J F, LI Y A, HU Y, et al. Model tests on deformation characteristics of ancient bank landslide under water level fluctuation and rainfall[J]. Rock and Soil Mechanics, 2021, 42(2): 471-480. (in Chinese with English abstract doi: 10.16285/j.rsm.2020.0688 [36] 江强强, 焦玉勇, 宋亮, 等. 降雨和库水位联合作用下库岸滑坡模型试验研究[J]. 岩土力学, 2019, 40(11): 4361-4370. doi: 10.16285/j.rsm.2018.1617JIANG Q Q, JIAO Y Y, SONG L, et al. Experimental study on reservoir landslide under rainfall and water-level fluctuation[J]. Rock and Soil Mechanics, 2019, 40(11): 4361-4370. (in Chinese with English abstract doi: 10.16285/j.rsm.2018.1617 [37] 唐军峰, 唐雪梅, 肖鹏, 等. 库水位升降与降雨作用下大型滑坡体渗流稳定性分析[J]. 地质科技通报, 2021, 40(4): 153-161. doi: 10.19509/j.cnki.dzkq.2021.0409TANG J F, TANG X M, XIAO P, et al. Analysis of seepage stability of large-scale landslide under water-level fluctuation and rainfall[J]. Bulletin of Geological Science and Technology, 2021, 40(4): 153-161. (in Chinese with English abstract doi: 10.19509/j.cnki.dzkq.2021.0409 [38] 李树忱, 冯现大, 李术才, 等. 新型固流耦合相似材料的研制及其应用[J]. 岩石力学与工程学报, 2010, 29(2): 281-288.LI S C, FENG X D, LI S C, et al. Research and development of a new similar material for solid-fluid coupling and its application[J]. Chinese Journal of Rock Mechanics and Engineering, 2010, 29(2): 281-288. (in Chinese with English abstract [39] 赵勇, 李术才, 赵岩, 等. 超大断面隧道开挖围岩荷载释放过程的模型试验研究[J]. 岩石力学与工程学报, 2012, 31(增刊2): 3821-3830.ZHAO Y, LI S C, ZHAO Y, et al. Model test study of surrounding rock load releasing during super-large section tunnel excavation[J]. Chinese Journal of Rock Mechanics and Engineering, 2012, 31(S2): 3821-3830. (in Chinese with English abstract [40] 杨艳丽, 刘持菊, 谢陈. 1998—2019年秭归县暴雨变化特征分析[J]. 现代农业科技, 2021(2): 155-157.YANG Y L, LIU C J, XIE C. Analysis on characteristics of heavy rain in Zigui County from 1998 to 2019[J]. Modern Agricultural Science and Technology, 2021(2): 155-157. (in Chinese with English abstract [41] 苏鹏民, 陈龙, 左清军, 等. 强降雨作用下秭归县“7·17”湾水田滑坡成因机制研究[J]. 中国地质灾害与防治学报, 2026, 37(1): 61-74.SU P M, CHEN L, ZUO Q J, et al. Research on the instability mechanism of the Wanshuitian landslide in Zigui County, China, on July 17th under intense rainfall[J]. The Chinese Journal of Geological Hazard and Control, 2026, 37(1): 61-74. (in Chinese with English abstract -
下载:
