-
摘要:
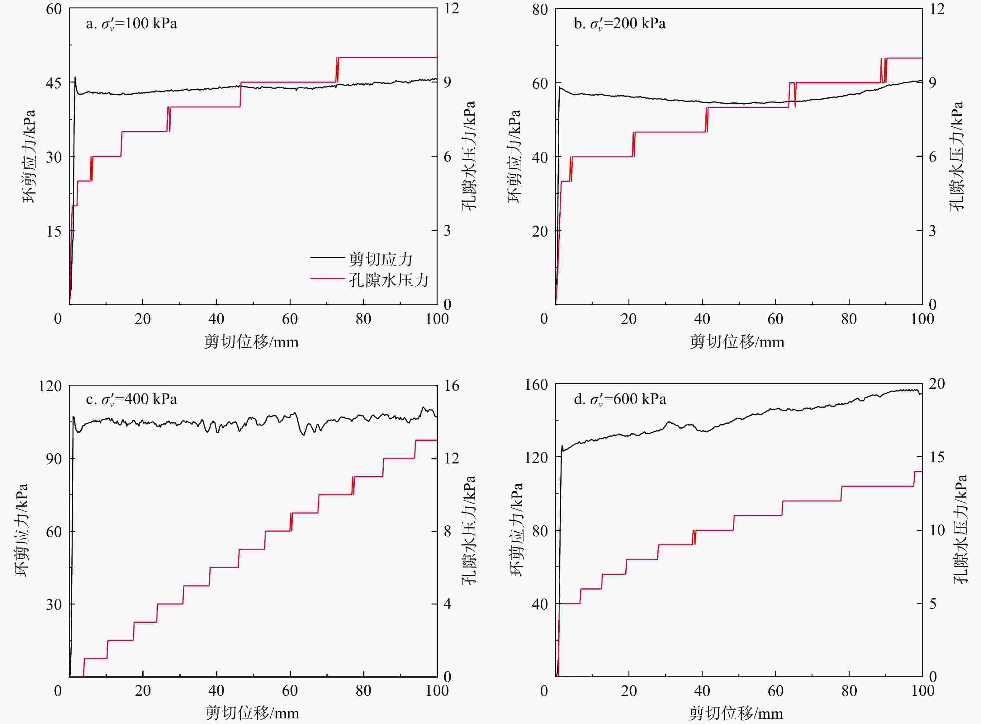
研发一种测量并控制孔隙水压力的环剪仪能够获得试样受到的总应力、孔隙水压力和有效应力,从而有效地揭示试样应力-应变-孔隙水压力演化特征。采用自主研发的、可以控制排水条件的全自动环剪仪,实现了环剪过程中控制孔隙水压力,测量孔隙水压力、试样排水体积、扭矩和轴向位移等参数。以黄土坡滑坡滑带土为例,分别开展了固结排水环剪试验、固结不排水环剪试验、变孔隙水压力环剪试验和环剪试样渗透试验。试验结果表明:采用侧边密封+顶底部设置三通阀门的方式,可以保证环剪室承受0~
1000 kPa的孔隙水压力;当下环剪盒底部进水阀打开并连接体积压力控制器时,可以控制孔隙水压力,测量某一孔隙水压力下试样排水或吸水体积,体积量程为0~200 cm3;当上环剪盒顶部出水阀打开并连接孔隙水压力传感器时,可以测量不排水条件下试样内部的孔隙水压力,其量程为0~1000 kPa。试验过程中,剪胀剪缩由轴向位移传感器来测量,其量程为0~10 mm;环剪力由高精度扭矩传感器测量,其量程为0~300 N·m。除了上述功能之外,结合新型环剪仪还可开展孔隙水压力动态变化对环剪强度的影响试验、固结或环剪过程中试样常水头渗透试验等。这种新型环剪仪可以精确地开展试样在大变形、不同孔隙水压力条件下的环剪试验,可以为揭示滑坡长距离滑动过程中孔隙水压力的演化机理提供技术支撑。Abstract:Objective This study aims to investigate the total stress, pore water pressure, and effective stress of samples by developing a new ring shear apparatus capable of measuring and controlling pore water pressure, effectively revealing the evolution characteristics of stress, strain, and pore water pressure in the samples.
Methods A self-developed automatic ring shear apparatus that can control drainage conditions has achieved the control of pore water pressure during ring shear tests, and measuring parameters such as pore water pressure, sample drainage volume, torque, and axial displacement. Taking the Huangtupo landslide slip zone soil as an example, consolidation drained ring shear tests, consolidation undrained ring shear tests, variable pore pressure ring shear tests, and permeability tests were conducted separately.
Results The results demonstrated that the ring shear chamber withstands pore water pressure from 0 to
1000 kPa using a side seal and three-way valves at the top and bottom. When the inlet valve at the bottom of ring shear box was opened and the volume pressure controller was controlled, the pore water pressure can be controlled, and the sample drainage or absorption volume under various pore pressures can be measured. With the outlet valve at the upper ring shear box opened, and a pore water pressure sensor connected, the undrained pore water pressure was measured in the range of 0-1000 kPa. During the test, the shear expansion and contraction were measured by an axial displacement sensors, with range of 0-10 mm, while ring shear force was measured with a torque sensor up to 300 N·m. Additionally, the new ring shear apparatus can be used to conduct tests on the influence of dynamic changes in pore water pressure on ring shear strength, as well as the constant head permeability during consolidation or ring shear processes.Conclusion The novel ring shear apparatus can accurately conduct ring shear tests on samples under large deformation and varying pore pressure conditions, offering technical support for revealing the evolution mechanism of pore water pressure during long-distance landslide sliding.
-
表 1 国内外常用的环剪仪及主要参数
Table 1. Ring shear apparatus and main parameters commonly used at home and abroad
序号 厂家 主要型号 外径/mm 内径/mm 剪切速率 扭矩/(N·m)或剪应力/kPa 垂直压力/kPa 1 江苏永昌科教仪器制造有限公司 HJ-1
HJ-2100 60 0.01~5°/min 0~300 N·m 0~ 1200 2 南京泰克奥科技有限公司 TKA-RSA-60F
TKA-RSA-50150 100 0.001~20°/min 0~800 N·m 0~ 1000 3 苏州拓测仪器设备有限公司 TT-RSA-10A 100 60 0.03~10°/min 0~300 N·m 0~ 1200 4 北京玖瑞科技有限公司 RSA-200 200 130 0.007~ 40000 °/min0~ 4555 N·m0~ 3000 5 美国GCTS公司 SRS-150 152 97 0.001~360°/min 0~820 N·m 0~ 1000 6 意大利Control公司 TORSHEAR 100 70 0.00001 ~1000 °/min0~ 1000 kPa0~ 1200 7 德国WILLE公司 ARS-E2 150/100 100/50 0.00001 ~180°/min0~ 2000 kPa0~ 2000 8 英国VJ Tech公司 VJT-RING 100 70 0.0001 ~900°/min0~ 1000 kPa0~ 1000 9 英国GDS公司 GDSRSA 100 70 0.01~720°/min 0~200 N·m 0~ 1200 10 日本诚研舍 DTA-138 150 100 0.0005 ~100°/min0~ 1000 N·m0~ 1000 11 日本圆井株式会社公司 ICL-2 142 100 0~50 cm/s 0~ 6000 kPa0~ 1000 表 2 黄土坡滑坡滑带土的基本物理力学参数
Table 2. Basic physical and mechanical parameters of the slip zone soil of the Huangtupo landslide
天然
含水率/%土粒密度/
(g·cm−3)天然密度/
(g·cm−3)塑性指数 压缩模量/
MPa14.23 2.75 2.25 18.76 25.66 表 3 固结排水环剪试验方案
Table 3. Consolidated drainage ring shear test scheme
试样编号 固结压力
σv/kPa孔隙水压力
u/kPa有效固结压
力σv′/kPa环剪速率
v/(°·min−1)数据采集
间隔∆h/sCDR-1 200 100 100 1 10 CDR-2 250 100 150 1 10 CDR-3 450 100 350 1 10 CDR-4 650 100 550 1 10 表 4 固结不排水环剪试验方案
Table 4. Consolidated undrainage ring shear test scheme
试样编号 固结压力
σv/kPa孔隙水压力
u/kPa环剪速率
v/(°·min−1)数据采集
间隔∆h/sCUR-1 100 监测 1 10 CUR-2 200 监测 1 10 CUR-3 400 监测 1 10 CUR-4 600 监测 1 10 表 5 变孔隙水压力环剪试验方案
Table 5. Variable pore water pressure ring shear test scheme
试样编号 试验
阶段固结压力
σv/kPa孔隙水压力
u/kPa环剪速率
v/(°·min)数据采集
间隔∆h/sCDRV-1 I 700 50 1 10 II 700 50→650 1 10 650 1 10 III 700 650→50 1 10 50 1 10 IV 700 50→650 1 10 650 1 10 表 6 常水头渗透试验方案
Table 6. Constant head permeability test scheme
试样编号 试验
阶段固结压力
σv/kPa进水口压力
P2/kPa出水口压力
P1/kPa数据采集
间隔∆h/sCDRP-1 I 200 100 0 10 II 300 100 0 10 III 500 100 0 10 IV 700 100 0 10 -
[1] 洪勇,孙涛,栾茂田,等. 土工环剪仪的开发及其应用研究现状[J]. 岩土力学,2009,30(3):628-634.HONG Y,SUN T,LUAN M T,et al. Development and application of geotechnical ring shear apparatus:An overview[J]. Rock and Soil Mechanics,2009,30(3):628-634. (in Chinese with English abstract [2] 赵帆程,苗发盛,吴益平,等. 不同环剪条件下三峡库区童家坪滑坡滑带土强度特性[J]. 地质科技通报,2022,41(2):315-324.ZHAO F C,MIAO F S,WU Y P,et al. Strength characteristics of slip zone soils of the Tongjiaping landslide in the Three Gorges Reservoir area under different ring shear conditions[J]. Bulletin of Geological Science and Technology,2022,41(2):315-324. (in Chinese with English abstract [3] 张怡颖,郭长宝,杨志华,等. 四川茂县周场坪深层滑坡滑带土环剪试验强度研究[J]. 工程地质学报,2021,29(3):764-776.ZHANG Y Y,GUO C B,YANG Z H,et al. Study on shear strength of deep-seated sliding zone soil of Zhouchangping landslide in Maoxian,Sichuan[J]. Journal of Engineering Geology,2021,29(3):764-776. (in Chinese with English abstract [4] 陈育民,张书航,丁绚晨,等. 微生物加固钙质砂强度演化过程的环剪试验研究[J]. 土木与环境工程学报(中英文),2022,44(4):10-17.CHEN Y M,ZHANG S H,DING X C,et al. Ring shear test study on strength evolution process of microbial reinforced calcareous sand[J]. Journal of Civil and Environmental Engineering,2022,44(4):10-17. (in Chinese with English abstract [5] 范志强,唐辉明,谭钦文,等. 滑带土环剪试验及其对水库滑坡临滑强度的启示[J]. 岩土工程学报,2019,41(9):1698-1706.FAN Z Q,TANG H M,TAN Q W,et al. Ring shear tests on slip soils and their enlightenment to critical strength of reservoir landslides[J]. Chinese Journal of Geotechnical Engineering,2019,41(9):1698-1706. (in Chinese with English abstract [6] 杨宇轩,霍志涛,方仕达,等. 基于环剪试验的四方碑滑坡滑带土残余强度空间差异性和稳定性分析[J]. 安全与环境工程,2021,28(2):175-179.YANG Y X,HUO Z T,FANG S D,et al. Spatial difference of residual strength of sliding zone soil and stability analysis of Sifangbei landslide based on ring shear test[J]. Safety and Environmental Engineering,2021,28(2):175-179. (in Chinese with English abstract [7] 张浪,雷学文,孟庆山,等. 玄武岩残积土环剪试验研究[J]. 长江科学院院报,2019,36(4):93-97.ZHANG L,LEI X W,MENG Q S,et al. Ring-shear test of basalt residual soil[J]. Journal of Yangtze River Scientific Research Institute,2019,36(4):93-97. (in Chinese with English abstract [8] 黄宏翔,陈育民,王建平,等. 钙质砂抗剪强度特性的环剪试验[J]. 岩土力学,2018,39(6):2082-2088.HUANG H X,CHEN Y M,WANG J P,et al. Ring shear tests on shear strength of calcareous sand[J]. Rock and Soil Mechanics,2018,39(6):2082-2088. (in Chinese with English abstract [9] 蒋树,王义锋,唐川,等. 基于环剪试验的复活型低速滑坡活动机理[J]. 地质科技情报,2019,38(2):256-261.JIANG S,WANG Y F,TANG C,et al. Movement mechanism of a reactivated slow-moving landslide based on ring shear test[J]. Geological Science and Technology Information,2019,38(2):256-261. (in Chinese with English abstract [10] ZOET L K,SOBOL P,LORD N,et al. A ring shear device to simulate cryosphere processes[J]. Review of Scientific Instruments,2023,94(4):12. [11] 姜程程,范文,苑伟娜. 基于环剪试验的含钙质结核古土壤剪切特性[J]. 西南交通大学学报,2021,56(4):809-817.JIANG C C,FAN W,YUAN W N. Shear properties of paleosol containing calcareous concretions based on ring shear tests[J]. Journal of Southwest Jiaotong University,2021,56(4):809-817. (in Chinese with English abstract [12] 崔圣华,裴向军,王功辉,等. 基于环剪试验的汶川地震大型滑坡启动机理探索[J]. 岩土工程学报,2017,39(12):2268-2277. doi: 10.11779/CJGE201712016CUI S H,PEI X J,WANG G H,et al. Initiation of a large landslide triggered by Wenchuan earthquake based on ring shear tests[J]. Chinese Journal of Geotechnical Engineering,2017,39(12):2268-2277. (in Chinese with English abstract doi: 10.11779/CJGE201712016 [13] 季顺迎,孙珊珊,陈晓东. 颗粒材料剪切流动状态转变的环剪试验研究[J]. 力学学报,2016,48(5):1061-1072.JI S Y,SUN S S,CHEN X D. Shear cell test on transition of shear flow states of granular materials[J]. Chinese Journal of Theoretical and Applied Mechanics,2016,48(5):1061-1072. (in Chinese with English abstract [14] 刘动,陈晓平. 滑带土环剪剪切面的微观观测与分析[J]. 岩石力学与工程学报,2013,32(9):1827-1834.LIU D,CHEN X P. Microscopic observation and analysis of ring shear surface of slip zone soil[J]. Chinese Journal of Rock Mechanics and Engineering,2013,32(9):1827-1834. (in Chinese with English abstract [15] 王顺,项伟,崔德山,等. 不同环剪方式下滑带土残余强度试验研究[J]. 岩土力学,2012,33(10):2967-2972.WANG S,XIANG W,CUI D S,et al. Study of residual strength of slide zone soil under different ring-shear tests[J]. Rock and Soil Mechanics,2012,33(10):2967-2972. (in Chinese with English abstract [16] 张明,胡瑞林,殷跃平,等. 滑坡型泥石流转化机制环剪试验研究[J]. 岩石力学与工程学报,2010,29(4):822-832.ZHANG M,HU R L,YIN Y P,et al. Study of transform mechanism of landslide-debris flow with ring shear test[J]. Chinese Journal of Rock Mechanics and Engineering,2010,29(4):822-832. (in Chinese with English abstract [17] 杨志双,许清涛,刘正华,等. 大型高速环剪试验机及其在滑坡研究中的应用[J]. 长春科技大学学报,2001,31(2):163-167.YANG Z S,XU Q T,LIU Z H,et al. The large-scale and high-speed ring-shear test apparatus and application of studying the landslide[J]. Journal of Changchun University of Science and Technology,2001,31(2):163-167. (in Chinese with English abstract [18] 李钰,陈明亮,黄会宝,等,新华滑坡变形演化规律与预警判据[J]. 地质科技通报,2024,43(3):227-239.LI Y,CHEN M L,HUANG H B, et al. Defomation evoluion law and eary waming cntenon of Xinhua landslide[J]. Bulletin of Geologieal Seience and Technology,2024,43(3):227-239. (in Chinese with English abstract [19] CHANG C,WANG G. Creep of clayey soil induced by elevated pore-water pressure:Implication for forecasting the time of failure of rainfall-triggered landslides[J]. Engineering Geology,2022,296:106461. doi: 10.1016/j.enggeo.2021.106461 [20] 陈育民,陈润泽,霍正格. 饱和悬浮塑料砂流动变形可视环剪试验研究[J]. 岩土力学,2019,40(10):3709-3716.CHEN Y M,CHEN R Z,HUO Z G. Study of flow deformation of saturated suspended plastic sand by visualized ring shear tests[J]. Rock and Soil Mechanics,2019,40(10):3709-3716. (in Chinese with English abstract [21] STARK T D. Constant volume ring shear specimen trimming and testing[J]. Geotechnical Testing Journal,2021,44(5):1279-1300. [22] MIAO F,ZHAO F,WU Y,et al. A novel seepage device and ring-shear test on slip zone soils of landslide in the Three Gorges Reservoir area[J]. Engineering Geology,2022,307:106779. doi: 10.1016/j.enggeo.2022.106779 [23] KANG X,WANG S,WU W,et al. Residual state rate effects of shear-zone soil regulating slow-to-fast transition of catastrophic landslides[J]. Engineering Geology,2022,304:106692. doi: 10.1016/j.enggeo.2022.106692 [24] SPANGENBERG E,HEESCHEN K U,GIESE R,et al. "Ester":A new ring-shear-apparatus for hydrate-bearing sediments[J]. Review of Scientific Instruments,2020,91(6):064503. doi: 10.1063/1.5138696 [25] JEONG S W,PARK S,FUKUOKA H. Shear and viscous characteristics of gravels in ring shear tests[J]. Geosciences Journal,2018,22(1):11-17. doi: 10.1007/s12303-017-0062-0 [26] STARK T D,CADIGAN J A,JAFARI N H. Drained shear displacement rates in fully softened strength torsional ring shear testing[J]. Geotechnical Testing Journal,2021,44(5):1350-1357. doi: 10.1520/GTJ20200117 [27] WANG G,WANG W,WEI X. A ring-shear radial-seepage apparatus for evaluating the permeability of shear bands in compacted clay[J]. Geotechnical Testing Journal,2021,44(4):851-865. doi: 10.1520/GTJ20200072 [28] 缪海波,王功辉. 风振影响下乔木坡地暴雨型浅层滑坡演化机制[J]. 地质科技通报,2022,41(2):60-70.MIAO H B,WANG G H. Evolution mechanism of rainstorm-induced shallow landslides on slopes covered by arbors considering the influence of wind-induced vibration[J]. Bulletin of Geological Science and Technology,2022,41(2):60-70. (in Chinese with English abstract [29] 许艺林,李远耀,李思德,等. 库水位下降叠加降雨作用时堆积层滑坡渗流-变形机制[J]. 地质科技通报,2024,43(1):216-228.XU Y L,LI Y Y,LI S D,et al. Seepage-deformation mechanism of colluvial landslides under the action of reservoir water level decline and rainfall[J]. Bulletin of Geological Science and Technology,2024,43(1):216-228. (in Chinese with English abstract -
下载:
