Spatial-temporal distribution patterns of cotton root system under brackish water mulched drip irrigation and three-dimensional dynamic growth simulation
-
摘要:
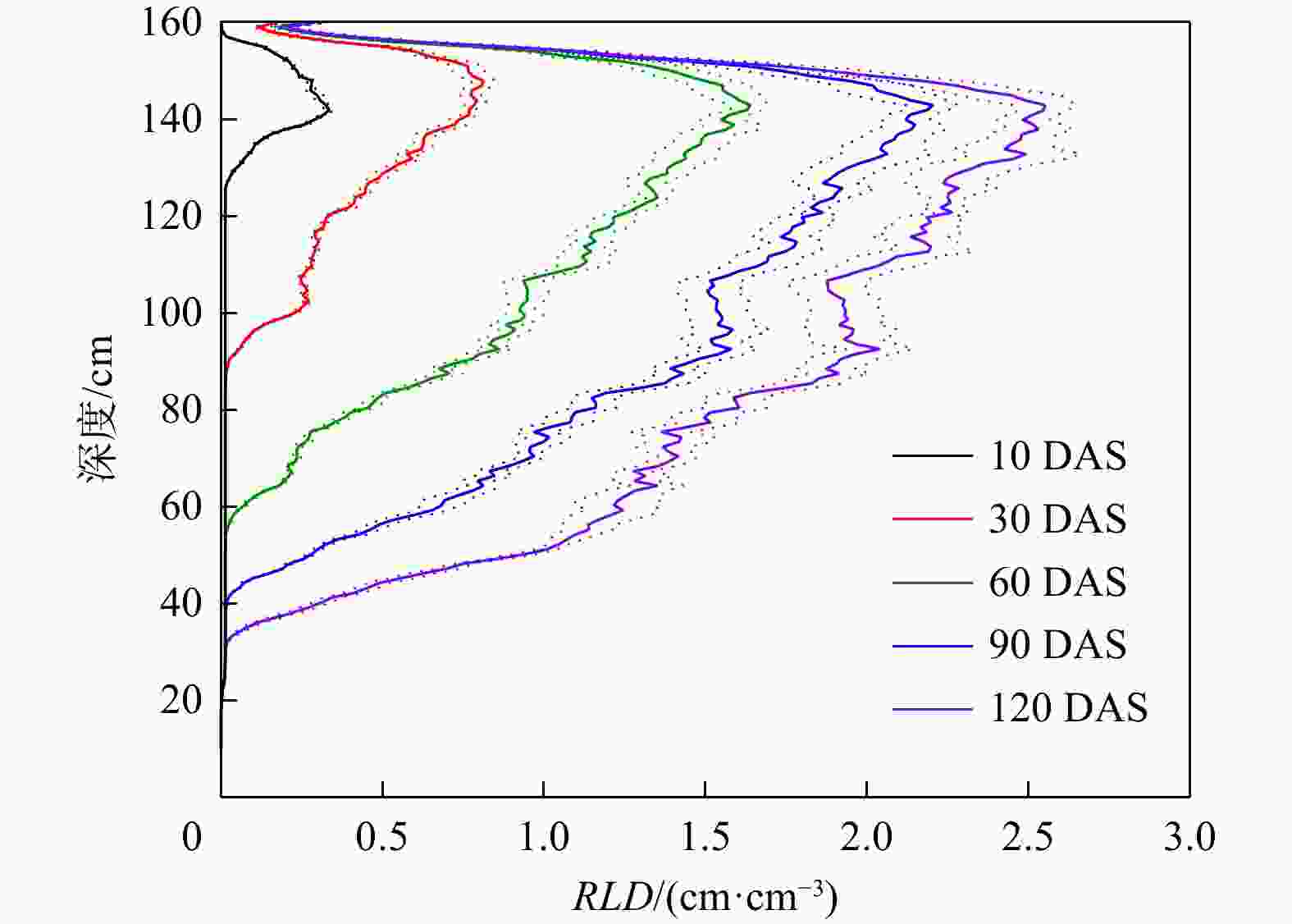
新疆地处我国干旱−半干旱区,为节约水资源广泛使用微咸水膜下滴灌技术进行棉花种植,但微咸水利用不当易引起土壤盐渍化,棉花根系密度较大的区域强烈的吸水作用使土壤水分降低、盐分在区域内过量累积,引起棉花减产。为确保微咸水膜下滴灌棉田土壤生境及棉花产量,应充分考虑棉花根系分布对田间水盐运移的影响。本研究基于新疆巴州灌溉试验站棉田开展野外田间试验获取的棉花根系生长参数,构建微咸水膜下滴灌棉花根系生长模型,定量刻画棉花根系时空分布规律。研究结果表明:①根系的空间分布受土壤水分和盐分的影响,蕾期至花铃期根系更多地集中在滴灌带与宽行位置,盛铃期至吐絮期根系在深度50 cm以上有明显衰退,而在90~130 cm土壤中根系有所发育;②棉花根系三维生长模型的预测趋势与实际观测值保持一致,模拟值与实测值对比平均相对误差
MRE 在0.2486 ~0.5378 之间,均方根误差RMSE 在2.4127 ~4.8710 cm/cm2之间,符合指数d 在0.7541 ~0.9529 之间,模拟结果总体能够描述棉花根长密度RLD 分布;③棉花根系的三维模拟考虑了大田种植环境的生长情况,模拟结果达到了三维动态生长的效果,模型能够较好地模拟根系生长发育进程的形态结构。基于微根管法原位动态监测,利用CPlantBox建模框架能够构建微咸水膜下滴灌棉花根系生长模型,研究成果为探究根系形态时空分布对田间土壤水分迁移及根区水盐分布的影响机制奠定基础,对提高新疆棉花高产稳产具有重要的理论和实践意义。Abstract:Objective Xinjiang is located in the arid to semi-arid region of China. To conserve water resources, brackish water mulched drip irrigation technology is widely used for cotton cultivation. However, improper use of brackish water can lead to soil salinization. Regions with high cotton root density experience strong water absorption, resulting in soil moisture reduction and excessive salt accumulation, leading to decreased cotton yield. To ensure the soil habitat and cotton yield under brackish water mulched drip irrigation, the influence of cotton root distribution on field water and salt transport should be fully considered.
Methods Based on the field experiments conducted at the cotton fields of the Bayingolin Irrigation Experiment Station in Xinjiang, this study obtains cotton root growth parameters to construct a growth model for cotton roots under brackish water mulched drip irrigation, quantitatively characterizing the spatiotemporal distribution patterns of cotton roots.
Results The study results indicated that: ① The spatial distribution of roots is influenced by soil moisture and salinity. During the budding to flowering stage, roots are more concentrated in the drip irrigation belt and inter-row positions. From the peak flowering to boll-opening stage, roots show significant decline beyond a depth of 50 cm, but develop in the soil depths of 90-130 cm. ② The predicted trend of the three-dimensional growth model of cotton roots is consistent with the actual observations, with
MRE (the mean relative error) ranging from0.2486 to0.5378 ,RMSE (the root mean square error) from2.4127 to4.8710 cm/cm2, andd (the index of agreement) from0.7541 to0.9529 . The simulation results overall describe the distribution of cotton root length density (RLD). ③ The three-dimensional simulation of cotton root system takes into account the growth conditions in the field planting environment, achieving a dynamic three-dimensional growth effect. The model can effectively simulate the morphological structure of root system growth and development processes.Conclusion Based on in-situ dynamic monitoring by minirhizotron technique, CPlantBox can be used to construct the cotton root growth model under brackish water film drip irrigation. The research results lay the foundation for exploring the impact mechanism of spatial-temporal distribution of root morphology on field soil water migration and root zone water and salt distribution. This has important theoretical and practical implications for improving high and stable cotton yield in Xinjiang.
-
表 1 2020年棉田试验灌水方案及生育期时间
Table 1. Irrigation scheme and growth stage timing for cotton field experiments in 2020
生育期 灌水次数 日期 DAS/d 灌水量/mm 生育期 灌水次数 日期 DAS /d 灌水量/mm 苗期 1 06-19 65 14.1 花铃期 8 07-24 100 46.7 2 06-24 70 18.5 9 07-29 105 46.7 蕾期 3 06-29 75 41.1 10 08-03 110 46.7 4 07-04 80 46.7 11 08-08 115 46.6 5 07-09 85 46.7 盛铃期 12 08-13 120 46.6 6 07-14 90 46.7 13 08-18 125 46.6 7 07-19 95 46.7 吐絮期 14 08-23 130 32.8 表 2 根系生长模型不同模拟天数根长密度(RLD)验证结果
Table 2. Validation results of root length density (RLD) for different simulation days using the root growth model
模拟时间/DAS 样本数/个 MRE RMSE/(cm·cm−2) d 72 150 0.5378 3.9098 0.7541 99 150 0.2746 2.4127 0.9529 122 150 0.4450 3.0403 0.9020 139 150 0.4933 4.2273 0.8787 148 150 0.4694 4.8710 0.8702 153 150 0.2486 3.3358 0.9353 表 3 用于棉花根系模拟的根构型关键参数
Table 3. Key parameters of root architecture for simulating cotton root system
序号 Code 参数名称/单位 根系级数 数值(标准偏差) 1 a0 根部半径/cm 0 0.672 2 lmax0 最大根长度/cm 0 140 (14) 3 ln0 横向距离/cm 0 1 (0.2) 4 r0 初始增长率/(cm·d−1) 0 3 5 theta0 根与母根夹角/rad 0 0 6 a1 根部半径/cm 1 0.148 (0.042) 7 lmax1 最大根长度/cm 1 65 (6.5) 8 ln1 横向距离/cm 1 0.7 (0.1) 9 r1 初始增长率/(cm·d−1) 1 0.5 (0.1) 10 theta1 根与母根夹角/rad 1 1.326 (0.087) 11 a2 根部半径/cm 2 0.08 (0.01) 12 lmax2 最大根长度/cm 2 10 (1) 13 ln2 横向距离/cm 2 0.4 (0.1) 14 r2 初始增长率/(cm·d−1) 2 1 (0.2) 15 theta2 根与母根夹角/rad 2 1.221 (0.262) -
[1] WANG J T, DU G F, TIAN J S, et al. Effect of irrigation methods on root growth, root-shoot ratio and yield components of cotton by regulating the growth redundancy of root and shoot[J]. Agricultural Water Management, 2020, 234: 106120. doi: 10.1016/j.agwat.2020.106120 [2] WEI K, ZHANG J H, WANG Q J, et al. Irrigation with ionized brackish water affects cotton yield and water use efficiency[J]. Industrial Crops and Products, 2022, 175: 114244. doi: 10.1016/j.indcrop.2021.114244 [3] LI X W, JIN M G, HUANG J O, et al. The soil-water flow system beneath a cotton field in arid North-West China, serviced by mulched drip irrigation using brackish water[J]. Hydrogeology Journal, 2015, 23(1): 35-46. doi: 10.1007/s10040-014-1210-5 [4] WANG Z, FAN B, GUO L. Soil salinization after long-term mulched drip irrigation poses a potential risk to agricultural sustainability[J]. European Journal of Soil Science, 2019, 70(1): 20-24. doi: 10.1111/ejss.12742 [5] JACKSON R B, CALDWELL M M. Geostatistical patterns of soil heterogeneity around individual perennial plants[J]. The Journal of Ecology, 1993, 81(4): 683. doi: 10.2307/2261666 [6] 雷志栋, 杨诗秀, 谢森传. 土壤水动力学[M]. 北京: 清华大学出版社, 1988.LEI Z D. Soil hydrodynamics[M]. Beijing: Tsinghua University Press, 1988. (in Chinese) [7] HULUGALLE N R, BROUGHTON K J, TAN D K Y. Fine root production and mortality in irrigated cotton, maize and sorghum sown in vertisols of northern New South Wales, Australia[J]. Soil and Tillage Research, 2015, 146: 313-322. doi: 10.1016/j.still.2014.10.004 [8] CRAINE J M. Competition for nutrients and optimal root allocation[J]. Plant and Soil, 2006, 285(1): 171-185. [9] CHEN W L, JIN M G, FERRÉ T P A, et al. Spatial distribution of soil moisture, soil salinity, and root density beneath a cotton field under mulched drip irrigation with brackish and fresh water[J]. Field Crops Research, 2018, 215: 207-221. doi: 10.1016/j.fcr.2017.10.019 [10] 宁松瑞. 长期膜下滴灌棉田根系层盐分累积效应模拟[D]. 北京: 中国农业大学, 2015.NING S R. Simulation of salt accumulation effect in root layer of cotton field under long-term drip irrigation under plastic film[D]. Beijing: China Agricultural University, 2015. (in Chinese with English abstract [11] CAI G C, VANDERBORGHT J, LANGENSIEPEN M, et al. Root growth, water uptake, and sap flow of winter wheat in response to different soil water conditions[J]. Hydrology and Earth System Sciences, 2018, 22(4): 2449-2470. doi: 10.5194/hess-22-2449-2018 [12] SMETHURST P J, COMERFORD N B. Simulating nutrient uptake by single or competing and contrasting root systems[J]. Soil Science Society of America Journal, 1993, 57(5): 1361-1367. doi: 10.2136/sssaj1993.03615995005700050033x [13] 杨猛, 肖成. 与环境交互的根系动态生长可视化算法[J]. 农业机械学报, 2022, 53(7): 275-281.YANG M, XIAO C. Visualization of growing dynamically of root system interacting with environment[J]. Transactions of the Chinese Society for Agricultural Machinery, 2022, 53(7): 275-281. (in Chinese with English abstract [14] PIERRET A, MORAN C J, DOUSSAN C. Conventional detection methodology is limiting our ability to understand the roles and functions of fine roots[J]. New Phytologist, 2005, 166(3): 967-980. doi: 10.1111/j.1469-8137.2005.01389.x [15] 廖荣伟, 刘晶淼. 作物根系形态观测方法研究进展讨论[J]. 气象科技, 2008, 36(4): 429-435.LIAO R W, LIU J M. Progresses in methods for observing crop root pattern system[J]. Meteorological Science and Technology, 2008, 36(4): 429-435. (in Chinese with English abstract [16] 陈文岭. 微咸水膜下滴灌棉花根系−水−盐−微量元素相互作用研究[D]. 武汉: 中国地质大学(武汉), 2018.CHEN W L. Study on the interactions of cotton root-soil moisture-salinity-trace element under mulched drip irrigation with brackish water[D]. Wuhan: China University of Geosciences (Wuhan), 2018. (in Chinese with English abstract [17] 陈绍民. 基于土壤水分分布的滴灌棉花根系构型模拟方法研究[D]. 石河子: 石河子大学, 2015.CHEN S M. Study on the method of drip irrigation cotton root architecture simulation based on soil water distribution[D]. Shihezi: Shihezi University, 2015. (in Chinese with English abstract [18] NING S R, SHI J C, ZUO Q, et al. Generalization of the root length density distribution of cotton under film mulched drip irrigation[J]. Field Crops Research, 2015, 177: 125-136. doi: 10.1016/j.fcr.2015.03.012 [19] JHA S K, GAO Y, LIU H, et al. Root development and water uptake in winter wheat under different irrigation methods and scheduling for North China[J]. Agricultural Water Management, 2017, 182: 139-150. doi: 10.1016/j.agwat.2016.12.015 [20] GARRÉ S, PAGÈS L, LALOY E, et al. Parameterizing a dynamic architectural model of the root system of spring barley from minirhizotron data[J]. Vadose Zone Journal, 2012, 11(4): vzj2011.0179. [20] GARRÉ S, PAGÈS L, LALOY E, et al. Parameterizing a dynamic architectural model of the root system of spring barley from minirhizotron data[J]. Vadose Zone Journal, 2012, 11(4): vzj2011.0179. [LinkOut]. [21] 薛苍松. 新疆哈密深层坑渗灌葡萄根系分布特征及吸水模型研究[D]. 西安: 西安理工大学, 2017.XUE C S. Study on distribution of root and water uptake model of grape tree at deep-pit irrigation condition in Xinjiang Hami region[D]. Xi’an: Xi’an University of Technology, 2017. (in Chinese with English abstract [22] RAATS P A C. Steady flows of water and salt in uniform soil profiles with plant roots[J]. Soil Science Society of America Journal, 1974, 38(5): 717-722. doi: 10.2136/sssaj1974.03615995003800050012x [23] RASMUSSEN V P, HANKS R J. Spring wheat yield model for limited moisture conditions[J]. Agronomy Journal, 1978, 70(6): 940-944. doi: 10.2134/agronj1978.00021962007000060012x [24] ROOSE T, FOWLER A C, DARRAH P R. A mathematical model of plant nutrient uptake[J]. Journal of Mathematical Biology, 2001, 42(4): 347-360. doi: 10.1007/s002850000075 [25] DUPUY L, GREGORY P J, BENGOUGH A G. Root growth models: Towards a new generation of continuous approaches[J]. Journal of Experimental Botany, 2010, 61(8): 2131-2143. doi: 10.1093/jxb/erp389 [26] KALOGIROS D I, ADU M O, WHITE P J, et al. Analysis of root growth from a phenotyping data set using a density-based model[J]. Journal of Experimental Botany, 2016, 67(4): 1045-1058. doi: 10.1093/jxb/erv573 [27] LEITNER D, KLEPSCH S, BODNER G, et al. A dynamic root system growth model based on L-Systems[J]. Plant and Soil, 2010, 332(1): 177-192. [28] POSTMA J A, KUPPE C, OWEN M R, et al. OpenSimRoot: Widening the scope and application of root architectural models[J]. New Phytologist, 2017, 215(3): 1274-1286. doi: 10.1111/nph.14641 [29] BESHARAT S, NAZEMI A H, SADRADDINI A A. Parametric modeling of root length density and root water uptake in unsaturated soil[J]. Turkish Journal of Agriculture and Forestry, 2010, 34(5): 439-449. [30] BUSSCHER W. Simulation of field water use and crop yield[J]. Soil Science, 1980, 129(3): 193. [31] VRUGT J A, HOPMANS J W, ŠIMUNEK J. Calibration of a two-dimensional root water uptake model[J]. Soil Science Society of America Journal, 2001, 65(4): 1027-1037. doi: 10.2136/sssaj2001.6541027x [32] HAN M, ZHAO C Y, FENG G, et al. Evaluating the effects of mulch and irrigation amount on soil water distribution and root zone water balance using HYDRUS-2D[J]. Water, 2015, 7(6): 2622-2640. doi: 10.3390/w7062622 [33] PHOGAT V, MAHADEVAN M, SKEWES M, et al. Modelling soil water and salt dynamics under pulsed and continuous surface drip irrigation of almond and implications of system design[J]. Irrigation Science, 2012, 30(4): 315-333. doi: 10.1007/s00271-011-0284-2 [34] RAVIKUMAR V, VIJAYAKUMAR G, ŠIMŮNEK J, et al. Evaluation of fertigation scheduling for sugarcane using a vadose zone flow and transport model[J]. Agricultural Water Management, 2011, 98(9): 1431-1440. doi: 10.1016/j.agwat.2011.04.012 [35] SCHNEPF A, LEITNER D, LANDL M, et al. CRootBox: A structural-functional modelling framework for root systems[J]. Annals of Botany, 2018, 121(5): 1033-1053. doi: 10.1093/aob/mcx221 [36] SCHNEPF A, HUBER K, LANDL M, et al. Statistical characterization of the root system architecture model CRootBox[J]. Vadose Zone Journal, 2018, 17(1): 170212. [37] LANDL M, SCHNEPF A, VANDERBORGHT J, et al. Measuring root system traits of wheat in 2D images to parameterize 3D root architecture models[J]. Plant and Soil, 2018, 425(1): 457-477. [38] ZHOU X R, SCHNEPF A, VANDERBORGHT J, et al. CPlantBox, a whole-plant modelling framework for the simulation of water- and carbon-related processes[J]. In Silico Plants, 2020, 2(1): diaa001. doi: 10.1093/insilicoplants/diaa001 [39] MORANDAGE S, VANDERBORGHT J, ZÖRNER M, et al. Root architecture development in stony soils[J]. Vadose Zone Journal, 2021, 20(4): e20133. doi: 10.1002/vzj2.20133 [40] PHALEMPIN M, LANDL M, WU G M, et al. Maize root-induced biopores do not influence root growth of subsequently grown maize plants in well aerated, fertilized and repacked soil columns[J]. Soil and Tillage Research, 2022, 221: 105398. doi: 10.1016/j.still.2022.105398 [41] LANDL M, HAUPENTHAL A, LEITNER D, et al. Simulating rhizodeposition patterns around growing and exuding root systems[J]. In Silico Plants, 2021, 3(2): diab028. doi: 10.1093/insilicoplants/diab028 [42] ZHONG N, LUO X W, QIN Q. Modeling and visualization of three-dimensional soybean root system growth based on growth functions[J]. Transactions of the CSAE, 2008, 24(7): 151-154. [43] COELHO M B, VILLALOBOS F J, MATEOS L. Modeling root growth and the soil-plant-atmosphere continuum of cotton crops[J]. Agricultural Water Management, 2003, 60(2): 99-118. doi: 10.1016/S0378-3774(02)00165-8 [44] CHEN W L, CHEN F F, LAI S X, et al. Spatial distribution and dynamics of cotton fine root under film-mulched drip irrigation[J]. Industrial Crops and Products, 2022, 179: 114693. doi: 10.1016/j.indcrop.2022.114693 [45] JOHNSON M G, TINGEY D T, PHILLIPS D L, et al. Advancing fine root research with minirhizotrons[J]. Environmental and Experimental Botany, 2001, 45(3): 263-289. doi: 10.1016/S0098-8472(01)00077-6 [46] GREGORY P J. Plant roots: Growth, activity and interaction with soils[M]. New York: John Wiley & Sons, 2006. [47] MORANDAGE S, SCHNEPF A, LEITNER D, et al. Parameter sensitivity analysis of a root system architecture model based on virtual field sampling[J]. Plant and Soil, 2019, 438(1): 101-126. [48] 李萌. 南疆膜下滴灌棉花灌溉和施肥调控效应及生长模拟研究[D]. 陕西 杨凌: 西北农林科技大学, 2020. LI M. Study on effect of irrigation and fertilization regulation and simulation of cotton growth under film-mulched drip irrigation in southern Xinjiang[D]. Yangling Shanxi: Northwest A & F University, 2020. (in Chinese with English abstract [49] 卢婷, 王萍, 王涛, 等. 基于钻孔成像和孔内流速流向试验的裂隙介质渗透系数计算方法[J]. 地质科技通报, 2025, 44(3): 334-343.LU T, WANG P, WANG T, et al. Calculation method of permeability coefficient of fractured media based on borehole imaging and in-borehole flow velocity and direction tests[J]. Bulletin of Geological Science and Technology, 2025, 44(3): 334-343. (in Chinese with English abstract [50] WILLMOTT C J. Some comments on the evaluation of model performance[J]. Bulletin of the American Meteorological Society, 1982, 63(11): 1309-1313. doi: 10.1175/1520-0477(1982)063<1309:SCOTEO>2.0.CO;2 [51] 陈文岭, 靳孟贵, 刘延锋, 等. 微根管法监测膜下滴灌棉花根系生长动态[J]. 农业工程学报, 2017, 33(2): 87-93.CHEN W L, JIN M G, LIU Y F, et al. Monitoring cotton root growth dynamics under mulched drip irrigation using monirhizotron technique[J]. Transactions of the Chinese Society of Agricultural Engineering, 2017, 33(2): 87-93. (in Chinese with English abstract [52] SANDERS J L, BROWN D A. A new fiber optic technique for measuring root growth of soybeans under field conditions[J]. Agronomy Journal, 1978, 70(6): 1073-1076. doi: 10.2134/agronj1978.00021962007000060043x [53] SODA N, EPHRATH J E, DAG A, et al. Root growth dynamics of olive (Olea europaea L. ) affected by irrigation induced salinity[J]. Plant and Soil, 2017, 411(1): 305-318. [53] SODA N, EPHRATH J E, DAG A, et al. Root growth dynamics of olive (Olea europaea L. ) affected by irrigation induced salinity[J]. Plant and Soil, 2017, 411(1): 305-318. [54] BALL R A, OOSTERHUIS D M, MAUROMOUSTAKOS A. Growth dynamics of the cotton plant during water-deficit stress[J]. Agronomy Journal, 1994, 86(5): 788-795. doi: 10.2134/agronj1994.00021962008600050008x [55] MAEGHT J L, REWALD B, PIERRET A. How to study deep roots-and why it matters[J]. Frontiers in Plant Science, 2013, 4: 299. [56] 汪泉娟, 孙敬锋, 杨英杰, 等. 克里金方法与深度学习方法用于浅层地下水位估计的对比研究: 以深汕特别合作区为例[J]. 地质科技通报, 2024, 43(4): 291-301.WANG Q J, SUN J F, YANG Y J, et al. A comparative study of Kriging and deep learning methods for shallow groundwater level estimation: A case study of the Shenzhen-Shanwei Special Cooperation Zone[J]. Bulletin of Geological Science and Technology, 2024, 43(4): 291-301. (in Chinese with English abstract [57] 李俊英, 王孟本, 史建伟. 应用微根管法测定细根指标方法评述[J]. 生态学杂志, 2007, 26(11): 1842-1848.LI J Y, WANG M B, SHI J W. Minirhizotron technique in measuring fine root indices: A review[J]. Chinese Journal of Ecology, 2007, 26(11): 1842-1848. (in Chinese with English abstract [58] RYTTER R M, RYTTER L. Quantitative estimates of root densities at minirhizotrons differ from those in the bulk soil[J]. Plant and Soil, 2012, 350(1): 205-220. [59] Ayachit U. The ParaView Guide: A Parallel Visualization Application[M]. California: Kitware Inc, 2015. [60] 马韬. 河套灌区向日葵−盐−氮响应机制及生长模拟研究[D]. 武汉: 武汉大学, 2019.MA T. Study on response mechanism and growth simulation of sunflower-salt-nitrogen in Hetao irrigation area[D]. Wuhan: Wuhan University, 2019. (in Chinese with English abstract [61] MAI T H, SCHNEPF A, VEREECKEN H, et al. Continuum multiscale model of root water and nutrient uptake from soil with explicit consideration of the 3D root architecture and the rhizosphere gradients[J]. Plant and Soil, 2019, 439(1): 273-292. -
下载:
